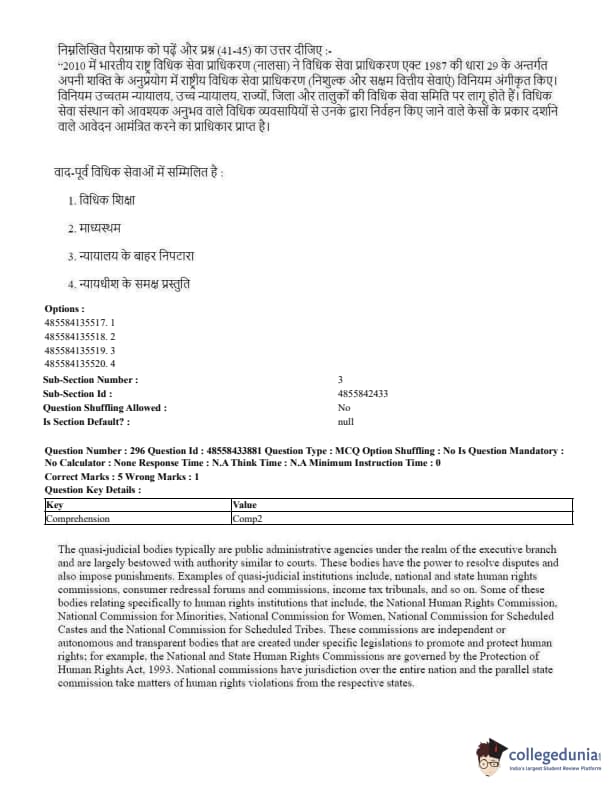
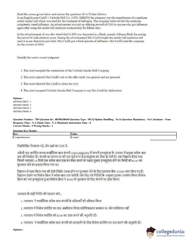
CUET Legal Studies Question Paper 2023 is available here for June 1, May 30, 27 and 26. CUET Legal Studies Question Paper 2023 is based on objective-type questions (MCQs). Candidates get 60 minutes to solve 50 MCQs out of 60 in CUET Legal Studies question paper 2023.
CUET Legal Studies Question Paper 2023 PDF Download
| Exam Date and Slot | Question Paper PDF | Answer Key PDF |
|---|---|---|
| July 2 Shift 3 | Download PDF | Download PDF |
| June 23 Shift 3 | Download PDF | Download PDF |
| June 18 Shift 1 | Download PDF | Download PDF |
CUET Legal Studies Solution 2023 PDF Download
| Exam Date and Slot | Solution PDF |
|---|---|
| June 23 Shift 3 | Download PDF |
CUET Legal Studies Question Paper 2023 July 2 Shift 3
CUET Legal Studies Question Paper 2023 June 23 Shift 3
CUET Legal Studies Question Paper 2023 June 18 Shift 1
CUET 2023 Question Paper with Answers PDF Download
Apart from CUET 2023 Legal studies Question Paper, candidates can use the links below to download CUET 2023 question paper with answers PDF for domain-specific and language papers.
CUET Previous Year Question Paper PDF
Also Check:







Comments