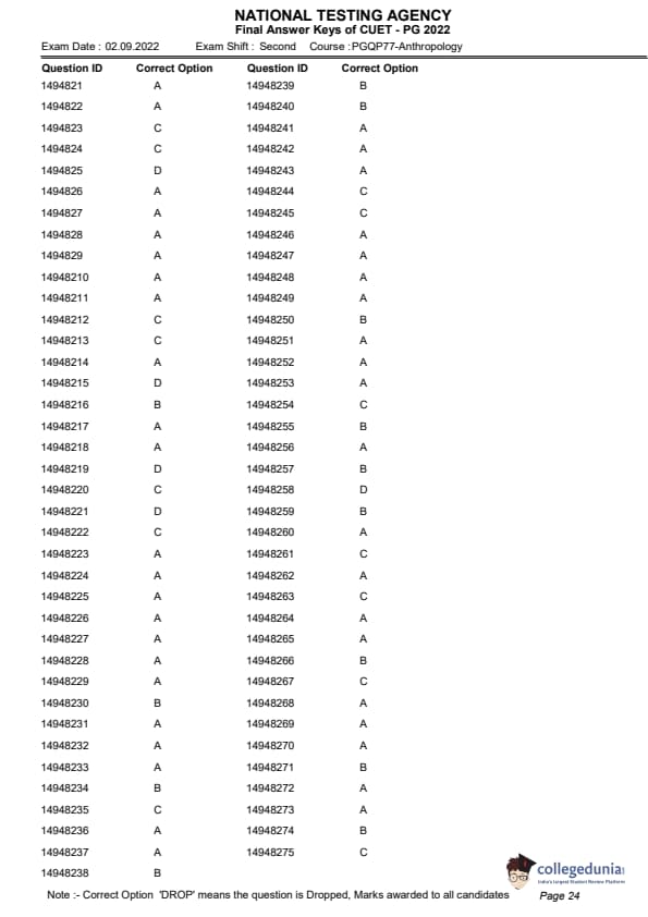
CUET PG Anthropology Question Paper 2022 is available for download. CUET PG 2022 Anthropology paper was conducted by National Testing Agency (NTA) on September 2, 2022 in Shift 2. The question paper comprised a total of 100 questions.
CUET PG 2022 Anthropology Question Paper with Answer Key PDF
| CUET PG Anthropology Question Paper PDF | CUET PG Anthropology Answer Key PDF |
|---|---|
| Download PDF | Download PDF |







Comments