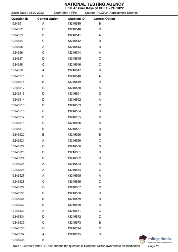
CUET PG Atmospheric Science Question Paper 2022 is available for download. CUET PG 2022 Atmospheric Science paper was conducted by National Testing Agency (NTA) on September 3, 2022 in Shift 1. The question paper comprised a total of 100 questions.
CUET PG 2022 Atmospheric Science Question Paper with Answer Key PDF
| CUET PG Atmospheric Science Question Paper PDF | CUET PG Atmospheric Science Answer Key PDF |
|---|---|
| Download PDF | Download PDF |







Comments