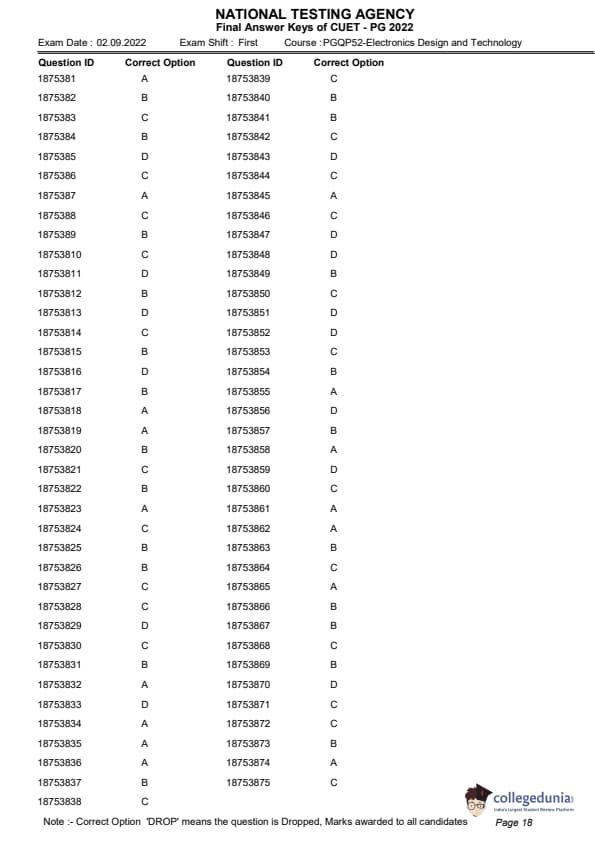
CUET PG Electronics Design and Technology Question Paper 2022 is available for download. CUET PG 2022 Electronics Design and Technology paper was conducted by National Testing Agency (NTA) on September 2, 2022 in Shift 1. The question paper comprised a total of 100 questions.
CUET PG 2022 Electronics Design and Technology Question Paper with Answer Key PDF
| CUET PG Electronics Design Question Paper PDF | CUET PG Electronics Design Answer Key PDF |
|---|---|
| Download PDF | Download PDF |







Comments