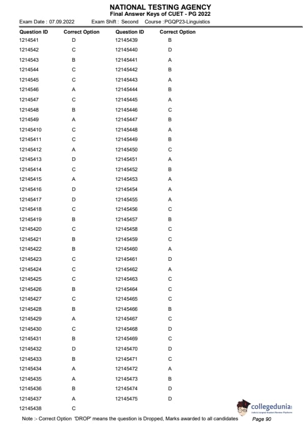
CUET PG Linguistics Question Paper 2022 is available for download. CUET PG 2022 Linguistics paper was conducted by National Testing Agency (NTA) on September 7, 2022 in Shift 2. The question paper comprised a total of 100 questions.
CUET PG 2022 Linguistics Question Paper with Answer Key PDF
| CUET PG Linguistics Question Paper PDF | CUET PG Linguistics Answer Key PDF |
|---|---|
| Download PDF | Download PDF |







Comments