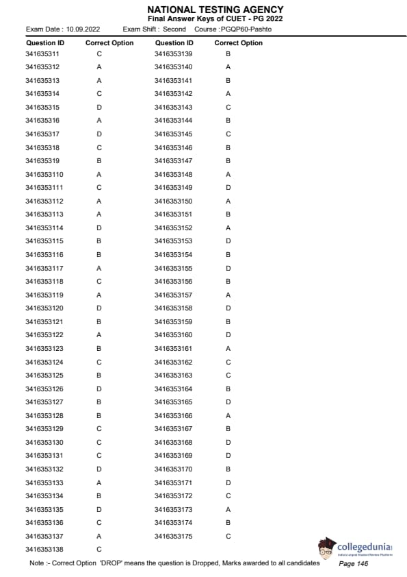
CUET PG Pashto Question Paper 2022 is available for download. CUET PG 2022 Pashto paper was conducted by National Testing Agency (NTA) on September 10, 2022 in Shift 2. The question paper comprised a total of 100 questions.
CUET PG 2022 Pashto Question Paper with Answer Key PDF
| CUET PG Pashto Question Paper PDF | CUET PG Pashto Answer Key PDF |
|---|---|
| Download PDF | Download PDF |







Comments