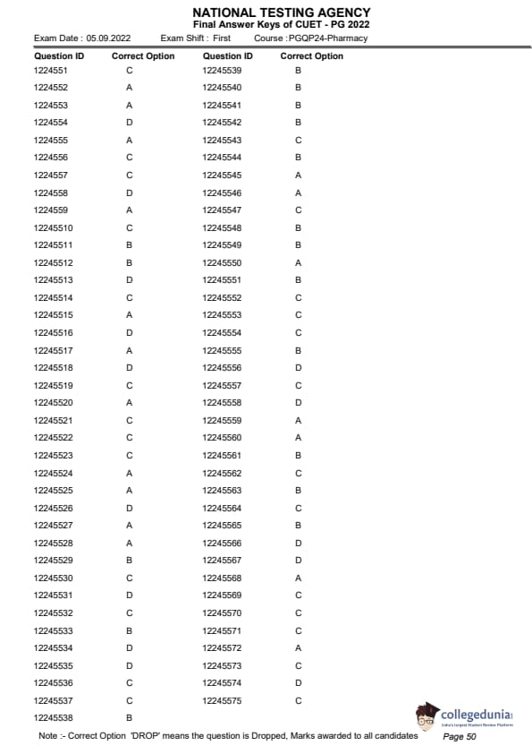
CUET PG Pharmacy Question Paper 2022 is available for download. CUET PG 2022 Pharmacy paper was conducted by National Testing Agency (NTA) on September 5, 2022 in Shift 1. The question paper comprised a total of 100 questions.
CUET PG 2022 Pharmacy Question Paper with Answer Key PDF
| CUET PG Pharmacy Question Paper PDF | CUET PG Pharmacy Answer Key PDF |
|---|---|
| Download PDF | Download PDF |







Comments