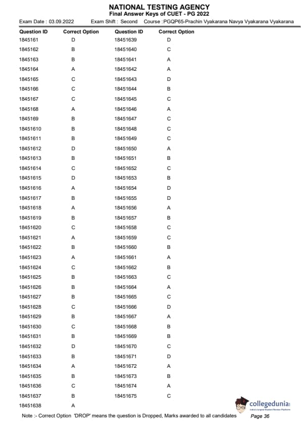
CUET PG Prachin Vyakarana Question Paper 2022 is available for download. CUET PG 2022 Prachin Vyakarana paper was conducted by National Testing Agency (NTA) on September 3, 2022 in Shift 2. The question paper comprised a total of 100 questions.
CUET PG 2022 Prachin Vyakarana Question Paper with Answer Key PDF
| CUET PG Prachin Vyakarana Question Paper PDF | CUET PG Prachin Vyakarana Answer Key PDF |
|---|---|
| Download PDF | Download PDF |







Comments