CUET PG 2023 Physical Education Question Paper with Answer Key PDF in English is available for download here. The exam was conducted by National Testing Agency (NTA) on June 8, 2023 in Shift 3. The question paper comprised a total of 100 questions divided into 2 sections.
CUET PG 2023 Physical Education Question Paper in English (June 8 - Shift 3)
| CUET PG Physical Education Question Paper 2023 PDF | CUET PG Physical Education Answer Key 2023 PDF |
|---|---|
| Download PDF | Download PDF |







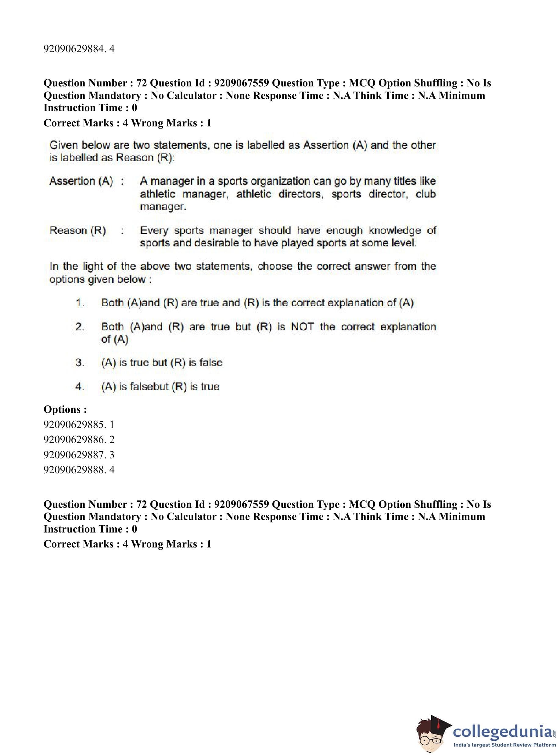
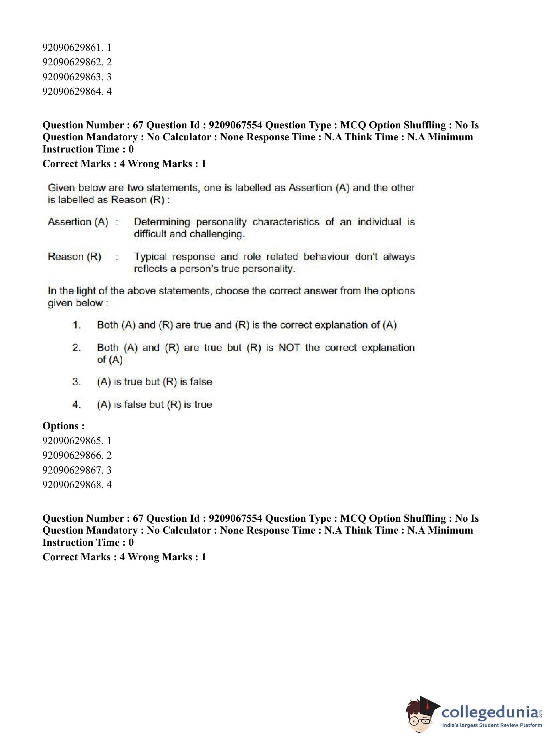
Comments