MAHCET 2018 Verbal Usage & Reading Comprehension Question paper with answer key pdf conducted on March 10, 2018 is available for download. The exam was successfully organized by Directorate of Technical Education Maharahstra. In terms of difficulty level, MAHCET was of Moderate level. The question paper comprised a total of 50.0 questions.
MAHCET 2018 Verbal Usage & Reading Comprehension Question Paper with Answer Key PDFs
| MAHCET 2018 Verbal Usage & Reading Comprehension Question Paper PDF | MAHCET 2018 Verbal Usage & Reading Comprehension Answer Key PDF |
|---|---|
| Download PDF | Available Soon |







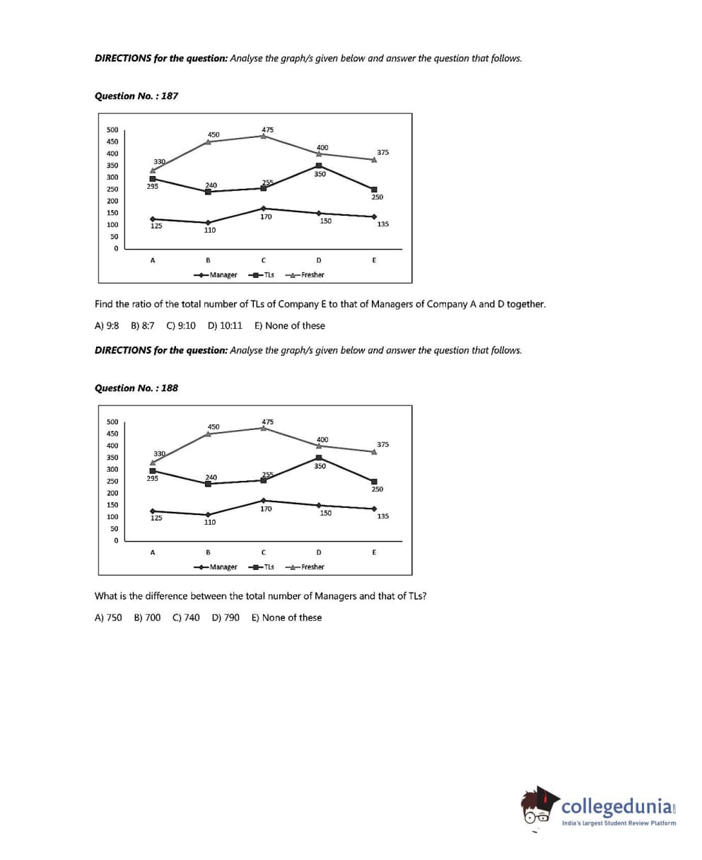
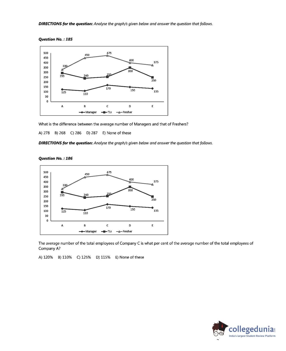
Comments