WBJEE 2024 Mathematics Question Paper PDF is available for download here. WBJEEB conducted WBJEE 2024 Paper 1 for Mathematics from 11 AM to 1 PM. WBJEE 2024 Mathematics Question Paper consists of 75 MCQs carrying a total weightage of 100 marks. There are 50 MCQs for 1 mark each & a negative marking of ¼, 15 questions for 2 marks each & a negative marking of ½ and 10 questions for 2 marks each & no negative marking. Candidates can use the link below to download WBJEE 2024 question paper with answer key PDF for Mathematics.
WBJEE 2024 Mathematics Question Paper with Answer Key PDF
| WBJEE 2024 Mathematics Question Paper 2024 with Answer Key | Check Solutions |
Mathematics Questions with Solutions
Question 1:
All values of a for which the inequality:
(1/√a) ∫₁ᵃ [ (3/2)√x + 1 - 1/√x ] dx < 4
is satisfied, lie in the interval:
View Solution
Question 2:
For any integer n:
∫₀ᵖⁱ e^(cos²x) · cos³((2n + 1)x) dx has the value.
View Solution
Question 3:
Let f be a differential function with:
limx→∞ f(x) = 0. If y' + y f'(x) - f(x) f'(x) = 0, limx→∞ y(x) = 0, then:
View Solution
Question 5:
The area bounded by the curves x = 4 - y2 and the Y-axis is:
View Solution
Question 6:
If f(x) = cos(x) - 1 + x2/2, x ∈ ℝ, then f(x) is:
View Solution
Question 7:
Let y = f(x) be any curve on the X-Y plane and P be a point on the curve. Let C be a fixed point not on the curve. The length PC is either a maximum or a minimum. Then:
View Solution
Question 8:
If a particle moves in a straight line according to the law x = a sin(√t + b), then the particle will come to rest at two points whose distance is:
View Solution
Question 9:
A unit vector in the XY-plane making an angle of 45° with (i + j) and an angle of 60° with (3i - 4j) is:
View Solution
Question 10:
Let f: R → R be given by f(x) = |x² - 1|. Then:
View Solution
Question 11:
Given an A.P. and a G.P. with positive terms, with the first and second terms of the progressions being equal. If a_n and b_n are the n-th terms of A.P. and G.P. respectively, then:
View Solution
Question 12:
If for the series a_1, a_2, a_3, ..., the difference a_(n+1) - a_n bears a constant ratio with a_n + a_(n+1), then the series a_1, a_2, a_3, ... is:
View Solution
Question 13:
If z_1 and z_2 are roots of the equation z^2 + az + b = 0, a^2 < 4b, then the origin, z_1, and z_2 form an equilateral triangle if:
View Solution
Question 14:
If cos(θ) + i sin(θ) (θ ∈ R) is a root of the equation:
a_0x^n + a_1x^(n-1) + ... + a_n = 0,
then the value of a_1 sin(θ) + a_2 sin(2θ) + ... + a_n sin(nθ) is:
View Solution
Question 15:
If (x^2 log(x)) log_9(x) = x + 4, then the value of x is:
View Solution
Question 16:
If P(x) = ax^2 + bx + c and Q(x) = -ax^2 + dx + c, where ac ≠ 0, then P(x) · Q(x) = 0 has:
View Solution
Question 17:
Let N be the number of quadratic equations with coefficients from {0, 1, 2, ..., 9} such that 0 is a solution of each equation. Then the value of N is:
View Solution
Question 18:
If a, b, c are distinct odd natural numbers, then the number of rational roots of ax^2 + bx + c = 0 is:
View Solution
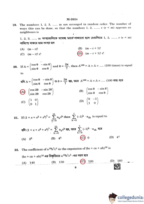
Question 19:
The numbers 1, 2, ..., m are arranged in random order. The number of ways this can be done, so that 1, 2, ..., r (r < m) appear as neighbors is:
View Solution
Question 20:
If A = [[cos(θ), -sin(θ)], [sin(θ), cos(θ)]] and θ = 2π/7, then A^100 is:
View Solution
Question 21:
If (1 + x + x² + x³)⁵ = Σₖ₌₀¹⁵ aₖ xᵏ, then Σₖ₌₀⁷ (-1)ᵏ · a₂ₖ is equal to:
Options:
View Solution
1. The given expression is:
(1 + x + x² + x³)⁵ = Σₖ₌₀¹⁵ aₖ xᵏ.
We are tasked to compute: Σₖ₌₀⁷ (-1)ᵏ · a₂ₖ.
2. Simplify 1 + x + x² + x³:
Let: P(x) = 1 + x + x² + x³. This is a finite geometric series: P(x) = (1 - x⁴) / (1 - x).
The given expression becomes: (1 + x + x² + x³)⁵ = ((1 - x⁴) / (1 - x))⁵.
3. Expand the numerator and denominator using binomial expansion.
4. The value of Σₖ₌₀⁷ (-1)ᵏ · a₂ₖ is 0 due to alternating signs and cancellations.
Question 22:
The coefficient of a¹⁰ b⁷ c³ in the expansion of (bc + ca + ab)¹⁰ is:
Options:
View Solution
Question 23:
Given the determinant, determine the value of k:
Options:
View Solution
The determinant is:

Step 1: Factor out common terms: xᵏ yᵏ zᵏ.
Step 2: Simplify the remaining determinant.
Step 3: Compare with the given expression to find k = -1.
Question 24:
If
[ 2 & 1 ] [ 3 & 2 ] * A * [ -3 & 2 ] [ 5 & -3 ] = [ 1 & 0 ] [ 0 & 1 ]Then A is:
View Solution
Question 25:
Let
f(x) = | cos x x 1 | | 2 sin x x^3 2x | | tan x x 1 |
Then
lim(x -> 0) f(x) / x^2 = ?
View Solution
The determinant of \(f(x)\) is:
f(x) = | cos x x 1 | | 2 sin x x^3 2x | | tan x x 1 |Step 1: Expand the determinant. Expand along the first row: f(x) = cos x * | x^3 2x | | x 1 | - x * | 2 sin x 2x | | tan x 1 | + 1 * | 2 sin x x^3 | | tan x x | Simplify each minor determinant:
- For the first term:
| x^3 2x | = x^3 - 2x^2
- For the second term:
| 2 sin x 2x | = 2 sin x - 2x tan x
- For the third term:
| 2 sin x x^3 | = 2x sin x - x^3 tan x
Step 2: Simplify f(x) / x^2. Divide \(f(x)\) by \(x^2\): f(x) / x^2 = cos x * (x - 2) - (2 sin x / x - 2 tan x) + (2 sin x / x - x^2 tan x). Simplify each term:
- First term:
cos x * (x - 2)
- Second term:
2 sin x / x - 2 tan x
- Third term:
2 sin x / x - x^2 tan x
Step 3: Take the limit as \(x \to 0\). Using standard limits: lim(x -> 0) sin x / x = 1, lim(x -> 0) tan x = x, lim(x -> 0) cos x = 1. Substitute \(x \to 0\):
- First term:
lim(x -> 0) cos x * (x - 2) = 1 * (-2) = -2
- Second term:
lim(x -> 0) (2 sin x / x - 2 tan x) = 2 * 1 - 2 * 0 = 2
- Third term:
lim(x -> 0) (2 sin x / x - x^2 tan x) = 2 * 1 - 0 = 2
Question 26:
In ℝ, a relation p is defined as follows: For a, b ∈ ℝ, a p b holds if a² - 4ab + 3b² = 0. Then:
Options:
View Solution
Question 27:
Let f: ℝ → ℝ be a function defined by f(x) = (e^|x| - e^(-x)) / (e^x + e^(-x)), then:
Options:
View Solution
Question 28:
Let A be the set of even natural numbers that are < 8 and B be the set of prime integers that are < 7. The number of relations from A to B is:
Options:
View Solution
Question 29:
Two smallest squares are chosen one by one on a chessboard. The probability that they have a side in common is:
Options:
View Solution
Question 30:
Two integers r and s are drawn one at a time without replacement from the set {1, 2, ..., n}. Then P(r ≤ k / s ≤ k) is:
Options:
View Solution
Question 31:
A biased coin with probability p (where 0 < p < 1) of getting head is tossed until a head appears for the first time. If the probability that the number of tosses required is even is 2/5, then p =:
Options:
View Solution
Question 32:
The expression cos²θ + cos²(θ + φ) - 2cosθ cos(θ + φ) is:
Options:
View Solution
Question 33:
If 0 < θ < π/2 and tan 30° ≠ 0, then tan θ + tan 2θ + tan 3θ = 0 if tan θ * tan 2θ = k, where k =:
Options:
View Solution
Question 34:
The equation r cos θ = 2a sin² θ represents the curve:
Options:
View Solution
Question 35:
If (1, 5) is the midpoint of the segment of a line between the lines 5x - y - 4 = 0 and 3x + 4y - 4 = 0, then the equation of the line will be:
Options:
View Solution
Question 36:
In \( \triangle ABC \), coordinates of \( A \) are \( (1, 2) \), and the equations of the medians through \( B \) and \( C \) are \( x + y = 5 \) and \( x = 4 \), respectively. Then the midpoint of \( BC \) is:
Options:
View Solution
Question 37:
A line of fixed length \( a + b \), moves so that its ends are always on two fixed perpendicular straight lines. The locus of a point which divides the line into two parts of length \( a \) and \( b \) is:
Options:
View Solution
Question 38:
With origin as a focus and \( x = 4 \) as the corresponding directrix, a family of ellipses are drawn. Then the locus of an end of the minor axis is:
Options:
View Solution
Question 39:
Chords AB & CD of a circle intersect at right angle at the point P. If the lengths of AP, PB, CP, PD are 2, 6, 3, 4 units respectively, then the radius of the circle is:
Options:
View Solution
Question 40:
The plane \( 2x - y + 3z + 5 = 0 \) is rotated through 90° about its line of intersection with the plane \( x + y + z = 1 \). The equation of the plane in the new position is:
Options:
View Solution
Question 41:
If the relation between the direction ratios of two lines in R^3 are given by l + m + n = 0, 2lm + 2mn - ln = 0, then the angle between the lines is:
Options:
View Solution
Question 42:
△ OAB is an equilateral triangle inscribed in the parabola y² = 4ax, a > 0 with O as the vertex. Then the length of the side of △ OAB is:
Options:
View Solution
Question 43:
For every real number x ≠ -1, let f(x) = x / (x + 1). Write f₁(x) = f(x) and for n ≥ 2, fₙ(x) = f(fₙ₋₁(x)). Then f₁(-2), f₂(-2), ... , fₙ(-2) must be:
Options:
View Solution
Question 44:
If U_n (n = 1, 2) denotes the n-th derivative (n = 1, 2) of U(x) = (Lx + M) / (x² - 2Bx + C) (L, M, B, C are constants), then P U₂ + Q U₁ + R U = 0 holds for:
Options:
View Solution
Question 45:
The equation 2x⁵ + 5x = 3x³ + 4x⁴ has:
Options:
View Solution
Question 46:
Consider the function f(x) = (x - 2) log x. Then the equation x log x = 2 - x has:
Options:
View Solution
Question 47:
If α, β are the roots of the equation ax² + bx + c = 0, then:
Options:
View Solution
Question 48:
If f(x) = e^x / (1 + e^x), I₁ = ∫ from -a to a x g(x(1 - x)) dx and I₂ = ∫ from -a to a g(x(1 - x)) dx, then the value of I₂/I₁ is:
Options:
View Solution
Question 49:
Let f: R → R be a differentiable function and f(1) = 4. Then the value of lim (x → 1) ∫ from 4 to f(x) (2t / (x - 1)) dt is:
Options:
View Solution
Question 50:
If ∫ (log(x + √(1 + x²))) / (1 + x²) dx = f(g(x)) + c, then:
Options:
View Solution
Question 51:
Let
I(R) = ∫₀ᴿ e^(-R sin x) dx, R > 0.
Which of the following is correct?
View Solution
Question 52:
Consider the function
f(x) = x(x - 1)(x - 2)...(x - 100)
Which one of the following is correct?
View Solution
Question 53:
In a plane, ???? and b are the position vectors of two points A and B respectively. A point P with position vector r moves on that plane in such a way that
|r - a| - |r - b| = c
(real constant). The locus of P is a conic section whose eccentricity is:
View Solution
Question 54:
Five balls of different colors are to be placed in three boxes of different sizes. The number of ways in which we can place the balls in the boxes so that no box remains empty is:
View Solution
Question 55:
Let
A = [1, -1, 0], [0, 1, -1], [1, 1, 1], B = [2, 1, 7] For the validity of the result AX = B, X is:
View Solution
Question 56:
If a₁, a₂, ... , aₙ are in A.P. with common difference θ, then the sum of the series:
sec a₁ sec a₂ + sec a₂ sec a₃ + ... + sec aₙ₋₁ sec aₙ = k(tan aₙ - tan a₁), where k = ?
View Solution
Question 57:
For the real numbers x and y, we write x P y iff x - y + √2 is an irrational number. Then the relation P is:
View Solution
Question 58:
Let
A = [0, 0, -1], [0, -1, 0], [-1, 0, 0]
Which of the following is true?
View Solution
Question 59:
If 1000! = 3n × m, where m is an integer not divisible by 3, then n = ?
View Solution
Question 60:
If A and B are acute angles such that sin A = sin² B and 2 cos² A = 3 cos² B, then (A, B) is:
View Solution
Question 61:
If two circles which pass through the points (0, a) and (0, -a) and touch the line y = mx + c cut orthogonally, then:
View Solution
Question 62:
The locus of the midpoint of the system of parallel chords parallel to the line y = 2x to the hyperbola 9x2 - 4y2 = 36 is:
View Solution
Question 64:
If y = tan-1 [loge (e/x2)] / loge (e x2) + tan-1 [(3 + 2 loge x)/(1 - 6 loge x)], then d2y/dx2 = ?
View Solution
Question 65:
Evaluate:
limn → ∞ [1/nk+1] (2k + 4k + 6k + ... + (2n)k)
View Solution
Question 66:
The acceleration f (in ft/sec2) of a particle after a time t seconds starting from rest is given by:
f = 6 - √(1.2t)
View Solution
Question 67:
Let Γ be the curve y = be-x/a and L be the straight line: x/a + y/b = 1, where a, b ∈ ℝ. Then:
View Solution
Question 68:
If n is a positive integer, the value of:
(2n + 1) binom{n}{0} + (2n - 1) binom{n}{1} + (2n - 3) binom{n}{2} + ... + 1 · binom{n}{n}
View Solution
Question 69:
If the quadratic equation ax2 + bx + c = 0 (a > 0) has two roots α and β such that α < -2 and β > 2, then:
View Solution
Question 70:
If ai, bi, ci ∈ ℝ (i = 1, 2, 3) and x ∈ ℝ, and:
det{a1 + b1 x, a1 x + b1, c1; a2 + b2 x, a2 x + b2, c2; a3 + b3 x, a3 x + b3, c3 } = 0, then:
View Solution
Question 72:
A square with each side equal to a lies above the x-axis and has one vertex at the origin. One of the sides passing through the origin makes an angle α (0 < α < π/4) with the positive direction of the x-axis. The equation of the diagonals of the square is:
View Solution
Question 73:
If △ABC is an isosceles triangle and the coordinates of the base points are B(1, 3) and C(-2, 7), the coordinates of A can be:
View Solution
Question 74:
The points of extremum of
∫0x² (t² - 5t + 4) / (2 + et) dt are:
View Solution
Also Check:
WBJEE Previous Year Question Paper PDF Download
Also Check:



.png?h=35&w=35&mode=stretch)



Comments