WBJEE 2024 Physics Question Paper PDF is available for download here. WBJEEB conducted WBJEE 2024 Paper 2 for Physics from 2 PM to 4 PM. WBJEE 2024 Physics Question Paper consists of 40 MCQs carrying a total weightage of 50 marks. There are 30 MCQs for 1 mark each & a negative marking of ¼, 5 questions for 2 marks each & a negative marking of ½ and 5 questions for 2 marks each & no negative marking. Candidates can use the link below to download WBJEE 2024 question paper with answer key PDF for Physics.
WBJEE 2024 Physics Question Paper with Answer Key PDF
| WBJEE 2024 Physics Question Paper 2024 with Answer Key | Check Solutions |
WBJEE 2024 Physics Questions with Solutions
Question 1:
Let θ be the angle between two vectors A and B. If a_perp is the unit vector perpendicular to A, then the direction of B - B sin(θ)a_perp is:
Options:
Question 2:
The Power P radiated from an accelerated charged particle is given by P ∝ (q * a)^m / c^n, where q is the charge, a is the acceleration, and c is the speed of light in vacuum. From dimensional analysis, the value of m and n respectively are:
Options:
View Solution
Question 3:
Two convex lenses (L1 and L2) of equal focal length f are placed at a distance f/2 apart. An object is placed at a distance 4f to the left of L1. The final image is at:

Options:
Question 4:
Which of the following quantities has the dimension of length? (Where h is Planck’s constant, m is the mass of an electron, and c is the speed of light):
Options:
Question 5:
The speed distribution for a sample of N gas particles is shown. P(v) = 0 for v > 2v₀. How many particles have speeds between 1.2v₀ and 1.8v₀?

Options:
View Solution
Question 6:
The internal energy of a thermodynamic system is given by U = a s^(4/3)v^α, where s is entropy, v is volume, and a and α are constants. The value of α is:
Options:
View Solution
Question 7:
A particle of mass m moves in one dimension under the action of a conservative force whose potential energy has the form U(x) = (αx)/(x² + β²), where α and β are dimensional parameters. The angular frequency ω of the oscillation is proportional to:
Options:
View Solution
Question 9:
A 2V cell is connected across the points A and B as shown in the figure. Assume that the resistance of each diode is zero in forward bias and infinite in reverse bias. The current supplied by the cell is:

Options:
View Solution
Question 10:
A charge Q is placed at the center of a cube of sides a. The total flux of electric field through the six surfaces of the cube is:
Options:
View Solution
Question 11:
The elastic potential energy of a strained body is:
Options:
View Solution
Question 12:
Which of the following statement(s) is/are true in respect of nuclear binding energy?
(i) The mass energy of a nucleus is larger than the total mass energy of its individual protons and neutrons.
(ii) If a nucleus could be separated into its nucleons, an energy equal to the binding energy would have to be transferred to the particles during the separating process.
(iii) The binding energy is a measure of how well the nucleons in a nucleus are held together.
(iv) The nuclear fission is somehow related to acquiring higher binding energy.
Options:
View Solution
Question 13:
A satellite of mass m rotates around the earth in a circular orbit of radius R. If the angular momentum of the satellite is J, then its kinetic energy (K) and total energy (E) of the satellite are:
Options:
View Solution
Question 14:
What force F is required to start moving a 10 kg block shown in the figure if it acts at an angle of 60° as shown? (µ_s = 0.6)

Options:
Question 15:
Light of wavelength 6000 Å is incident on a thin glass plate of refractive index 1.5 such that the angle of refraction into the plate is 60°. Calculate the smallest thickness of the plate which will make a dark fringe by reflected beam interference.
Options:
Question 16:
Consider a circuit where a cell of emf E₀ and internal resistance r is connected across the terminal A and B as shown in the figure. The value of R for which the power generated in the circuit is maximum is given by:

Options:
Question 17:
The equivalent capacitance of a combination of capacitors connected as shown in the figure between the points P and N is:

Options:
View Solution
Question 18:
In a single-slit diffraction experiment, the slit is illuminated by light of two wavelengths λ₁ and λ₂. It is observed that the 2nd order diffraction minimum for λ₁ coincides with the 3rd diffraction minimum for λ₂. Then:
Options:
View Solution
Question 19:
The acceleration-time graph of a particle moving in a straight line is shown in the figure. If the initial velocity of the particle is zero, then the velocity-time graph of the particle will be:

Options:
Question 20:
The position vector of a particle of mass m moving with a constant velocity u is given by r = x(t) î + b ĵ, where b is a constant. At an instant, r makes an angle θ with the x-axis as shown in the figure. The variation of the angular momentum of the particle about the origin with θ will be:

Options:
Question 21:
The position of the center of mass of the uniform plate as shown in the figure is:
Options:
Question 22:
In a series LCR circuit, the rms voltage across the resistor and capacitor are 30 V and 90 V, respectively. If the applied voltage is 50√2 sin ωt, the peak voltage across the inductor is:
Options:
View Solution
Question 23:
A small ball of mass m is suspended from the ceiling by a string of length L. The ball moves along a horizontal circle with constant angular velocity ω. The torque about the center (O) of the horizontal circle is:
Options:
View Solution
Question 24:
If n₁, n₂, and t represent unit vectors along the incident ray, reflected ray, and normal to the surface, respectively, then:
Options:
Question 25:
A beam of light of wavelength λ falls on a metal having work function φ placed in a magnetic field B. The most energetic electrons, perpendicular to the field, are bent in circular arcs of radius R. If the experiment is performed for different values of λ, then the B² vs 1/λ graph will look like (keeping all other quantities constant):
Correct Answer: 
Question 26:
A charged particle moving with a velocity v = v₁ î + v₂ ĵ + v₃ k̂ in a magnetic field B experiences a force F = F₁ î + F₂ ĵ. Here v₁, v₂, F₁, F₂ are all constants. Then B can be:
Options:
View Solution
Question 27:
Two straight conducting plates form an angle θ where their ends are joined. A conducting bar in contact with the plates and forming an isosceles triangle with them starts at the vertex at time t = 0 and moves with constant velocity v to the right as shown in the figure. A magnetic field B points out of the page. The magnitude of emf induced at t = 1 second will be:
Options:
View Solution
Question 28:
Three point charges q, -2q, and q are placed along the x-axis at x = -a, x = 0, and x = a, respectively. As a → 0 and q → ∞, while qa² = Q remains finite, the electric field at a point P, at a distance x ≫ a from x = 0, is given by:
E = (αQ) / (4πε₀xᵝ) î.
Find the relationship between α and β:
Options:
View Solution
Question 29:
A body floats with 1/n of its volume outside of water. If the body is taken to depth h inside the water and released, it will come to the surface after time t. Then:
Options:
Question 29:
A body floats with 1/n of its volume outside of water. If the body is taken to depth h inside the water and released, it will come to the surface after time t. Then:
Options:
Question 30:
A small sphere of mass m and radius R slides down the smooth surface of a large hemispherical bowl of radius R. If the sphere starts sliding from rest, the total kinetic energy of the sphere at the lowest point A of the bowl will be:
Options:
View Solution
Question 31:
When a convex lens is placed above an empty tank, the image of a mark at the bottom of the tank, which is 45 cm from the lens, is formed 36 cm above the lens. When a liquid is poured into the tank to a depth of 40 cm, the distance of the image of the mark above the lens is 48 cm. The refractive index of the liquid is:
Options:
View Solution
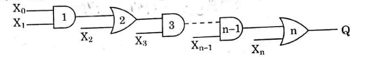
Question 32:
In the given network of AND and OR gates, output Q can be written as (assuming n even):

Options:
View Solution
Question 33:
Water is filled in a cylindrical vessel of height H. A hole is made at height z from the bottom, as shown in the figure. The value of z for which the range R of the emerging water through the hole will be maximum is:

Options:
View Solution
Question 34:
A metal plate of area 10-2 m2 rests on a layer of castor oil 2 × 10-3 m thick, whose coefficient of viscosity is 1.55 Ns/m2. The approximate horizontal force required to move the plate with a uniform speed of 3 × 10-2 m/s is:
Options:
Question 35:
The following figure shows the variation of potential energy V(x) of a particle with distance x. The particle has:

Options:
Question 36:
Monochromatic light of wavelength λ = 4770 Å is incident separately on the surfaces of four different metals A, B, C, and D. The work functions of A, B, C, and D are 4.2 eV, 3.7 eV, 3.2 eV, and 2.3 eV, respectively. The metal(s) from which electrons will be emitted is/are:
Options:
Question 37:
Consider the integral form of Gauss’s law in electrostatics:
∮ E · dA = Q / ε0
Which of the following statements are correct?
View Solution
Question 38:
A uniform rod AB of length 1 m and mass 4 kg is sliding along two mutually perpendicular frictionless walls OX and OY. The velocity of the two ends of the rod A and B are 3 m/s and 4 m/s respectively, as shown in the figure. Then which of the following statement(s) is/are correct?

Options:
View Solution
Question 39:
The variation of impedance Z of a series LCR circuit with the frequency of the source is shown in the figure. Which of the following statement(s) is/are true?

Options:
View Solution
Question 40:
The electric field of a plane electromagnetic wave in a medium is given by:
E(x, y, z, t) = E0 ei(k0(x + y + z) - ωt)
Where c is the speed of light in free space, and the E field is polarized in the x-z plane. The speed of the wave is v in the medium. Then:
View Solution
Also Check:
WBJEE Previous Year Question Paper PDF Download
Also Check:















Comments