XAT 2020 Question paper with answer key pdf conducted on January 5, 2020 in Forenoon Session is available for download. The exam was successfully organized by XLRI Jamshedpur. The question paper comprised a total of 100.0 questions divided among four sections. XAT 2020 Question Paper with Answer Key PDFs in English – (Forenoon Session)
| XAT 2020 Question Paper with Answer Key PDFs | Download PDF | Check Solutions |

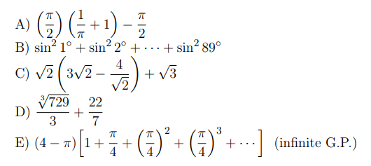
XAT 2020 Questions with Solutions
A map is a useful metaphor for our brain when talking about ____ because at its most basic level our brain ____ to be our atlas of sorts, a system of routes ____ to navigate us toward just one destination: staying alive!
From the options below, choose the set that MOST appropriately fills up the blanks.
______, medicine has been operated by trial and error, in other words, ______. We know by now that there can be entirely ______ connections between symptoms and treatment, and some medications succeed in medical trials for mere random reasons.
From the options below, choose the one that MOST appropriately fills up the blanks.
Read the following sentences and answer the question that follows:
1. I have good knowledge of German.
2. Except for Rajiv, everybody was there.
3. Whole Delhi was celebrating Independence Day.
4. Neither the dog, nor is the cat responsible for this mess.
5. He knows to swim.
6. I look forward to seeing you.
Which of the above are grammatically INCORRECT?
Which of the following is a grammatically CORRECT sentence?
Read the passage below and answer the 3 associated questions:
Once, during a concert of cathedral organ music, as I sat getting gooseflesh amid that tsunami of sound, I was struck with a thought: for a medieval peasant, this must have been the loudest human-made sound they ever experienced, aweinspiring in now-unimaginable ways. No wonder they signed up for the religion being proffered. And now we are constantly pummeled with sounds that dwarf quaint organs. Once, hunter-gatherers might chance upon honey from a beehive and thus briefly satisfy a hardwired food craving. And now we have hundreds of carefully designed commercial foods that supply a burst of sensation unmatched by some lowly natural food. Once, we had lives that, amid considerable privation, also offered numerous subtle, hard-won pleasures. And now we have drugs that cause spasms of pleasure and dopamine release a thousandfold higher than anything stimulated in our old drug-free world.
An emptiness comes from this combination of over-the-top nonnatural sources of reward and the inevitability of habituation; this is because unnaturally strong explosions of synthetic experience and sensation and pleasure evoke unnaturally strong degrees of habituation. This has two consequences. First, soon we barely notice the fleeting whispers of pleasure caused by leaves in autumn, or by the lingering glance of the right person, or by the promise of reward following a difficult, worthy task. And the other consequence is that we eventually habituate to even those artificial deluges of intensity. If we were designed by engineers, as we consumed more, we’d desire less. But our frequent human tragedy is that the more we consume, the hungrier we get. More and faster and stronger. What was an unexpected pleasure yesterday is what we feel entitled to today, and what won’t be enough tomorrow.
Which of the following options BEST reflects the author’s understanding of human perception of pleasure?
Going by the author, which of the following options BEST answers the question “how can one sustain the pleasure derived from any experience?”
Which of the following options BEST describes “emptiness” as described in the passage?
“People who work in law, hotel and food services, and technology were found the most likely to skip breakfast daily, according to a recent study. As for people who do eat breakfast and prefer a savoury type (like an egg), the study found they tend to make more money, be night owls and prefer cats over dogs. If you prefer a sweet breakfast like a donut you tend to be a morning person, like romcoms and are a dog person.”
Which of the following can be BEST inferred based on the above paragraph?
Read the poem below and answer the 2 associated questions:
Some say the world will end in fire,
Some say in ice.
From what I’ve tasted of desire
I hold with those who favor fire.
But, if it had to perish twice,
I think I know enough of hate
To know that for destruction ice
Is also great
And would suffice.
Which of the following statements will the poet agree with the MOST?
Which is the MOST UNSUITABLE title of the poem?
Read the following paragraph and answer the question that follows: In a 2017 survey of 3,915 American workers, my colleagues and I found that workers report experiencing a sizable “voice gap” at work — that is, a gap between how much say or influence they feel they ought to have and how much they actually have — on topics such as wages, working conditions, fair treatment, and input into how they do their work. And now a second study, I have just completed with a new team, finds that today’s workers want forms of voice and representation that go well beyond traditional unions.
Based on the above paragraph, which of the following options would you agree with the MOST?
Read the passage below and answer the 3 associated questions:
There is nothing spectacularly new in the situation. Most old-societies-turnedyoung-nation-states learn to live in a world dominated by the psychology and culture of exile. For some, the twentieth century has been a century of refugees. Others like Hannah Arendt have identified refugees as virtually a new species of human being who have come to symbolize the distinctive violence of our time. Refugees as contemporary symbols, however, proclaim something more than a pathology of a global nation-state system. They also represent a state of mind, a form of psychological displacement that has become endemic to modernizing societies. One does not even have to cross national frontiers to become a refugee; one can choose to be seduced by the ‘pull’ of self-induced displacement rather than be ‘pushed’ by an oppressive or violent system at home. It is this changed status of territoriality in human life that explains why, in immigrant societies like the United States, the metaphor of exile is now jaded. Some have already begun to argue that human beings need not have a ‘home’ as it has been traditionally understood in large parts of the world, that the idea itself is a red herring. While the idea of exile begins to appear trite in intellectual circles, an increasingly large proportion of the world is getting reconciled to living with the labile sense of self. Exile no longer seems a pathology or an affliction. Displacement and the psychology of exile are in; cultural continuities and settled communities are out; there is a touch of ennui about them.
Question 12:
Which of the following options is CLOSEST to the meaning of the phrase “labile sense of self”?
Based on the passage, which of the following will the author DISAGREE the MOST with?
Project Affected Families (PAF) are those that are physically displaced due to construction of a large project (dam, factory etc.) in an area where the PAF traditionally resided. With insights from the passage, what would a project proponent, dealing with Project Affected Families (PAF), agree the MOST with?
Read the following paragraph and answer the question that follows:
In Australia, jellyfish are most common between November and May. In Hawaii, jellyfish often show up on south-facing beaches eight days after a full moon. In the Mediterranean, blooms usually appear in the summer. Unfortunately for travellers, there is no worldwide database for recent jellyfish sightings, and tourism officials are sometimes reluctant to publicize jellyfish swarms out of fear that such news will scare off visitors.
Which of the following can be BEST concluded from the above paragraph?
Read the following paragraph and answer the question that follows:
Global surface temperatures in 2019 are on track to be either the second or third warmest since records began in the mid-1800s, behind only 2016 and possibly 2017. On top of the long-term warming trend, temperatures in 2019 have been buoyed by a moderate El Niño event that is likely to persist through the rest of the year.
Which of the following statements can be BEST inferred based on the above paragraph?
Read the following paragraph and answer the question that follows:
If we can send a human to the Moon, why can’t we build sustainable cities? Defeat cancer? Tackle climate change? So, go the rallying cries inspired by one of humanity’s greatest achievements, the US effort that put Neil Armstrong and Buzz Aldrin on the Moon on 20 July 1969.
Which of the following statements, if true, BEST communicates the intent of the paragraph?
When asked what the politician will do for the nation’s economy, he attacked the opponent by saying, “Look at that face! Would anyone vote for that? I mean, she’s a woman, and I’m not supposed to say bad things, but really, folks, come on. Are we serious? Nevertheless, we’re going to defeat ISIS. ISIS happened a number of years ago in a vacuum that was left because of bad judgment.
Which of the following statements BEST describes the politician’s intent?
Read the passage below and answer the 3 associated questions:
The nature of knowledge cannot survive unchanged within this context of general transformation. It can fit into the new channels, and become operational, only if learning is translated into quantities of information. We can predict that anything in the constituted body of knowledge that is not translatable in this way will be abandoned and that the direction of new research will be dictated by the possibility of its eventual results being translatable into computer language. The “producers” and users of knowledge must know, and will have to, possess the means of translating into these languages whatever they want to invent or learn. Research on translating machines is already well advanced. Along with the hegemony of computers comes a certain logic, and therefore a certain set of prescriptions determining which statements are accepted as “knowledge” statements.
We may thus expect a thorough exteriorisation of knowledge with respect to the “knower,” at whatever point he or she may occupy in the knowledge process. The old principle that the acquisition of knowledge is indissociable from the training (Bildung) of minds, or even of individuals, is becoming obsolete and will become ever more so. The relationships of the suppliers and users of knowledge to the knowledge they supply and use is now tending, and will increasingly tend, to assume the form already taken by the relationship of commodity producers and consumers to the commodities they produce and consume – that is, the form of value. Knowledge is and will be produced in order to be sold, it is and will be consumed in order to be valorised in a new production: in both cases, the goal is exchange. Knowledge ceases to be an end in itself, it loses its “use-value.”
Which of the following statements BEST captures the essence of the passage?
Based on the passage, which of the following statements can be BEST inferred?
Which of the following options will the author agree the MOST with?
It’s as if someone were out there making up pointless jobs just for the sake of keeping us all working. And here, precisely, lies the mystery. In capitalism, this is precisely what is not supposed to happen. Sure, in the old inefficient socialist states like the Soviet Union, where employment was considered both a right and a sacred duty, the system made up as many jobs as it had to. (This is why in Soviet department stores it took three clerks to sell a piece of meat.) But, of course, this is the very sort of problem market competition is supposed to fix. According to economic theory, at least, the last thing a profit-seeking firm is going to do is shell out money to workers they don’t really need to employ. Still, somehow, it happens. While corporations may engage in ruthless downsizing, the layoffs and speed-ups invariably fall on that class of people who are actually making, moving, fixing, and maintaining things. Through some strange alchemy no one can quite explain, the number of salaried paper pushers ultimately seems to expand, and more and more employees find themselves—not unlike Soviet workers, actually—working forty- or even fifty-hour weeks on paper but effectively working fifteen hours just as Keynes predicted, since the rest of their time is spent organizing or attending motivational seminars, updating their Facebook profiles, or downloading TV box sets. The answer clearly isn’t economic: it’s moral and political. The ruling class has figured out that a happy and productive population with free time on their hands is a mortal danger. (Think of what started to happen when this even began to be approximated in the sixties.) And, on the other hand, the feeling that work is a moral value in itself, and that anyone not willing to submit themselves to some kind of intense work discipline for most of their waking hours deserves nothing, is extraordinarily convenient for them.
Question 22:
Which of the following options, if true, BEST makes the author’s assertion on pointless jobs erroneous?
Which of the following can be BEST inferred from the passage?
Which of the following statements will BEST explain the principle underlying the theme of the passage?
Go through the statements below and answer the question that follows:
P. Fast food intake for more than three times a week is associated with greater odds of atopic disorders such as asthma, eczema or rhinitis. Thus, it should be definitely and strictly controlled in children as it does no good.
Q. Regular junk food intake can lead to physical and psychological issues among children.
R. Lack of Vitamins such as A and C, and minerals such as magnesium and calcium, encourage the development of deficiency diseases and osteoporosis, as well as dental caries due to higher intake.
S. Junk food, which are rich in energy with lots of fat and sugar, are relatively low in other important nutrients such as protein, fiber, vitamins and minerals.
T. Emotional and self-esteem problems, along with chronic illnesses in later life due to obesity, are the issues associated with the junk food.
Which of the following combinations is the MOST logically ordered?
Go through the statements below and answer the question that follows:
P. Surabhi’s Instagram profile has 1.4 million followers. It is filled with pictures of her posing in different settings.
Q. In India, reports suggest that WhatsApp (Much more than Facebook or Twitter) is the primary tool for the dissemination of political communication.
R. Political campaigns pay social media companies to promote their content.
S. Political advertising on social media comes in many forms and remains underexamined in India.
T. Social media influencers are used for the dissemination of content.
Which of the following combinations is the MOST logically ordered?
In the second week of her eight-week internship, Amala realizes that the project requires inputs from subjects she studied in her third trimester. However, during the third trimester, Amala was significantly distracted by an inter-college sports meet, affecting her grasp of the subjects. Which of the following is the MOST appropriate way forward for Amala?
Vindhya’s project is about understanding employee perception regarding the organization’s HR policies. Against her own instinct, she is suggested by her mentor to interview only the good performers identified by his office because poor performers, he believes, usually crib against the policies. Which of the following courses of action will BEST enable Vindhya to provide the organization with a complete picture?
Shabnam, who is working on sales executives’ work-life balance, has collected the following details about their frequent travels:
1. Frequent meetings help strengthen relationships with key customers.
2. Travelling has no effect on the personal lives of the sales executives as most of them are single.
3. Travel enhances the financial health of the sales executives since their fixed salaries are low.
4. Frequent travel has no significant impact on market budget, given the current high margins from sales.
5. The sales executives have the autonomy to decide the frequency of their travel.
Shabnam thinks that the frequency of travel is higher than required. Which of the following combinations of the above reasons can enable Shabnam BEST substantiate her thinking?
A Multinational Company (MNC) sources pristine natural spring water from Bori, a village in the Satpura mountains. The water is bottled directly without processing and sold under the brand name "Natural Spring Water" at a 50% premium compared to processed water brands. The MNC has signed a 30-year exclusive contract with the local panchayat (under the Panchayati Raj Act, 1992) for commercial use of the spring water. This agreement provides 50% of the panchayat’s revenues and creates 250 jobs. Additionally, the spring continues to meet domestic and agricultural needs of the villagers.
Chanchala owns a small parcel of farming land in Bori. She grows cannabis in some part of her land and earns a significant amount of money from it. Soon after the bottling plant is commissioned, Chanchala, instigated by a neighbor with a vested interest, starts accusing the MNC of robbing her of water and impacting her livelihood. She threatens to take the MNC to court. Which of the following options will BEST solve the MNC’s problem?
The MNC has spotted traces of chemicals in their fortnightly water quality analysis. This is due to contaminated agricultural runoff entering the spring from nearby fields where farmers use pesticides and fertilizers. The MNC needs an immediate solution. Which option BEST resolves the situation?
The MNC seeks a sustainable solution to recurring chemical contamination of its natural spring due to agricultural runoff (pesticides/fertilizers). Which course of action will BEST solve the issue?
A lone village store, The Small Shop (computer peripherals), saw revenue growth fall from about 12% to 4% for three years as e-commerce rose. It offers MRP discounts to compete. Which is the BEST reason NOT to reduce the current discount further?
View Solution
Step 1: Identify the decision rule.
Do not cut discounts if there exists a defensible, non-price advantage sustaining demand (convenience/immediacy, trust, service) \(\Rightarrow\) price cuts risk margin without incremental volume.
Step 2: Assess each option for durable demand drivers.
(A) A motto on a sign is not evidence of demand; it does not justify pricing. \(\Rightarrow\) Reject A.
(B) A small, new segment (\(\sim 3%\)) is positive but too small and may be price-sensitive; not a robust reason. \(\Rightarrow\) \(\textit{Weak}\).
(C) Competitors’ delivery fees help relative positioning, but do not confirm customers’ willingness to pay here and now; fees can change. \(\Rightarrow\) \(\textit{Insufficient}\).
(D) A potential entrant argues for maintaining margins or investing in service, not for discounting decisions today; it is speculative. \(\Rightarrow\) \(\textit{Not decisive}\).
(E) Clear evidence of local preference for readily available, immediate-purchase items indicates convenience/service moat; cutting discounts would only erode margins without strong volume gain. \(\Rightarrow\) E is BEST.
\[ \boxed{\text{Answer: E}} \] Quick Tip: Before lowering prices, verify whether your moat is non-price (availability, immediacy, trust, service). If yes, protect margins and invest in the moat instead of discounting further.
The Small Shop wants to increase the variety of products sold, including expensive ones. However, it is averse to accumulating unsold products, specifically of the expensive kind. Which of the following is the BEST option if The Small Shop wants to increase the variety of the products it sells?
An emerging brand offers a franchise to The Small Shop for repairing its products, on a condition that other brands are not to be repaired. Repairs currently account for 15% of its revenues. Which of the following, if true, will BEST help The Small Shop to decide on the franchise?
Read the situation below and answer the 3 associated questions:
When Deepti opened the package, she was aghast. She received cotton pillow covers instead of satin pillow covers, she had ordered. Deepti ordered them for her father from a popular e-commerce website that hosted products of many sellers. Confused, Deepti contacted the seller’s office using the details given on the package. The seller’s representative profusely regretted and promised to send the satin pillow covers at no extra cost. He added that Deepti need not return the cotton covers she received. Deepti happily accepted the deal. A few days later, Deepti received another package from the seller. Unfortunately, this package also contained cotton pillow covers. Completely disillusioned with the seller’s professionalism, Deepti decided to put to use these cotton pillow covers also
Question 36:
A few days later, Deepti received an email from the e-commerce website, requesting her to share feedback about the seller. Deeply frustrated with the overall online purchasing experience, she deliberately ignored it. Later that evening, over supper, her father opined that the balcony curtains needed to be changed. He suggested that they be bought from a local shop. “If something went wrong, we could at least yell at the seller,” he added. Deepti stared at her laptop and began writing her feedback. What would Deepti DEFINITELY achieve by giving feedback?
In the feedback column, Deepti awarded 1-star out of the maximum 5 stars to the seller and described her negative experience. Later that evening, the sales head called and pleaded with her to retract her feedback and upgrade them to 5-star, as they had already fired the employee concerned. He appealed that they were a young organization and that their sales were getting badly affected. Given the circumstances, what should be the IDEAL response?
After a few months, the sales head enquired, “In case you are using the cotton pillow covers and like them, kindly rate them on the e-commerce website. It will help us serve our customers better.” Later that evening, her father remarked, “You know, I really love these pillow covers though I am not sure why you bought so many of them.” Which of the following reasons gives Deepti the BEST rationale to ignore the sales head’s request?
Rakesh, who hailed from Dhanbad, worked in Jamshedpur with SPCIL, a government construction company. Although HR policies concerning job security & worklife balance attracted Rakesh to SPCIL, over time he found his work monotonous with no growth opportunities. However, the proximity to Dhanbad enabled him to visit his parents at his convenience.
Recently Rakesh applied to Grow and Prosper (G&P), a multinational company engaged in construction related operations, making inroads into many Indian states. G&P interviewed Rakesh and offered him three times his current salary at SPCIL.
Question 39:
While considering G&P’s offer, Rakesh pondered over the following facts:
1. A recent government policy made poor performance punishable by salary reduction or dismissal.
2. The first assignment at G&P is a bridge construction project in a village near Dhanbad.
3. With his current savings, Rakesh need not depend on regular income for at least six months.
4. Though an exemplary performer, Rakesh has hardly been recognized at SPCIL.
5. Based on the annual performance review at G&P, Rakesh will either earn double the salary or get fired.
Which of the following combinations of the above facts will BEST help Rakesh decide on joining G&P?
While mulling over the offer, Rakesh consulted Manikandan, his trusted senior at SPCIL. Manikandan disclosed that G&P preferred government employees for projects in Jharkhand, Bihar, and Chhattisgarh. “Once the project is completed, G&P may not need your skills,” observed Manikandan. Which of the following, if true, will BEST enable Rakesh to decide on the offer?
Rakesh, in his current job, came across incidences of bribing by private sector officials. He wondered if he might have to bribe government officials while at G&P. He reflected on his interview with G&P:
1. The interviewers were puzzled how Rakesh could manage his EMIs with his current income.
2. One interviewer was constantly probing how Rakesh managed to meet his project deadlines with little cooperation from his subordinates.
3. “What would you do if your project has a fortnight’s deadline and it takes a month to obtain a permit?” asked another interviewer.
4. A question that intrigued Rakesh was, “Should a pack of dacoits share their loot with one of their gang, who had killed a bystander against their motto ‘Thou shalt not kill’?”
Which of the following sequences of the above statements is in the MOST appropriate DESCENDING order of bribing undertones?
Read the situation below and answer the 3 associated questions:
Two industrial towns, Jayanagar and Ramnagar, about 15 kms. apart, are similar in land area, population, ethnic diversity and per capita incomes. Jagdeep Singh owns a bakery named Le Baguette in Jayanagar. He specializes in croissants, masala bread and whole wheat bread; eggless cakes are also a favorite. Among the four bakeries in Jayanagar, Jagdeep’s bakery with a market share of 30% is second only to the oldest Le Croissant bakery whose market share is 40%. Le Croissant commands a loyal customer base and does not offer eggless varieties.
Question 42:
Jagdeep has decided to open a branch in Ramnagar. Which of the following facts about Ramnagar will BEST support his decision?
Jagdeep wishes to open a 100% eggless branch in Ramnagar. He collected the following facts:
1. Eggless products account for 30% of Le Baguette’s sales.
2. At least 20% of all bakery sales in Ramnagar is from eggless products.
3. The eggless varieties of Le Baguette contain minute traces of egg.
4. Le Baguette currently makes 3% of its revenue from Ramnagar customers and all of it comes from eggless products.
5. Le Croissant’s Ramnagar branch struggles with a market share of 10%.
From the combinations below, in the DESCENDING order of effectiveness, choose the one that BEST supports Jagdeep’s decision.
Jagdeep considers selling ready-to-bake (RTB) products and notes:
1. US bakeries that sell RTB earned higher revenues than those that do not.
2. Around 7% of Jagdeep’s regular customers own baking ovens.
3. The sale of baking ovens in India is forecast to increase by 12% every year for the next three years.
4. 50% of Jagdeep’s regular customers are full-time working couples.
5. In Indian metros, RTB products give higher profit margins compared to finished products.
Select the BEST sequence of these facts, in DESCENDING order of effectiveness, to support Jagdeep.
Read the situation below and answer the 3 associated questions:
A powerful, intelligent king Vanamali once ruled over an ancient kingdom, Vanarajya. The kingdom was known for its high mountains and sprawling plains, and ninety percent of its land was under forest cover. Trade in forest produce was the mainstay of its economy, supported by subsistence agriculture.
With the increase of population, over time the forest in the plains was cleared for agriculture. The forest in the mountains continued to supply nutrient-enriched water and abundant forest produce to the plains. As a result, agricultural yields were bountiful. The plains prospered as compared to the mountains.
Question 45:
The increasing prosperity of the plains people tempted those in the mountains to divert forest land for agriculture. Vanamali was afraid that expansion of agriculture would result in deforestation of the mountains. Which of the following is the BEST course of action for Vanamali to conserve the mountain forest?
Vanamali, afraid of further deforestation, issued a diktat against felling of trees in the mountains. In due course, agriculture boomed in the plains, and mountain people became relatively poor. Which option should mountain people choose to BEST protect their long-term interests?
The village elders informed Vanamali about abundant precious metal under the forests. Mining could make the kingdom rich but threatens nutrient/water flows to plains. Advisor suggested action plans:
1. Repeal forest diktat and charge hefty royalty for mining.
2. Permit mining and enforce rainwater harvesting in plains.
3. Permit mining and begin afforestation in plains.
4. Continue with forest diktat.
5. Permit limited mining in rotation but maintain diktat in the rest.
Which sequence of action plans, in DESCENDING order of ability to contribute to sustainable prosperity, is MOST appropriate?
Nalini has received a total of 600 WhatsApp messages from four friends Anita, Bina, Chaitra and Divya. Bina and Divya have respectively sent 30% and 20% of these messages, while Anita has sent an equal number of messages as Chaitra. Moreover, Nalini finds that of Anita’s, Bina’s, Chaitra’s and Divya’s messages, 60%, 40%, 80% and 50% respectively are jokes. What percentage of the jokes received by Nalini have been sent neither by Divya nor by Bina?
If \(A \odot B = (A + B) \times B\), then what is \((5 \odot 2) \odot 5\)?
Ram goes north at \(10\) km/hr; Shyam goes east at \(20\) km/hr (twice Ram). After \(15\) min Shyam passes a tower; after another \(15\) min Ram passes a banyan tree. Later, at the same time, both stop. Their straight-line separation then is \(50\) km. How far is Shyam from the banyan tree (in km)?

Two lighthouses, located at points A and B on the earth, are 60 feet and 40 feet tall respectively. Each lighthouse is perfectly vertical and the land connecting A and B is perfectly flat. The topmost point of the lighthouse at A is A’ and of the lighthouse at B is B’. Draw line segments A’B and B’A, and let them intersect at point C’. Drop a perpendicular from C’ to touch the earth at point C. What is the length of CC’ in feet?
A man is laying stones, from start to end, along the two sides of a 200-meter walkway. The stones are to be laid 5 meters apart from each other. When he begins, all the stones are present at the start of the walkway. He places the first stone on each side at the walkway's start. For all the other stones, the man lays the stones first along one of the walkway's sides, then along the other side in an exactly similar fashion. However, he can carry only one stone at a time. To lay each stone, the man walks to the spot, lays the stone, and then walks back to pick another. After laying all the stones, the man walks back to the start, which marks the end of his work. What is the total distance that the man walks in executing this work? Assume that the width of the walkway is negligible.
A rectangular swimming pool is 50 meters long and 25 meters wide. Its depth is always the same along its width but linearly increases along its length from 1 meter at one end to 4 meters at the other end. How much water (in cubic meters) is needed to completely fill the pool?
A shop sells bags in three sizes: small, medium and large. A large bag costs Rs.1000, a medium bag costs Rs.200, and a small bag costs Rs.50. Three buyers, Ashish, Banti and Chintu, independently buy some numbers of these types of bags. The respective amounts spent by Ashish, Banti and Chintu are equal. Put together, the shop sells 1 large bag, 15 small bags and some medium bags to these three buyers. What is the minimum number of medium bags that the shop sells to them?
In the figure given below, the circle has a chord AB of length 12 cm, which makes an angle of 60° at the center of the circle, O. ABCD, as shown in the diagram, is a rectangle. OQ is the perpendicular bisector of AB, intersecting the chord AB at P, the arc AB at M and CD at Q. OM = MQ. The area of the region enclosed by the line segments AQ and QB, and the arc BMA, is closest to (in cm²):
Read the information given below and answer the 3 associated questions:
During 2015–2019, the revenues of four companies P–S were as follows:

Question 56:
Which of the given companies has seen the highest year-on-year growth (in percentage) in any single year during this five-year period?
It was later discovered that one company misreported its revenue in one of the years. If that single wrong entry is corrected, the five-year series for that company becomes an arithmetic progression (AP). Which company misreported its revenue?
During 2014 \(\to\) 2015, three companies had \(25%\) revenue increase and one company had \(50%\) increase. The total increase across all four was Rs. 125 lakhs. Which of the following CANNOT be true?
A box contains 6 cricket balls, 5 tennis balls and 4 rubber balls. Of these, some balls are defective. The proportion of defective cricket balls is more than the proportion of defective tennis balls but less than the proportion of defective rubber balls. Moreover, the overall proportion of defective balls is twice the proportion of defective tennis balls. What BEST can be said about the number of defective rubber balls in the box?
When expressed in decimal form, which of the following numbers will be non-terminating as well as non-repeating?

A rectangular field is \(40\) m long and \(30\) m wide. Draw diagonals on this field and then draw circles of radius \(1.25\) m, with centers only on the diagonals. Each circle must lie completely within the field. Any two circles may touch but must not overlap. What is the maximum number of such circles that can be drawn in the field?
A hare and a tortoise run between points O and P located exactly 6 km from each other on a straight line. They start together at O, go straight to P and then return to O along the same line. They run at constant speeds of 12 km/hr and 1 km/hr respectively. Since the tortoise is slower than the hare, the hare shuttles between O and P until the tortoise goes once to P and returns to O. During the run, how many times are the hare and the tortoise separated by an exact distance of 1 km from each other?
Consider the four variables \(A,B,C,D\) and a function \(Z\) of these variables, \[ Z=15A^2-3B^4+C+0.5D \]
with \(A,B,C,D\) non-negative integers satisfying:
(i) \(2A+B\le 2\)
(ii) \(4A+2B+C\le 12\)
(iii) \(3A+4B+D\le 15\).
If \(Z\) is maximised, what value must \(D\) take?
\(XYZ\) is an equilateral triangle, inscribed in a circle. \(P\) is a point on the arc \(YZ\) such that \(X\) and \(P\) are on opposite sides of the chord \(YZ\). Which of the following MUST always be true?
X, Y and Z start a web-based venture together. X invests Rs. 2.5 lakhs, Y invests Rs. 3.5 lakhs, and Z invests Rs. 4 lakhs. In the first year, the venture makes a profit of Rs. 2 lakhs. A part of the profit is shared between Y and Z in the ratio \(2:3\), and the remaining profit is divided among X, Y and Z in the ratio of their initial investments. The amount that Z receives is four times the amount that X receives. How much amount does Y receive?
Mohanlal has a square land of side \(2\) km. On one diagonal he marks two distinct points and draws two circles with these points as centres. Each circle lies completely inside the square and touches at least two sides. The radii of both circles are exactly \(\dfrac{2}{3}\) km. Mohanlal plants potatoes on the overlapping portion of these circles. Find the overlapping area (in sq. km).
190 students have to choose at least one elective and at most two electives from a list of three electives: E1, E2 and E3. It is found that the number of students choosing E1 is half the number of students choosing E2, and one third the number of students choosing E3. Moreover, the number of students choosing two electives is 50.
Question 67: Which of the following CANNOT be obtained from the given information?
In addition to the given information, which of the following is NECESSARY and SUFFICIENT to compute the number of students choosing only E1, only E2 and only E3?
Ashok has a bag with cards numbered \(1\) to \(40\). Shilpa has another bag with cards numbered \(1\) to \(5\). Latha draws one card from each bag: let \(A\) be the number from Ashok’s bag and \(B\) be the number from Shilpa’s bag. What is the probability that the remainder when \(A\) is divided by \(B\) is not greater than \(2\)?
X, Y, and Z are three software experts, who work on upgrading the software in a number of identical systems. X takes a day off after every 3 days of work, Y takes a day off after every 4 days of work and Z takes a day off after every 5 days of work. Starting afresh after a common day off,
(i) X and Y working together can complete one new upgrade job in 6 days.(ii) Z and X working together can complete two new upgrade jobs in 8 days.
(iii) Y and Z working together can complete three new upgrade jobs in 12 days.
If X, Y and Z together start afresh on a new upgrade job (after a common day off), exactly how many days will be required to complete this job?
What is the remainder if \(19^{20} - 20^{19}\) is divided by \(7\)?
Six drums are used to store water. Five drums are of equal capacity, while the sixth drum has double the capacity of each of these five drums. On one morning, three drums are found half full, two are found two-thirds full and one is found completely full. It is attempted to transfer all the water to the smaller drums. How many smaller drums are adequate to store the water?
The following graph depicts sector-wise percentage contributions to the gross domestic product (GDP) of nine nations, labelled “Nation A”, “Nation B” and so on. It is known that these nations are Brazil, China, France, Germany, India, Japan, Russia, the UK and the USA, but not necessarily in the same order.

Question 73:
Based on the given information, how many nations can be uniquely identified?
Based on the given information, which of the following CANNOT be ruled out?
Which of the following information, when considered in addition to the given information, does not allow us to completely identify the nine nations in the graph?
Margaret Atwood and Bernardine Evaristo have been recently awarded with:
In which Indian state did President Ram Nath Kovind serve as Governor?
Malfunction of which of the following organs is the MOST common cause of vertigo?
Which Indian startup was acquired by Walmart?
Which Indian bank was the FIRST to issue “Green Bonds” for financing renewable and clean energy projects?
Which organization’s mascot was R.K. Laxman’s “The Common Man”?
Which deer is also known as “the dancing deer” of Manipur?
Which is the largest landlocked salt water lake in India?
What did India commit to achieve under the Paris Climate Agreement (2015) as outlined in its Intended Nationally Determined Contributions report submitted to the UNFCCC?
What does the “Earth Overshoot Day” indicate?
In which state was the first ever environmental referendum held?
Oumuamua is:
In which Indian state is Sriharikota located?
What does the book "Silent Spring" (1962) by Rachel Carson highlight?
“Rakhigarhi” is associated with:
When Coca Cola exited India, which cola brand was created and marketed by the Government of India to provide jobs to those who earlier were employed by Coca Cola?
Which of the following rivers does not cross international borders?
The phrase “How dare you?” is BEST associated with:
Which Indian state enjoys special provisions under Article 371(D)?
Who among the following was awarded the Ramon Magsaysay award in 2019?
Which organization funded the Indian Cricket League?
Match the following foreign travelers with the rulers of that period:

Match the following authors with their works:

Which Indian state has different capitals in summer and winter?









Comments