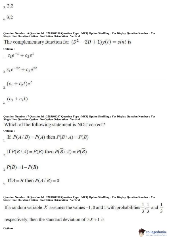
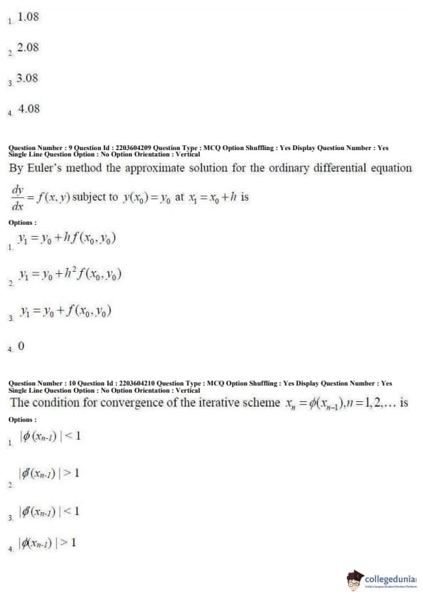
AP PGECET 2018 Bio Technology Question paper with answer key pdf conducted on May 11, 2018 in Forenoon Session 10 AM to 12 PM is available for download. The exam was successfully organized by Andhra University. The question paper comprised a total of 120 questions.
AP PGECET 2018 Bio Technology Question Paper with Answer Key PDFs for Forenoon Session
| AP PGECET 2018 Bio Technology Question Paper PDF | AP PGECET 2018 Bio Technology Answer Key PDF |
|---|---|
| Download PDF | Download PDF |
AP PGECET Previous Year Question Paper with Answer Key PDFs
| AP PGECET 2021 Question Papers | AP PGECET 2020 Question Papers | AP PGECET 2019 Question Papers |
| AP PGECET 2018 Question Papers | AP PGECET 2017 Question Papers | AP PGECET 2016 Question Papers |







Comments