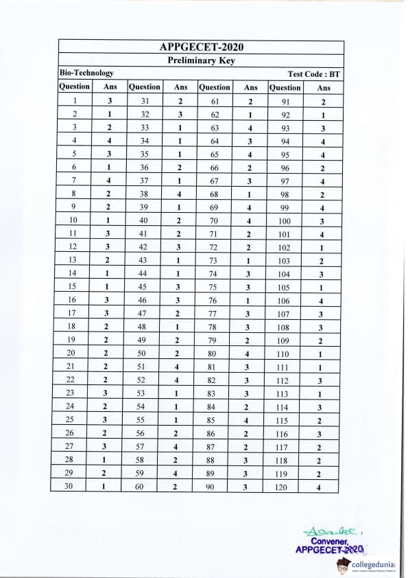
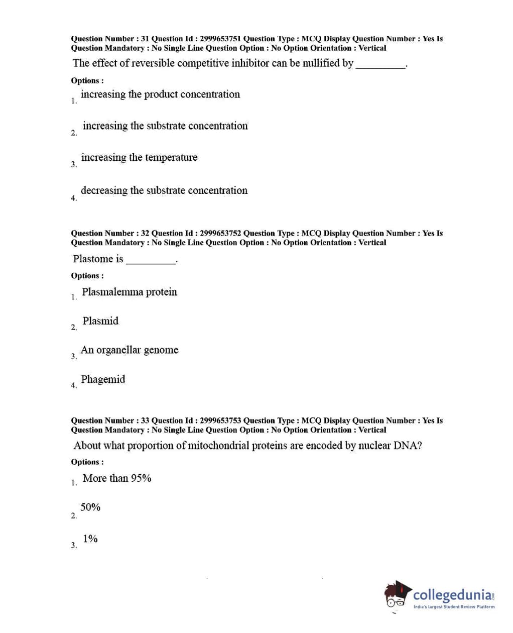
AP PGECET 2020 Bio Technology Question paper with answer key pdf conducted on September 29, 2020 from is available for download. The exam was successfully organized by Andhra University. The question paper comprised a total of 120 questions.
AP PGECET 2020 Bio Technology Question Paper with Answer Key PDFs for Forenoon Session
| AP PGECET 2020 Bio Technology Question Paper PDF | AP PGECET 2020 Bio Technology Answer Key PDF |
|---|---|
| Download PDF | Download PDF |







Comments