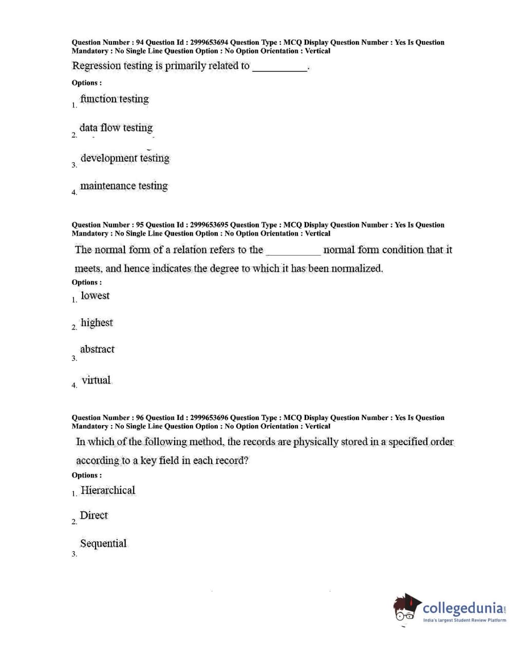
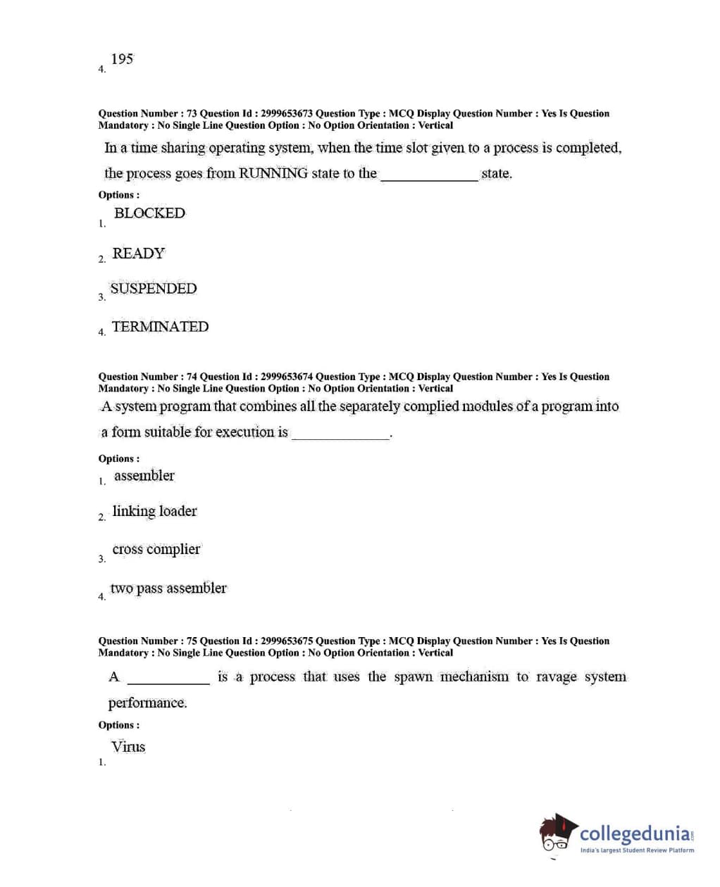
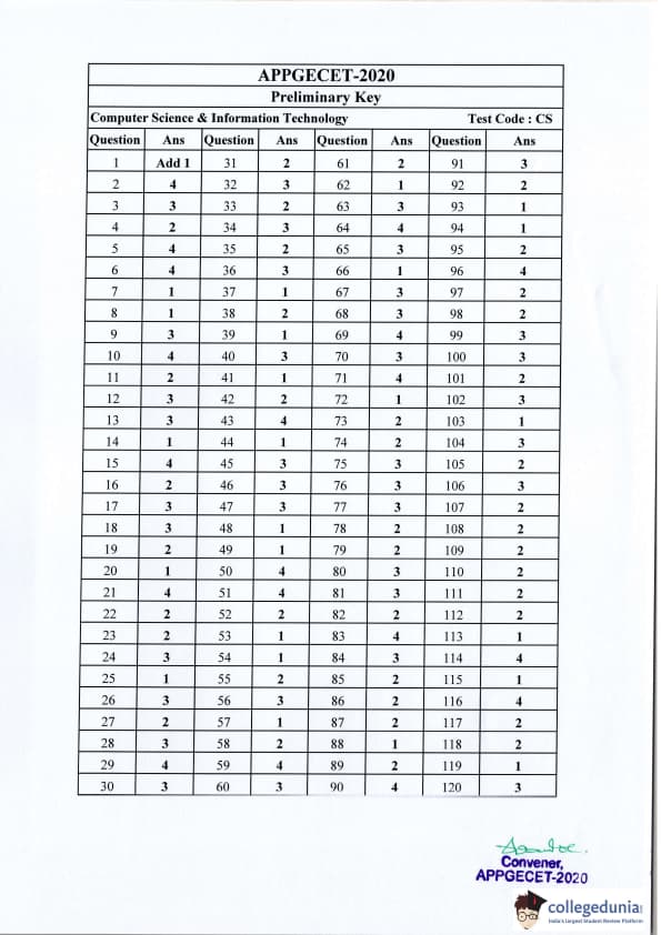
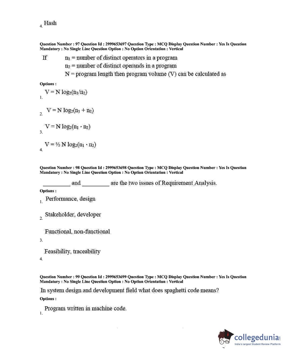
AP PGECET 2020 Computer Science and Information Technology Question paper with answer key pdf conducted on September 28, 2020 in Afternoon Session 3 PM to 5 PM is available for download. The exam was successfully organized by Andhra University. The question paper comprised a total of 120 questions.
AP PGECET 2020 Computer Science and Information Technology Question Paper with Answer Key PDFs for Afternoon Session
| AP PGECET 2020 Computer Science and Information Technology Question Paper PDF | AP PGECET 2020 Computer Science and Information Technology Answer Key PDF |
|---|---|
| Download PDF | Download PDF |







Comments