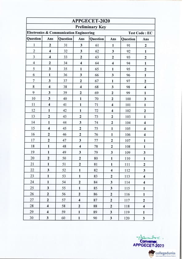
AP PGECET 2020 Electronics and Communication Engineering Question paper with answer key pdf conducted on September 29, 2020 in Forenoon Session 10 AM to 12 PM is available for download. The exam was successfully organized by Andhra University. The question paper comprised a total of 120 questions.
AP PGECET 2020 Electronics and Communication Engineering Question Paper with Answer Key PDFs for Forenoon Session
| AP PGECET 2020 Electronics and Communication Engineering Question Paper PDF | AP PGECET 2020 Electronics and Communication Engineering Answer Key PDF |
|---|---|
| Download PDF | Download PDF |







Comments