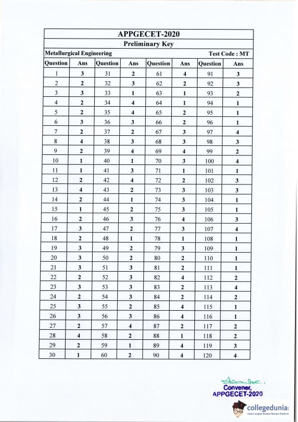
AP PGECET 2020 Metallurgy Question paper with answer key pdf conducted on September 30, 2020 in Forenoon Session 10 AM to 12 PM is available for download. The exam was successfully organized by Andhra University. The question paper comprised a total of 120 questions.
AP PGECET 2020 Metallurgy Question Paper with Answer Key PDFs for Forenoon Session
| AP PGECET 2020 Metallurgy Question Paper PDF | AP PGECET 2020 Metallurgy Answer Key PDF |
|---|---|
| Download PDF | Download PDF |







Comments