AP PGECET 2024 Instrumentation Engineering Question Paper is available for download here. Sri Venkateswara University, Tirupati on behalf of APSCHE conducted AP PGECET 2024 Instrumentation Engineering on May 31 in Shift 1 from 9 AM to 11 AM. AP PGECET Question Paper 2024 consists of 120 MCQ-based questions in total carrying 1 mark each to be attempted in the duration of 2 hours.

AP PGECET 2024 Instrumentation Engineering Question Paper with Answer Key PDF

AP PGECET 2024 Instrumentation Engineering Question Paper with Answer Key download iconDownload Check Solution
AP PGECET 2024 Instrumentation Engineering

Question 1:

The algebraic sum of voltages around any closed path in a network is equal to \hspace{2cm}.
  • (1) Infinity
  • (2) 1
  • (3) 0
  • (4) Negative polarity

Question 2: Calculate the mesh currents \(I_1\) and \(I_2\) flowing in the first and second meshes respectively.


 

Circuit Description: Left mesh (Mesh 1): 5V source (+ up), 5 ohm resistor, 3A current source (up). Right mesh (Mesh 2): 3A current source (up), 3 ohm resistor, 10V source (+ up). I1 assumed CW, I2 assumed CW.
  • (1) 1.75A, 1.25A
  • (2) 0.5A, 2.5A
  • (3) 2.3A, 0.3A
  • (4) (3)2A, 6.5A

Question 3: Find the value of Vth for circuit shown below

image

Circuit Description: 6V source series 3 Ohm, parallel 6 Ohm. Output node taken after the parallel combo, then series 2 Ohm to terminals.
  • (1) 1 V
  • (2) 2 V
  • (3) 3 V
  • (4) 4 V

Question 4: Which method can reduce dynamic error?
  • (1) By increasing accuracy
  • (2) By increasing precession
    (3) By reducing sensitivity
  • (4) By reducing time lag

Question 5: What is the relative error percentage of an observation taken by an ultrasonic sensor which predicts the distance of an object to be 2.12 cm but the actual value is 2 cm?
  • (1) 12%
  • (2) 10%
  • (3) 6%
  • (4) 1%

Question 6: Which among the following is not a dynamic characteristic?
  • (1) Precision
    (2) Measuring lag
  • (3) Dynamic error
  • (4) Fidelity

Question 7: Which of the following error is not a systematic error?
  • (1) Error induced due to stylus pressure
  • (2) Instrument location errors
  • (3) Error due to parallax
  • (4) Error due to play in the instrument's linkages
  • (1) Error induced due to stylus pressure: If the pressure applied is consistently too high or too low, it can introduce a systematic error in measurements (e.g., deformation).
  • (2) Instrument location errors: Environmental factors specific to a location (temperature, humidity, vibrations, magnetic fields) can cause systematic deviations if the instrument is calibrated or used under different conditions.
  • (3) Error due to parallax: While parallax error *can* be random if the observer's eye position varies unpredictably, it becomes a systematic error if the observer consistently views the scale from an incorrect angle. Often listed as a potential systematic error.

Question 8:

The ratio of the current transform at one port to current transform at other port is called \hspace{2cm}.

  • (1) Transfer admittance
  • (2) Transfer impedance
  • (3) Current transfer ratio
  • (4) Voltage transfer ratio

Question 9: If there are 10 nodes in a circuit, how many equations do we get?
  • (1) 0
  • (2) 9
  • (3) 8
  • (4) 7

Question 10: Thermocouple system has a time constant of 8 sec. It is used to measure temperature of a surface varying sinusoidally between 400\(^\circ\)C and 450\(^\circ\)C with a periodic time of 60 sec. The thermocouple will indicate the maximum temperature of
  • (1) 450.0\(^\circ\)C
  • (2) 444.2\(^\circ\)C
  • (3) 425.0\(^\circ\)C
  • (4) 405.0\(^\circ\)C

Question 11:


Output of a bimetallic element will be

  • (1) Strain
  • (2) Pressure
  • (3) Displacement
  • (4) Voltage
     

Question 12: The flow meter which has highest discharge coefficient is \hspace{2cm}.
  • (1) Orifice
  • (2) Venturi meter
  • (3) Pivot tube
    (4) Rotameter

Question 13: An A.C signal conditioning system is normally used for
  • (1) Resistive transducer like strain gauges
  • (2) Inductive and capacitive transducer
  • (3) Piezoelectric transducer
  • (4) Voltage transducer

Question 14: \hspace{2cm} measures dynamic pressure.
  • (1) Bourdon tube pressure gauges
  • (2) Barometric sensor
  • (3) Piezoelectric pressure sensor
  • (4) Piezoresistive pressure sensor

Question 15: Which of the following techniques is suitable to measure a leakage resistance of a capacitor?
  • (1) Loss of charge bridge
  • (2) Kelvins double bridge
  • (3) Ammeter voltmeter method
  • (4) Wheatstone bridge

Question 16: pH of a pure water is \hspace{2cm}.
  • (1) 5
  • (2) 6
  • (3) 7
  • (4) 8

Question 17: The SI unit of conductivity is
  • (1) Meter
  • (2) Ohm-meter
  • (3) Ohm
  • (4) Siemens per meter (S/m)

Question 18: Which type of rays are commonly used in radiation level detector?
  • (1) Gamma rays
  • (2) Beta rays
  • (3) Nuclear radiation
  • (4) Alpha rays

Question 19: \hspace{2cm} is the term connected with the amount of water vapour present in air or gas.
  • (1) Moisture
  • (2) Humidity
  • (3) Viscosity
  • (4) Density

Question 20: Pitot tube is used mainly for \hspace{2cm} measurement.
  • (1) Level
  • (2) Viscosity
  • (3) Fluid velocity
  • (4) Humidity

Question 21: \hspace{2cm} effect defines the creation of electromotive force in thermocouple transducer?
  • (1) Seebeck effect
  • (2) Hall effect
  • (3) Demagnetization
  • (4) Magnetization

Question 22: Resistance of an ideal diode during reverse biasing is
  • (1) Zero
  • (2) Unity
  • (3) Finite
  • (4) Infinite
  • (1) \textbf{Forward Bias:} When the voltage across the diode is positive (anode positive relative to cathode), it acts like a closed switch (short circuit) with zero resistance, allowing infinite current flow with zero voltage drop.

Question 23: The point of intersection which is called the Q point, represents
  • (1) The intersection of cutoff and diode current
  • (2) The intersection of cutoff and the diode voltage
  • (3) The intersection of saturation and diode current
  • (4) The intersection of the diode curve and the load line

Question 24: What is the maximum collector efficiency of a transformer coupled Class A power amplifier?
  • (1) 30%
  • (2) 80%
  • (3) 45%
  • (4) 50%

Question 25: In a BJT, largest current flow occurs
  • (1) In the emitter
  • (2) In the collector
  • (3) In the base
  • (4) Through CB junction.

Question 26: With the Enhancement MOSFET, when gate input voltage is zero, drain current is
  • (1) At saturation
  • (2) Zero
  • (3) IDss
  • (4) Widening the channel
     

Question 27: When an input signal reduces the channel size, the process is called
  • (1) Enhancement
  • (2) Substrate connecting
  • (3) Gate charge
  • (4) Depletion

Question 28: A circuit that removes all the positive parts of the input signal is a
  • (1) Positive clipper
  • (2) Positive clamper
  • (3) Negative clipper
  • (4) Positive voltage doubler

Question 29: In an ideal op-amp, which is not true?
  • (1) Open loop voltage gain is infinite
  • (2) Input resistance is infinite
  • (3) Slew rate is infinite
  • (4) CMRR is zero

Question 30: What is the use of the compensation capacitor in op-amp?
  • (1) Improves the amplification of op-amp
  • (2) Decreases the slew rate of op-amp
  • (3) Increases the bandwidth of op-amp
  • (4) Op-amp acts as all pass filter

Question 31: What instrument is used to amplify output signal of transducer
  • (1) Peaking amplifier
  • (2) Instrumentation amplifier
  • (3) Differential amplifier
  • (4) Bridge amplifier

Question 32: \hspace{2cm} and Current series are series type feedback connections.
  • (1) Voltage series feedback
  • (2) Current series feedback
  • (3) Voltage shunt feedback
  • (4) Current shunt feedback

Question 33: The value of feedback resistor and resistor connected in series with the input signal source are equal to 10k\(\Omega\) and 3.3k\(\Omega\). Calculate the closed loop voltage gain?
  • (1) -6.7
  • (2) -33
  • (3) -13.3
  • (4) -3.33

Question 34: The current to voltage converter photosensitive device can be used as
  • (1) Light intensity meter
  • (2) Light radiating meter
  • (3) Light deposition meter
  • (4) Light absorption meter

Question 35: Which of the oscillators doesn't come under the category of low frequency oscillators?
  • (1) RC phase shift oscillator
  • (2) Wien bridge oscillator
  • (3) Twin T oscillators
  • (4) Crystal oscillator

Question 36: In RC phase shift oscillator, one R-C bridge provides \hspace{2cm} phase shift
  • (1) 30\(^\circ\)
  • (2) 60\(^\circ\)
  • (3) 90\(^\circ\)
  • (4) 180\(^\circ\)

Question 37: Which of the following logic expressions represents the logic diagram shown?



(1) X=AB'+A'B
(2) X=(AB)'+AB
(3) X=(AB)'+A'B'
(4) X=A'B'+AB
 

Question 38: Find the simplified expression A'BC' + AC'.
  • (1) B
  • (2) A+C
  • (3) (A+B)C'
  • (4) B'C

Question 39: Which gate is called the anticoincidence and coincidence gate respectively?
  • (1) XNOR and XOR
  • (2) AND and OR
  • (3) OR and AND
  • (4) XOR and XNOR

Question 40: The parity check detection is done using
  • (1) OR gate
  • (2) AND gate
  • (3) XOR gate
  • (4) NOR gate

Question 41: The code where all successive numbers differ from their preceding number by a single bit is \hspace{2cm}
  • (1) Alphanumeric Code
  • (2) BCD
  • (3) Excess 3
  • (4) Gray

Question 42: How many inputs are required for a digital comparator?
  • (1) 1
  • (2) 2
  • (3) 3
  • (4) 4

Question 43: How many 3-line-to-8-line decoders are required for a 1-of-32 decoder?
  • (1) 4
  • (2) 2
  • (3) 1
  • (4) 8

Question 44: A basic S-R flip-flop can be constructed by cross-coupling of which basic logic gates?
  • (1) AND or OR gates
  • (2) XOR or XNOR gates
  • (3) NOR or NAND gates
  • (4) AND or NOR gates

Question 45: How many equal intervals are present in a 14-bit D-A converter?
  • (1) 16383
  • (2) 4095
  • (3) 65535
  • (4) 1023

Question 46: The representation of octal number (532.2)\(_8\) in decimal is \underline{\hspace{2cm
  • (1) (346.25)\(_{10}\)
  • (2) (532.864)\(_{10}\)
  • (3) (340.67)\(_{10}\)
  • (4) (531.668)\(_{10}\)

Question 47: Which of the following is the correct sequence of operations in a microprocessor?
  • (1) Opcode fetch, memory read, memory write, I/O read, I/O write
  • (2) Opcode fetch, memory write, memory read, I/O read, I/O write
  • (3) I/O read, opcode fetch, memory read, memory write, I/O write
  • (4) I/O read, opcode fetch, memory write, memory read, I/O write
  • (1) \textbf{Opcode Fetch:} Fetching the instruction code (opcode) itself from memory. This is always the first cycle for any instruction.
  • (2) \textbf{Memory Read:} Reading data or an operand from memory.
  • (3) \textbf{Memory Write:} Writing data to memory.

Question 48: Which of the following file extension that is loaded in a microcontroller for executing any instruction?
  • (1) .c
  • (2) .txt
  • (3) .hex
  • (4) .doc

Question 49: What will happen in that condition, if an interrupt occurs while the microcontroller is serving any other interrupt?
  • (1) The interrupt that is more priority in the interrupt vector table will be served first
  • (2) Both the interrupts will be handled simultaneously
  • (3) The interrupt having low priority in the interrupt vector table will be served first
  • (4) The interrupt which is being done first will be served first
  • (1) Completes the current instruction of the lower priority ISR.
  • (2) Saves the context of the lower priority ISR.
  • (3) Jumps to and executes the ISR for the new, higher priority interrupt.

Question 50: Choosing a discrete value that is near but not exactly at the analog signal level leads to
  • (1) PCM error
  • (2) Quantization error
  • (3) PAM error
  • (4) Sampling error

Question 51: In PCM the samples are dependent on \hspace{2cm}
  • (1) Time
  • (2) Frequency
  • (3) Quantization level
  • (4) Interval between quantization level

Question 52: Why is AM used for broadcasting in the communication systems?
  • (1) Its use avoids receiver complexity
  • (2) It is more immune to other modulation systems
  • (3) It requires less transmitting power
  • (4) No noise disturbances

Question 53: One TDM frame consists of one time slot per \hspace{2cm} ?
  • (1) Frequency slots
  • (2) Time slot
  • (3) Sub channels
  • (4) Frames

Question 54: The amount of frequency deviation in FM signal depends on
  • (1) Amplitude of the modulating signal
  • (2) Carrier frequency
  • (3) Modulating frequency
  • (4) Transmitter amplifier

Question 55: What gets shifted in the signals involved in Frequency Shift Keying?
  • (1) Amplitude
  • (2) Frequency
  • (3) Phase
  • (4) Amplitude and Phase

Question 56: In which of the following digital modulation carrier wave switches between 0 and 1 based on applied input?
  • (1) Amplitude Shift Keying
  • (2) Phase Shift Keying
  • (3) Frequency Shift Keying
  • (4) Phase Shift Keying and Frequency Shift Keying

Question 57: In a PCM system, if the code word length is increased from 6 to 8 bits, the signal to quantization noise ratio improves by the factor
  • (1) 6
  • (2) 8
  • (3) 12
  • (4) 16

Question 58: Given the signal,

X(t) = cos t, if t\textless0

Sin t, if t\(\ge\)0

The correct statement among the following is?
  • (1) Periodic with fundamental period 2\(\pi\)
  • (2) Periodic but with no fundamental period
  • (3) Non-periodic and discontinuous
  • (4) Non-periodic but continuous

Question 59: How is the discrete time impulse function defined in terms of the step function?
  • (1) \(\delta[n] = u[n+1] - u[n]\).
  • (2) \(\delta[n] = u[n] - u[n-2]\).
  • (3) \(\delta[n] = u[n] - u[n-1]\).
  • (4) \(\delta[n] = u[n+1] - u[n-1]\).

Question 60: How is the continuous time impulse function defined in terms of the step function?
  • (1) \( u(t) = \frac{d}{dt} \delta(t) \)
  • (2) \( u(t) = \delta(t) \)
  • (3) \( \delta(t) = \frac{d}{dt} u(t) \)
  • (4) \( \delta(t) = u(2t) \)

Question 61: A linear system at rest is subject to an input signal \(r(t) = 1 - e^{-t}\). The response of the system for t>0 is given by \(c(t) = 1 - e^{-2t}\). The transfer function of the system is:
  • (1) \( (s+2)/(s+1) \)
  • (2) \( 2(s+1)/(s+2) \)
  • (3) \( (s+1)/(s+2) \)
  • (4) \( (s+1)/2(s+2) \)

Question 62: The type of noise that would interfere much with the high frequency transmission is
  • (1) Shot
  • (2) Transit time
  • (3) Flicker
  • (4) White

Question 63: Wagner's earth devices are used in a.c. bridge circuits for
  • (1) Eliminating the effects of earth capacitance
  • (2) Eliminating the effects of inter component capacitance
  • (3) Eliminating the effects of stray electrostatic fields
  • (4) Shielding the bridge elements

Question 64: Capacitance can be measured using
  • (1) Maxwell's bridge
  • (2) Schering's bridge
  • (3) Campbell bridge
  • (4) Wien's bridge

Question 65: The phase displacement of the rotor emf in Drysdale potentiometer being equal to
  • (1) Angle of rotor from zero position
  • (2) Angle of rotor
    (3) Angle of the slide wire
  • (4) Angle of rotor with reference to stator coil

Question 66: A PMMC instrument can be used as ammeter and as voltmeter with the help of
  • (1) A low resistance shunt, a low series resistance
  • (2) A low resistance shunt, a high series resistance
  • (3) A high series resistance, a low resistance shunt
  • (4) A low series resistance, a high shunt resistance

Question 67: A 4-range milliammeter having ranges of 0-10mA, 0-50 mA, 0-100 mA, 0-500 mA. It is used for measurement of current whose magnitude is not known. In order to prevent damage to the instrument, the selector switch of the ammeter should be first placed at
  • (1) 0-10 mA
  • (2) 0-50 mA range
  • (3) 0-100 mA range
  • (4) 0-500 mA range

Question 68: In the given circuit below, voltage \(V_C(t)\) is

 


 
  • (1) \( 0.89 \cos(1000t - 63.43^\circ) \) V
  • (2) \( 0.89 \cos(1000t + 63.43^\circ) \) V
  • (3) \( 0.45 \cos(1000t + 26.57^\circ) \) V
  • (4) \( 0.45 \cos(1000t - 26.57^\circ) \) V

Question 69: Which of the following represents the correct relationship between frequency and angular frequency?
  • (1) \( \omega = 2\pi f \)
  • (2) \( \omega = \pi f \)
  • (3) \( f = 2\pi \omega \)
  • (4) \( f = \pi \omega \)

Question 70: Phase difference between two voltages at frequencies above 10Hz can be measured using \hspace{2cm}
  • (1) CRO
  • (2) Voltmeter
  • (3) X-Y plotter
  • (4) Multi meter

Question 71: What do you mean by duty cycle?
  • (1) Ratio of on time and total time period
  • (2) Ratio of off time and total time period
  • (3) On time
  • (4) Off time

Question 72: Typically oscilloscope represents \hspace{2cm}
  • (1) Current and time
  • (2) Resistance and time
  • (3) Voltage and time
  • (4) Power and time

Question 73: Stray capacitance effects can be minimized by \hspace{2cm}
  • (1) Making use of an inductance
  • (2) Connecting a resistance in series
  • (3) Shielding and grounding
  • (4) Using a galvanometer

Question 74: In serial communication, if the time interval to transmit one bit is 10 \(\mu\) sec. What is the time to transmit an 8-bit word?
  • (1) 8 \(\mu\) sec
  • (2) 80 \(\mu\) sec
  • (3) 0.8 \(\mu\) sec
  • (4) 0.008 \(\mu\) sec

Question 75: A node having only outgoing branches is called as \hspace{2cm}
  • (1) Input node
  • (2) Output node
  • (3) Incoming node
    (4) Outgoing node
     

Question 76: Signal flow graphs:
  • (1) They apply to linear systems
  • (2) The equation obtained may or may not be in the form of cause or effect
  • (3) Arrows are not important in the graph
  • (4) They cannot be converted back to block diagram

Question 77:


Feedback control systems are:

  • (1) Insensitive to both forward and feedback path parameter changes
  • (2) Less sensitive to feedback path parameter changes than to forward path parameter changes
  • (3) Less sensitive to forward path parameter changes that to feedback path parameter changes
    (4) Equally sensitive to forward feedback path parameter changes
     

Question 78: Which of the test signals are best utilized by the stability analysis \hspace{2cm}
  • (1) Impulse
  • (2) Step
  • (3) Ramp
  • (4) Parabolic

Question 79: Consider the loop transfer function K(s+6)/(s+3)(s+5). In the root locus diagram the centroid will be located at:
  • (1) -4
  • (2) -1
  • (3) -2
  • (4) -3

Question 80: Zero initial condition for a system means \hspace{2cm}
  • (1) Input reference signal is zero
  • (2) Zero stored energy
  • (3) The initial movement of moving parts
    (4) System is at rest and no energy is stored in any of its components

Question 81: In a bode magnitude plot, which one of the following slopes would be exhibited at high frequencies by a 4th order all-pole system?
  • (1) -80 dB/decade
  • (2) -40 dB/decade
  • (3) 40 dB/decade
  • (4) 80 dB/decade

Question 82: For Nyquist contour, the size of radius is \hspace{2cm}
  • (1) 25
  • (2) 0
  • (3) 1
  • (4) \(\infty\)
  • (1) The entire imaginary axis (\(s = j\omega\), from \(\omega = -\infty\) to \(+\infty\)).

Question 83: Derivative error compensation:
  • (1) Improvement in transient response
  • (2) Reduction in steady state error
  • (3) Reduction in settling time
  • (4) Increase in damping constant

Question 84: Which one of the following controllers produces the output in three terms?
  • (1) Proportional controller
  • (2) Proportional Derivative controller
  • (3) Proportional Integral controller
  • (4) Proportional Integral Derivative controller

Question 85: Which component of a servo motor is responsible for providing feedback?
  • (1) Encoder
  • (2) Transistor
  • (3) Capacitor
  • (4) Diode

Question 86: The figure shown below is a circuit diagram of \hspace{2cm} controller?

 


 
  • (1) Proportional
  • (2) Proportional integral
  • (3) Proportional Derivative
  • (4) PID Controller

Question 87: In which type of system does power transmission takes place through compressed air?
  • (1) Fluid power system
  • (2) Hydraulic system
  • (3) Pneumatic system
  • (4) Stepper motor

Question 88: What pumps hydraulic oil to the hydraulic circuit?
  • (1) Flow control valve
  • (2) Oil reservoir
  • (3) Rotary pumps
  • (4) Pressure gauge

Question 89: Magnetic sector analyzer is a part of
  • (1) NMR spectroscopy
  • (2) Mass spectroscopy
  • (3) IR spectroscopy
  • (4) UV spectroscopy

Question 90: The target materials which are suited for X-ray generation are
  • (1) Silver
  • (2) Thorium
  • (3) Uranium
  • (4) Nickel
  • (1) High Atomic Number (Z): For efficient X-ray production (both Bremsstrahlung and characteristic lines) and to produce higher energy characteristic X-rays.
  • (2) High Melting Point: To withstand the heat generated by electron bombardment.

Question 91: Which type of vapour is stored in Mercury lamp ?
  • (1) Mercury vapour
  • (2) Hydrogen vapour
  • (3) Xe
    (4) Ozone

Question 92: Epoxy material in fibre optics is intended for \hspace{2cm}
  • (1) Better optical properties
  • (2) Better reflection
  • (3) Better sealing
  • (4) Reducing noise

Question 93: Which among the following characteristics of Laser light specifies the precise movement of all individual light waves together through time and space?
  • (1) Monochromatic
  • (2) Directional
  • (3) Coherent
  • (4) Brightness

Question 94: A device which converts electrical energy in the form of a current into optical energy is called as \hspace{2cm}.
  • (1) Optical source
  • (2) Optical coupler
  • (3) Optical isolator
  • (4) Circulator

Question 95: In the fiber optic link, power transfer from one fiber to another and from fiber to detector must take place with \hspace{2cm} coupling efficiency.
  • (1) Maximum
  • (2) Stable
  • (3) Minimum
  • (4) Unpredictable

Question 96: Recombination of electron-hole produces \hspace{2cm} in LEDs.
  • (1) Photons
  • (2) Protons
  • (3) Nucleus
  • (4) Junction capacitance

Question 97: Beer Lambert's law gives the relation between which of the following?
  • (1) Reflected radiation and concentration
  • (2) Scattered radiation and concentration
  • (3) Energy absorption and concentration
  • (4) Energy absorption and reflected radiation

Question 98: Normal EEG frequency range is \hspace{2cm}
  • (1) 50-500Hz
  • (2) 0.5-50Hz
  • (3) 0.05-5Hz
  • (4) 1-200Hz

Question 99: Electroencephalogram is obtained from bioelectrical signals from the?
  • (1) Brain
  • (2) Heart
  • (3) Muscles
  • (4) Retina

Question 100: Which of the following is the frequency range of ultrasonic detection?
  • (1) 100 KHz to 50MHz
  • (2) 50 KHz to 100 KHz
  • (3) 100 GHz to 200 GHz
  • (4) 10 KHz to 100 MHz

Question 101: \hspace{2cm} is a part of the human temperature control system
  • (1) Digestive system
  • (2) Perspiration system
  • (3) Leg movement
  • (4) Ear

Question 102: When nuclear radiations pass through, gas ionization is produced. This is the principle of which of the following detectors?
 
  • (1) Proportional counter
  • (2) Flow counter
  • (3) Geiger Muller counter
  • (4) Scintillation counter

Question 103: Which among the following transducer is an example of active transducer?
  • (1) LDR (Light dependant sensor)
    (2) Strain gauge
  • (3) Hall effect sensor
  • (4) Photovoltaic cell

Question 104: The ac series circuit is composed of a resistance of 20 \(\Omega\), inductive reactance of 40 \(\Omega\) and capacitive reactance of 15 \(\Omega\). If a current of 1 Ampere is flowing, then what is the applied voltage value?
  • (1) 320V
  • (2) 22V
  • (3) 32V
  • (4) 220V

Question 105: An ammeter is inserted in \hspace{2cm}
  • (1) Series in a circuit and current to be measured flows through it
  • (2) Series in a circuit and part of the current to be measured flows through it
  • (3) Parallel in a circuit and current to be measured flows through it
  • (4) Parallel in a circuit and only part of the current to the measured flows through it.
     

Question 106: Using masons gain formula, find the non-touching loops in terms of loop gains

 

Signal Flow Graph description: Nodes X1, intermediate nodes, X2. Path X1->e->f->h->X2. Path X1->a->b->c->d->X2. Loop b->c->b (gain bc). Loop f->g->f (gain fg).
  • (1) acbd, efgh
  • (2) acdhfe, bc
    (3) acdhfe, fg
    (4) bc, fg
Correct Answer: (4) bc, fg
View Solution First, identify the individual loops in the signal flow graph and their gains (assuming forward path gains are represented by the letters):
- Loop 1: Starts at node after 'a', goes b \(\rightarrow\) c \(\rightarrow\) back to node after 'a'. The gain is \(L_1 = bc\).
- Loop 2: Starts at node after 'e', goes f \(\rightarrow\) g \(\rightarrow\) back to node after 'e'. The gain is \(L_2 = fg\).
Next, determine if these loops are non-touching. Two loops are non-touching if they do not share any common nodes.
- Loop 1 (bc) involves the nodes between a/b, b/c, and c/d.
- Loop 2 (fg) involves the nodes between e/f, f/g, and g/h.
Observing the diagram, these two sets of nodes are distinct; the loops do not share any nodes. Therefore, loops \(L_1\) (with gain bc) and \(L_2\) (with gain fg) are non-touching loops.
Mason's Gain Formula often requires identifying pairs (or higher orders) of non-touching loops. The pair of non-touching loops has gains bc and fg. Option 4 lists these two loop gains. The other options list paths or combinations that aren't pairs of non-touching loop gains.
Quick Tip: \textbf{Signal Flow Graph Loops.} A loop starts and ends at the same node, following branch directions. Two loops are non-touching if they share no common nodes. Mason's Gain Formula uses sums of individual loop gains, sums of products of pairs of non-touching loop gains, etc.

Question 107: A force sensor has a sensitivity of 0.01 mV/N. If the sensor outputs a voltage of 2 mV, what is the corresponding force (in Newtons)?
  • (1) 100N
  • (2) 150N
  • (3) 200N
  • (4) 250N

Question 108: The device shown here is most likely to be \hspace{2cm}

 

 
  • (1) 4\(\times\)1 Multiplexer
  • (2) 6\(\times\)1 Multiplexer
  • (3) 4\(\times\)1 Demultiplexer
  • (4) 6\(\times\)1 Demultiplexer

Question 109: The system AX=B has a unique solution if
  • (1) \( \rho(A) = \rho(A|B) < No. of Variables \)
  • (2) \( \rho(A) < \rho(A|B) = No. of Variables \)
    (3) \( \rho(A) < \rho(A|B) < No. of Variables \)
  • (4) \( \rho(A) = \rho(A|B) = No. of Variables \)

Question 110: The system of equations \(3x + 2y + z = 0, x + 4y + z = 0, 2x + y + 4z = 0\) is
  • (1) Inconsistent
  • (2) Has only the trivial solution x = y = z = 0
  • (3) Reduced to single equation and solution does not exist
    (4) Determinant of the coefficient matrix is zero

Question 111: If \( A = \begin{bmatrix} 1 & 0
0 & 1 \end{bmatrix} \), \( B = \begin{bmatrix} 0 & 1
-1 & 0 \end{bmatrix} \) and \( C = \begin{bmatrix} \cos\theta & \sin\theta
-\sin\theta & \cos\theta \end{bmatrix} \) then
  • (1) \( C = A\cos\theta - B\sin\theta \)
  • (2) \( C = A\sin\theta + B\cos\theta \)
  • (3) \( C = A\sin\theta - B\cos\theta \)
  • (4) \( C = A\cos\theta + B\sin\theta \)

Question 112: If \( f = Tan^{-1}(xy) \) then \( \left(\frac{\partial f}{\partial x}\right)_{(1,2)} = ----------- \)
  • (1) \( \frac{1}{5} \)
  • (2) \( \frac{2}{5} \)
  • (3) \( \frac{3}{5} \)
  • (4) \( \frac{4}{5} \)

Question 113: Let S be a closed surface for which \( \oiint_S \vec{r} \cdot \hat{n} \, dS = 1 \), then the volume enclosed by the surface is __________________.
  • (1) 1
  • (2) 1/3
  • (3) 2/3
  • (4) 3

Question 114: The general solution of the differential equation \( x^2 \frac{d^2y}{dx^2} - 2x \frac{dy}{dx} + 2y = 4 \) is
  • (1) \( y = c_2 x^2 + c_1 x + 2 \)
  • (2) \( y = c_2 x + \frac{c_1}{x^2} + 2 \)
  • (3) \( y = c_1 x^2 + c_2 x + 4 \)
  • (4) \( y = c_2 x + \frac{c_1}{x^2} + 4 \)

Question 115: Auxiliary Equation for the Cauchy Euler Equation \( (x^2 D^2 + xD + 4)y = 0 \) is \underline{\hspace{2cm
  • (1) \( \theta^2 + 4 = 0 \)
  • (2) \( \theta^2 + 9 = 0 \)
  • (3) \( \theta^2 + 16 = 0 \)
  • (4) \( \theta^2 + 25 = 0 \)

Question 116: In Method of Variation of Parameters, \( A = -\int \frac{y_2 R dx}{W} \). If \( V = \sin x, R = \sec x, W = 1 \) then A= \underline{\hspace{2cm
 
  • (1) Sinx
  • (2) Cosx
  • (3) Log(Sinx)
  • (4) Log(Cosx)

Question 117: Cauchy Riemann Equations for an Analytic function are
  • (1) \( u_x = v_y; u_y = -v_x \)
  • (2) \( u_x = v_x; u_y = v_y \)
  • (3) \( u_x = v_y; u_y = v_x \)
  • (4) \( u_x = -v_x; u_y = -v_y \)

Question 118: For the function \( \frac{\sin z}{z^4} \), the point z = 0 is
  • (1) A pole of order 4
  • (2) A pole of order 1
  • (3) A pole of order 2
  • (4) A pole of order 3

Question 119: The variance for continuous probability function \( f(x) = x^2 e^{-x} \) when \( x \ge 0 \) is
  • (1) 1
  • (2) 0
  • (3) 3
  • (4) 2

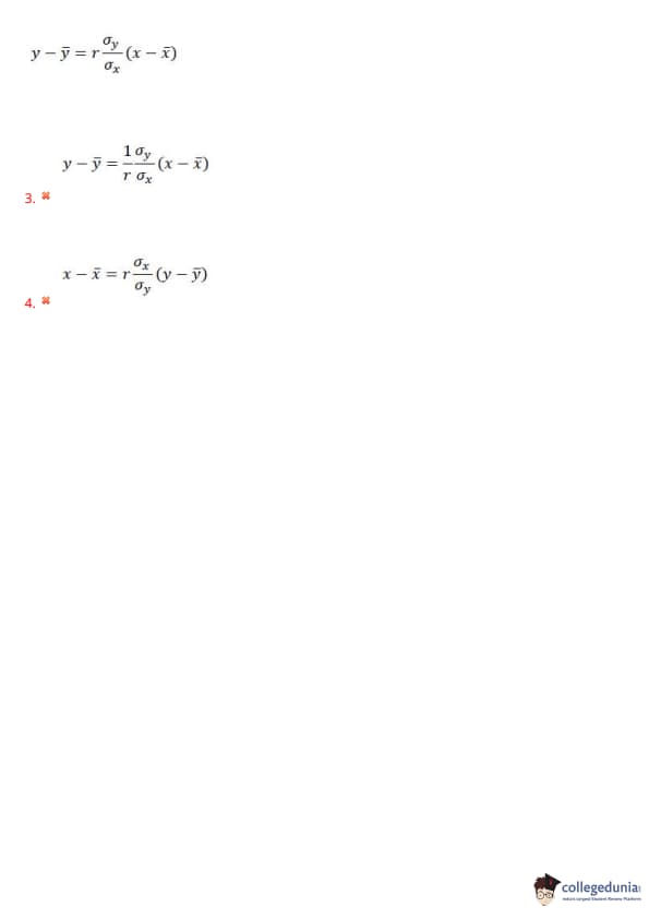
Question 120: Line of Regression of y on x
  • (1) \( y - \bar{y} = \frac{\sigma_y}{\sigma_x} (x - \bar{x}) \)
  • (2) \( y - \bar{y} = r \frac{\sigma_y}{\sigma_x} (x - \bar{x}) \)
  • (3) \( y - \bar{y} = \frac{1}{r} \frac{\sigma_y}{\sigma_x} (x - \bar{x}) \)
  • (4) \( x - \bar{x} = r \frac{\sigma_x}{\sigma_y} (y - \bar{y}) \)