AP PGECET Question Paper 2025 for Civil Engineering is available for download here with answer key and solution PDF. AP PGECET 2025 was conducted from June 6 to June 8 in two shifts.
AP PGECET Question Paper 2025 consists of 120 MCQ-based questions in total carrying 1 mark each to be attempted in the duration of 2 hours.
AP PGECET Civil Engineering Question Paper with Solution PDF
| AP PGECET Question Paper 2025 with Solution PDF | |
| Download PDF | Check Solution |
A bar of diameter 30 mm is subjected to a tensile load such that the measured extension on a gauge length of 200 mm is 0.09 mm and the change in the diameter is 0.0045 mm. The Poisson’s ratio will be ...........
At a point in a steel member, a major principal stress is 200 MPa (tensile) and minor principal stress is compressive. If uniaxial tensile yield stress is 250 MPa, then according to maximum shear stress theory, the magnitude of the minor principal stress (compressive) at which yielding will commence is ...........
Bending moment (M) and Torque (T) are applied on a solid circular shaft. If maximum bending stress equals to maximum shear stress developed, then M is equal to ..........
Two simply supported beams \( B_1 \) and \( B_2 \) have spans \( l \) and \( 2l \) respectively. Beam \( B_1 \) has a cross-section of \( 1 \times 1 \) units and \( B_2 \) has a cross-section of \( 2 \times 2 \) units. These beams are subjected to concentrated loads \( W \) each at the centre of their spans. The ratio of the maximum flexural stress in these beams is ............
For a circular column having its ends hinged, the slenderness ratio is 160. The \( l/d \) ratio of the column is ............
A simply supported beam with rectangular cross-section section is subjected to central concentrated load. If width and depth of the beam are doubled, then the deflection at the centre of the beam will be reduced to ............
A fixed beam AB is subjected to a triangular load varying from zero at end A to \( w \) per unit length at end B. The ratio of fixed end moment at B to that at A will be ............
Number of unknowns to be determined in the stiffness method is equal to ............
If deflection at the free end of a uniformly loaded cantilever beam of length 1 m is equal to 7.5 mm, then slope at the free end is ............
A beam of triangular section has base width 200 mm and height 100 mm. The maximum shear stress in the beam section due to a shear force of 20 kN is ............
For the section having width \( b \) and depth \( d \), the second moment of the area about an axis \( d/4 \) distance above the bottom of the area is ............
The law in which, the system of forces acting on a moving body is in dynamic equilibrium with the inertia force of the body is known as ............
A simply supported beam is subjected to a linearly varying load from one end to the other end. The nature of variation of shear force in the beam is ............
The ratio of elongation of a prismatic bar due to its own weight and that of a conical bar of the same length is ............
A propped cantilever beam of span 4 m is fixed at end A and simply supported at end B. The beam is subjected to a uniformly distributed load of 5 kN/m. Then the reactions at A and B respectively are ............
A section of a shaft of diameter 100 mm is subjected to a moment of 4 kN-m and a torque of 3 kN-m. The ratio of maximum principal stress to minimum principal stress numerically is ............
If the length of a simply supported beam carrying a concentrated load at the center is doubled, the deflection at the center will become .......
Bearing stiffness are provided in a plate girder to ........
M60 structural steel tube has a radius of gyration 20mm. The unbraced length up to which the tube can be used as a compression member is .........
The moment required to rotate the near end of a prismatic beam through unit angle, without translation, the far end being fixed, is given by ........
In the slope deflection equations, the deformations generated are due to:
i. axial force
ii. shear force
iii. bending moment
A structure has two degrees of indeterminacy. The number of plastic hinges that would be formed at complete collapse is .......
Most common method of prestressing used for factory production is ........
As per IS: 456-1978, if \( L \) is the short span of slab, what would be the minimum total thickness of slab in order to meet the slab stiffness criteria?
The modulus of resilience is the .......
View Solution
How much percentage of average bond stress is increased for reinforced bars subjected to compression?
View Solution
For a long slender column, failure is most likely to occur due to .........
View Solution
The minimum cover in any pretensioned - prestressed concrete member located in an aggressive environment is ........
Which of the following agent does not enhance the workability of concrete?
For a symmetrical I-section beam, the shear stress is maximum at ...........
According to IS: 800-2007, the lacing bars in a steel column should resist a transverse shear equal to .........
In prestressed concrete, the primary purpose of prestressing is to ........
The slope at the end of a simply supported beam with a central point load is .........
In the design of a steel tension member, which mode is NOT typically considered?
The effective length of a column of length \(L\), held in position and restrained in direction at one end, and the other end effectively restrained in direction but not held in position, is equal to
The ratio of weight of water to weight of dry soil is called .......
A fully saturated soil has water content of 20% and specific gravity 2.5, then its porosity is ..........
View Solution
A soil has coefficient of uniformity of 6, particle size corresponding to 60% finer and 30% finer are respectively 0.85 and 0.35. Then the coefficient of curvature of soil is ..........
View Solution
A layer of clay soil has saturated unit weight of 20 kN/m\(^3\). Ground water table is located at ground surface and unit weight of water is 10 kN/m\(^3\). If the over consolidation ratio of soil at 5 m below ground level is 2, what would be the maximum effective stress to which the soil has been subjected in its stress history?
View Solution
A cohesionless soil sample has showed an angle of internal friction 30\(^\circ\) at failure corresponding to a cell pressure of 100 kPa. The deviator stress at failure is..........
View Solution
A point load of 400 kN is acting on the surface of the ground. The vertical stress directly below the load at 2 m depth as per the Boussinesq’s theory is .........
View Solution
Due to capillary rise in soil, the effective stress ...........
View Solution
In a plate load test, the minimum ratio of widths of pit to plate to be maintained is .........
If the actual observed value of standard penetration resistance, N is 21 in a fine sand layer below the water table, then the corrected N value for dilatancy is ............
If \( \gamma \) is the unit weight of soil, \( D_f \) is the depth of foundation, and \( F \) is the factor of safety, the difference in gross safe bearing capacity and net safe bearing capacity is expressed as ............
If an infinite slope of clay at a depth 5 m has cohesion of 10 kPa and unit weight of 20 kN/m\(^3\), then the stability number corresponding to a critical condition will be ............
A retaining wall has a backfill of pure clay whose unconfined compressive strength is 40 kPa and unit weight 20 kN/m\(^3\). The depth of tension crack developed in the backfill is ............
The ratio of effective stress to total stress at point ‘A’ given in the figure is ............
If the ground water table is exactly at the base of the foundation, the maximum water table reduction factor may be ............
In the pile load estimation in very soft clay, the adhesion factor considered is ............
Magnitude of the component of velocity at point (1,1) for a stream function \( \Psi = x^2 - y^2 \) is equal to ............
In a 1:100 scale model of a harbour, the time which will correspond to the prototype tidal period of 12 hours will be ............
A wide channel is 1 m deep and has a velocity of flow \( V = 2.13 \, m/s \). If a disturbance is caused, an elementary wave can travel upstream with a velocity of ............
The maximum diameter that a capillary tube can have to ensure that a capillary rise of at least 6 mm is achieved when the tube is dipped into a body of liquid with surface tension \( = 0.08 \, N/m \) and density \( = 900 \, kg/m^3 \) is ...........
A sphere of 150 mm diameter is held in equilibrium by a vertical air stream of velocity 15 m/s. If the density of air is \( 1.225 \, kg/m^3 \) and the coefficient of drag is 0.43, the weight of the sphere is ...........
A 75 mm diameter pipe of 500 m length operates under a head of 60 m at its inlet. If a nozzle is fitted at its outlet, then for most efficient conditions, the velocity of flow from the nozzle (with \( C_v = 1 \)) is .........
If atmospheric pressure head is 9 m, vapour pressure head (maximum) is 1 m, failure head is 40 m and cavitation coefficient \( \sigma \) is 0.15, then height at which the turbine can be set above the tailrace level is ...........
A flat plate of 0.15 m\(^2\) is pulled at 20 cm/s relative to another plate, fixed at a distance of 0.02 cm from it with a fluid having \( \mu = 0.0014 \, Ns/m^2 \) separating them. The power required to maintain the motion is ...........
The flow of a liquid at constant rate in a conically tapered pipe is classified as ...........
A drainage basin has an area of 210 km\(^2\). The average depth of rainfall received by it during a monsoon period is computed as 65 cm, while the runoff measured at its outlet during the same period is estimated to be \(5.68 \times 10^7\) m\(^3\). What percentage of rainfall has become runoff?
What should be the diameter of an open well to give a safe yield of 4.8 l/s? Assume working head as 3.75 m and sub soil consists of fine sand of \( C = 0.5\ h^{-1} \).
For medium silt whose average grain size is 0.16 mm, Lacey’s silt factor is likely to be
The probability of a 10-year flood to occur at least once in the next 4 years is.........
What is the discharge capacity required at the outlet to irrigate 2200 hectares of sugarcane having a kor depth of 17 cm and kor period of 30 days?
In an irrigated plot the net irrigation requirement of crop is found to be 14.9 cm, the application efficiency is 80% and water conveyance efficiency is 70%. What is the gross irrigation requirement (GIR)?
If sensitivity of an irrigation module is 0.5, then what percent variation in outlet discharge will be caused by 50 percent variation in canal water depth?
Which of the following is a method for estimating evaporation from a water surface?
A city supply of 15000 cubic meters of water per day is treated with a chlorine dosage of 0.5 ppm. For the purpose, the requirement of 25% bleaching powder per day would be .......
Fresh sludge has moisture content of 99%, after thickening its moisture content is reduced to 96%. The reduction in volume of sludge is ........
As compared to fresh river water, sea water contains .........
High COD to BOD ratio of an organic pollutant represents ............
The minimum dissolved oxygen required in water to save the aquatic life is ............
In transition of sewers from smaller diameter sewers to larger diameter sewers, the continuity of sewers is maintained at the ...........
Acceptable lower limit of bacteria removal through activated sludge process is ...........
The biochemical treatment of sewage effluents is essentially a process of ............
A circular primary clarifier processes an average flow of 5005 m\(^3\)/day of municipal wastewater. The outflow rate is 35 m\(^3\)/m\(^2\)·d. The diameter of clarifier shall be ........
Pollutant standards index (PSI) value between 101–199 denotes the air quality as ........
Electrostatic precipitator is a device to control .........
Ringelmann’s scale is used to ........
Which one of the following pollutants or pairs of pollutants is formed due to photochemical reactions?
The permissible time limit of 120 dB noise is .........
What is the total percentage of nitrogen gas present in the air?
Which of the following particles cause water to appear cloudy and hazy?
As per the reports of Central Pollution Control Board of India, the generation of solid waste in large cities per capita per day is .........
By which of the following processes, the organic material present in the solid waste is decomposed?
As per the IRC recommendations, the coefficient of friction to be preferred between the road surface and vehicle tyre for a speed of vehicle about 50 kmph is .........
The minimum distance required for a vehicle to overtake a vehicle without interfering with a vehicle coming in the opposite direction at a design speed of about 80 kmph is .........
In a flexible pavement, the minimum thickness of base material should be kept as ..........
The limit of aggregate crushing value for dense mix carpet in flexible pavements is .......
Marshall stability determines .......
Maximum size of aggregate in base course is ........
What is the minimum grade of concrete in CC pavement?
The braking efficiency for a vehicle moving with a speed of 18 kmph, having a lag distance of 14 m and coefficient of longitudinal friction of 0.36 is .......
The standard load used in the estimation of subgrade CBR corresponding to 5 mm standard penetration is .......
The distance travelled by a moving vehicle during perception and brake reaction time is known as .........
The ratio of contact pressure to the tyre pressure is known as ........
If ‘L’ is the length of chain, the compensating errors that occur in chaining are proportional to .......
Which one of the following is mid-ordinate value for a circular curve of radius 50 m and chord length 60 m?
On which end of a circle, the zero is marked in a prismatic compass?
If the bearing of a line AB is N 60° 30′ and that of BC is 122° of a closed traverse ABCDE, then the measure of the interior angle B is .......
An imaginary line joining the point of intersection of the cross-hairs of the diaphragm and the optical center of the object glass is called as .......
Design of laterally unsupported steel beams is governed by ......
Deflection at the free end of a cantilever beam of length 2 m with 5 kN point load at the end is .......
A thin-walled circular pressure vessel has an internal pressure ‘\( p \)’, radius ‘\( r \)’, and wall thickness ‘\( t \)’. What is the hoop stress?
A solid circular shaft is subjected to a constant torque. Which statement is correct about shear stress?
Capillary rise is most prominent in which soil?
Negative skin friction occurs when ...........
Which of the following parameters most significantly influences the development length in a reinforced concrete beam?
Which of the following statements best explains why shear reinforcement (stirrups) is provided in reinforced concrete beams?
Which method is used for structural analysis of indeterminate structures?
Let \( i \) be an imaginary number such that \( i = \sqrt{-1} \). Let \( a \) and \( b \) be real numbers satisfying \( a^2 + b^2 = 1 \).
Then, the eigenvalues of the matrix \[ \begin{bmatrix} -a & b
b & a \end{bmatrix} \]
are ...........
If \( A = \begin{pmatrix} -3 & 2
1 & 0 \end{pmatrix} \) is a \( 2 \times 2 \) matrix, then \( A \) satisfies the relation ...........
\textbf{Step 1: Use the Cayley-Hamilton theorem.}
The matrix \( A \) satisfies its own characteristic equation. First, we compute the characteristic polynomial of \( A \). \[ A = \begin{pmatrix} -3 & 2
1 & 0 \end{pmatrix} \] \textbf{Step 2: Characteristic Polynomial}
\[ \det(A - \lambda I) = \begin{vmatrix} -3 - \lambda & 2
1 & -\lambda \end{vmatrix} = (-3 - \lambda)(-\lambda) - 2(1) = \lambda(3 + \lambda) - 2 = \lambda^2 + 3\lambda - 2 \] So the characteristic equation is: \[ \lambda^2 + 3\lambda - 2 = 0 \] \textbf{Step 3: Cayley-Hamilton Theorem}
According to Cayley-Hamilton, matrix \( A \) satisfies: \[ A^2 + 3A - 2I = 0 \quad \text{(Equation 1)} \] \textbf{Step 4: Multiply Equation (1) by \( A \)}
\[ A(A^2 + 3A - 2I) = 0 \Rightarrow A^3 + 3A^2 - 2A = 0 \] \textbf{Step 5: Conclusion}
Therefore, the correct relation is \( \boxed{A^3 + 3A^2 - 2A = 0} \)
View Solution
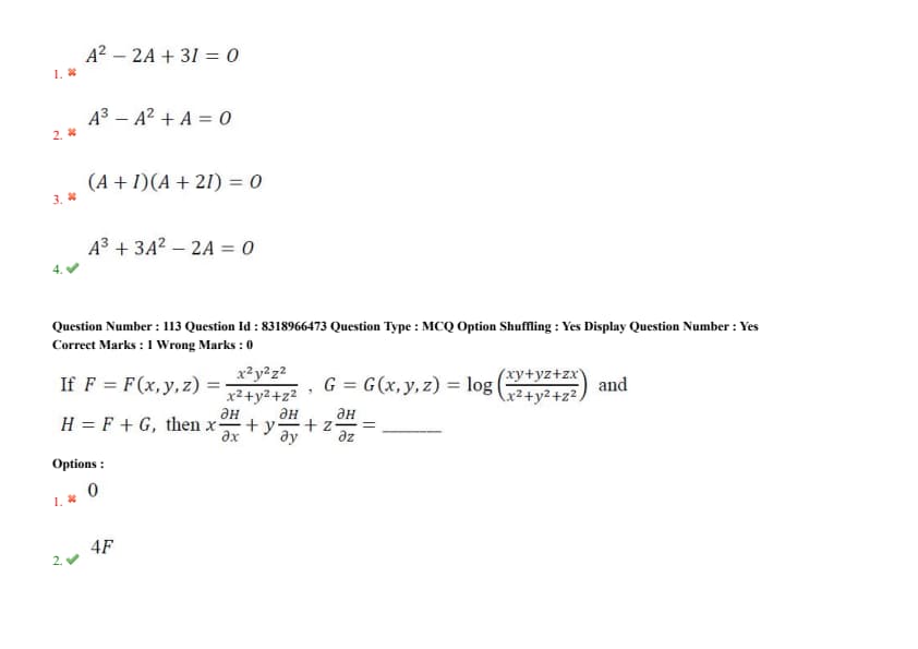
If \( F = F(x, y, z) = \dfrac{x^2 y^2 z^2}{x^2 + y^2 + z^2} \), \quad \( G = G(x, y, z) = \log\left(\dfrac{xy + yz + zx}{x^2 + y^2 + z^2}\right) \), and \( H = F + G \), then \[ x \dfrac{\partial H}{\partial x} + y \dfrac{\partial H}{\partial y} + z \dfrac{\partial H}{\partial z} = ........... \]
\textbf{Step 1: Use the Euler’s theorem for homogeneous functions.}
If a function \( f(x, y, z) \) is homogeneous of degree \( n \), then \[ x \dfrac{\partial f}{\partial x} + y \dfrac{\partial f}{\partial y} + z \dfrac{\partial f}{\partial z} = n f \] \textbf{Step 2: Analyze the function \( F(x, y, z) = \dfrac{x^2 y^2 z^2}{x^2 + y^2 + z^2} \)}
The numerator \( x^2 y^2 z^2 \) is of degree 6, the denominator \( x^2 + y^2 + z^2 \) is degree 2. So, \( F \) is homogeneous of degree \( 6 - 2 = 4 \). Thus, by Euler's theorem: \[ x \dfrac{\partial F}{\partial x} + y \dfrac{\partial F}{\partial y} + z \dfrac{\partial F}{\partial z} = 4F \] \textbf{Step 3: Analyze the function \( G(x, y, z) = \log\left(\dfrac{xy + yz + zx}{x^2 + y^2 + z^2}\right) \)}
Let \( A = \dfrac{xy + yz + zx}{x^2 + y^2 + z^2} \). Note that both numerator and denominator are homogeneous of degree 2, so \( A \) is homogeneous of degree 0. Then \( G = \log(A) \), which is also homogeneous of degree 0. Hence: \[ x \dfrac{\partial G}{\partial x} + y \dfrac{\partial G}{\partial y} + z \dfrac{\partial G}{\partial z} = 0 \] \textbf{Step 4: Add the derivatives for \( H = F + G \)}
\[ x \dfrac{\partial H}{\partial x} + y \dfrac{\partial H}{\partial y} + z \dfrac{\partial H}{\partial z} = x \dfrac{\partial F}{\partial x} + y \dfrac{\partial F}{\partial y} + z \dfrac{\partial F}{\partial z} + 0 = 4F \] \textbf{Final Answer:} \( \boxed{4F} \)
View Solution
The directional derivative of \( f(x, y, z) = xyz \) at the point \( (1, 2, 3) \) in the direction of the vector \( 2\hat{i} + \hat{j} - 2\hat{k} \) is ...........
\textbf{Step 1: Compute the gradient of } \( f(x, y, z) = xyz \):
\[ \nabla f = \left( \dfrac{\partial f}{\partial x}, \dfrac{\partial f}{\partial y}, \dfrac{\partial f}{\partial z} \right) = (yz, xz, xy) \] At the point \( (1, 2, 3) \), we get: \[ \nabla f(1, 2, 3) = (2 \cdot 3, 1 \cdot 3, 1 \cdot 2) = (6, 3, 2) \] \textbf{Step 2: Normalize the direction vector } \( \vec{v} = \langle 2, 1, -2 \rangle \):
\[ |\vec{v}| = \sqrt{2^2 + 1^2 + (-2)^2} = \sqrt{4 + 1 + 4} = \sqrt{9} = 3 \] So the unit vector is \[ \hat{u} = \left\langle \dfrac{2}{3}, \dfrac{1}{3}, \dfrac{-2}{3} \right\rangle \] \textbf{Step 3: Use the formula for directional derivative:}
\[ D_{\hat{u}} f = \nabla f \cdot \hat{u} = (6, 3, 2) \cdot \left( \dfrac{2}{3}, \dfrac{1}{3}, \dfrac{-2}{3} \right) \] \[ = 6 \cdot \dfrac{2}{3} + 3 \cdot \dfrac{1}{3} + 2 \cdot \left( \dfrac{-2}{3} \right) = \dfrac{12}{3} + \dfrac{3}{3} - \dfrac{4}{3} = \dfrac{11}{3} \] \textbf{Final Answer:} \( \boxed{\dfrac{11}{3}} \)
View Solution
If \( \sin x \) is a solution of the differential equation \[ \dfrac{d^4 y}{dx^4} + 2 \dfrac{d^3 y}{dx^3} + 6 \dfrac{d^2 y}{dx^2} + 2 \dfrac{dy}{dx} + 5y = 0, \]
then the general solution is ...........
\textbf{Step 1: Assume the solution is of the form } \( y = e^{mx} \) and substitute into the equation:
\[ m^4 + 2m^3 + 6m^2 + 2m + 5 = 0 \] Use substitution or trial to factor this quartic. It factors into complex roots: \[ m = \pm i, \quad m = -1 \pm 2i \] \textbf{Step 2: General solution using roots:}
- \( m = i \Rightarrow \sin x, \cos x \)
- \( m = -1 \pm 2i \Rightarrow e^{-x} \sin 2x, e^{-x} \cos 2x \)
\textbf{So, the general solution is:}
\[ y = C_1 \sin x + C_2 \cos x + e^{-x}(C_3 \sin 2x + C_4 \cos 2x) \] \textbf{Final Answer:} \( \boxed{y = C_1 \sin x + C_2 \cos x + e^{-x}(C_3 \sin 2x + C_4 \cos 2x)} \)
View Solution
Convert the non-linear equation \( xy' + y = x^4 y^3 \) into a linear one using the transformation \( z = y^{-2} \).
The linear equation is ...........
\textbf{Step 1: Given equation:} \[ xy' + y = x^4 y^3 \] \textbf{Step 2: Divide through by } \( y^3 \): \[ x \cdot \dfrac{y'}{y^3} + \dfrac{1}{y^2} = x^4 \] \textbf{Step 3: Use the substitution } \( z = y^{-2} \Rightarrow \dfrac{dz}{dx} = -2y^{-3} \dfrac{dy}{dx} = -2 \dfrac{y'}{y^3} \)
\textbf{Rewriting:} \[ \dfrac{y'}{y^3} = -\dfrac{1}{2} \dfrac{dz}{dx} \] Substitute into the equation: \[ x \left( -\dfrac{1}{2} \dfrac{dz}{dx} \right) + z = x^4 \Rightarrow -\dfrac{x}{2} \dfrac{dz}{dx} + z = x^4 \] Multiply through by 2: \[ - x \dfrac{dz}{dx} + 2z = 2x^4 \Rightarrow \dfrac{dz}{dx} - \dfrac{2z}{x} = -2x^3 \] \textbf{Final Answer:} \( \boxed{\dfrac{dz}{dx} - \dfrac{2z}{x} = -2x^3} \)
View Solution
The complex-valued function \( f(z) = iz - |z|^2 \) is analytic at ...........
View Solution
If \( X \) is a continuous random variable with the probability density function \[ f(x) = \begin{cases} K(1 - x^3), & if 0 < x < 1
0, & otherwise \end{cases} \]
Then, the value of \( K \) is ..........
View Solution
The values of a function \( f(x) \) at discrete values of \( x \) are given in the following table:
\[ \begin{array}{|c|c|c|c|c|c|} \hline x & 0 & 1 & 2 & 3 & 4
\hline f(x) & 1 & 4 & 8 & 10 & 15
\hline \end{array} \]
Using Trapezoidal rule, the value of \( \int_0^4 f(x)\,dx \) is ...........
The probability distribution of a random variable \( X \) is given below:
\[ \begin{array}{|c|c|c|c|c|c|} \hline X = x & 10 & 20 & 30 & 40 & 50
\hline P(X = x) & k & 2k & 3k & 4k & 5k
\hline \end{array} \]
Then, \( P(X=50) - \frac{P(X<30)}{P(X>20)} \) = ...........







Comments