AP PGECET Question Paper 2025 for Electrical Engineering is available for download here with answer key and solution PDF. AP PGECET 2025 was conducted from June 6 to June 8 in two shifts.
AP PGECET Question Paper 2025 consists of 120 MCQ-based questions in total carrying 1 mark each to be attempted in the duration of 2 hours.

AP PGECET Electrical Engineering Question Paper

AP PGECET​​ Question Paper 2025 with Solution PDF
Download PDF Check Solution
AP PGECET Question Paper

Question 1:

For a two-port network to be reciprocal, it is necessary that ___.

  • (1) \(z_{11} = z_{22}\) and \(y_{21} = y_{12}\)
  • (2) \(z_{11} = z_{22}\) and \(AD - BC = 0\)
  • (3) \(h_{11} = -h_{12}\) and \(AD - BC = 0\)
  • (4) \(y_{12} = y_{21}\) and \(h_{21} = -h_{12}\)

Question 2:

A DC voltage \(V\) is applied at time \(t = 0\) to a series circuit consisting of resistor \(R\) and capacitor \(C\). The current in the circuit at time \(t\) is___.

  • (1) \(\frac{V}{R} e^{-t/RC}\)
  • (2) \(\frac{V}{R} e^{t/RC}\)
  • (3) \(\frac{V}{R} (1 - e^{-t/RC})\)
  • (4) \(\frac{V}{R} (1 - e^{t/RC})\)

Question 3:

What is the value of total electric flux coming out of a closed surface?

  • (1) Zero
  • (2) Equal to volume charge density
  • (3) Equal to the total charge enclosed by the surface
  • (4) Equal to the surface charge density

Question 4:

The impedance of a circuit is 10 ohms. If the inductive susceptance is 1 S, then inductive reactance of the circuit is___.

  • (1) 10 \(\Omega\)
  • (2) 1 \(\Omega\)
  • (3) 100 \(\Omega\)
  • (4) 11 \(\Omega\)

Question 5:

The system \(y(t) = tx(t) + 4\) is___.

  • (1) Non-linear, time-varying and unstable
  • (2) Linear, time-varying and unstable
  • (3) Non-linear, time-invariant and unstable
  • (4) Non-linear, time-varying and stable

Question 6:

A 10 V range Voltmeter is rated for 50 \(\mu\)A full-scale current. The total resistance of the voltmeter is___.

  • (1) 100 k\(\Omega\)
  • (2) 200 k\(\Omega\)
  • (3) 300 k\(\Omega\)
  • (4) 400 k\(\Omega\)

Question 7:

The \(Z_{22}\) - Parameter of a Two-port network is known as _________.

  • (1) open circuit input impedance
  • (2) short circuit input impedance
  • (3) open circuit output impedance
  • (4) short circuit transfer impedance

Question 8:

The power factor at resonance in a parallel R-L-C circuit is____.

  • (1) zero
  • (2) 0.8 lagging
  • (3) 0.8 leading
  • (4) unity

Question 9:

In an AC circuit the voltage applied is \(v = 230\sin(\omega t - 30^\circ)\) volts. If the current flowing is \(i = 47\sin(\omega t + 10^\circ)\) amps, then the current _____.

  • (1) lags the voltage by \(40^\circ\)
  • (2) lags the voltage by \(20^\circ\)
  • (3) leads the voltage by \(20^\circ\)
  • (4) leads the voltage by \(40^\circ\)

Question 10:

If \(X(z) = \frac{1}{1 - z^{-1}}\) with \(|z| > 1\), then what is the corresponding \(x(n)\)?

  • (1) \(e^n\)
  • (2) \(e^{n^2}\)
  • (3) \(u(n)\)
  • (4) \(\delta(n)\)

Question 11:

The input-output relationship of a linear system is given by ____.

  • (1) \(y = a_0 x^2 + a_1 x + a_0\)
  • (2) \(y = a_1 x^2 + a_0\)
  • (3) \(y = a_1 x_1 + a_2 x_2\)
  • (4) \(y = a_0\)

Question 12:

With a negative feedback, the system gain and stability _____ respectively.

  • (1) decreases, increases
  • (2) increases, decreases
  • (3) increases, increases
  • (4) decreases, decreases

Question 13:

In the signal flow graph shown below, the transfer function is ____.


  • (1) 3.75
  • (2) -3
  • (3) 3
  • (4) -3.75

Question 14:

The steady state error due to a ramp input for a type two system is equal to ____.

  • (1) zero
  • (2) infinite
  • (3) non-zero number
  • (4) constant

Question 15:

Frequency domain analysis is preferred when dealing with systems having input as ____.

  • (1) ramp and parabolic
  • (2) sinusoidal with fixed frequency
  • (3) sinusoidal with variable frequency and amplitude
  • (4) non-sinusoidal with lagging power factor

Question 16:

The number of roots of \(s^3 + 5s^2 + 7s + 3 = 0\) in the right half of the s-plane is ____.

  • (1) zero
  • (2) one
  • (3) two
  • (4) three

Question 17:

The transfer function of a phase-lead compensator is given by: \(\frac{1 + 3Ts}{1 + Ts}\), \(T > 0\). The maximum phase shift provided is ____.

  • (1) \(90^\circ\)
  • (2) \(60^\circ\)
  • (3) \(45^\circ\)
  • (4) \(30^\circ\)

Question 18:

The presence of transportation lag in the forward path of a closed-loop control system _______.

  • (1) decreases margin of stability
  • (2) increases margin of stability
  • (3) is zero
  • (4) maintains margin of stability

Question 19:

The phase cross-over frequency of the transfer function \(G(s) = \frac{100}{(s+1)^2}\) in rad/s is ____.

  • (1) \(\sqrt{3}\)
  • (2) \(\frac{1}{\sqrt{3}}\)
  • (3) 3
  • (4) \(3\sqrt{3}\)

Question 20:

The gain at the breakaway point of the root locus of a unity feedback system with open-loop transfer function \(G(s) = \frac{K}{(s-1)(s-4)}\) is ____.

  • (1) 1
  • (2) 2
  • (3) 5
  • (4) 9

Question 21:

The voltage regulation of alternator at lagging power factor will be ____.

  • (1) positive and more than regulation at unity power factor
  • (2) less than at unity power factor
  • (3) remain unchanged
  • (4) negative and less than regulation at unity power factor

Question 22:

The only disadvantage of field control method for controlling the speed of a DC shunt motor is that it ____.

  • (1) gives speeds lower than the normal speed
  • (2) is wasteful
  • (3) needs a large rheostat
  • (4) adversely affects commutation

Question 23:

The purpose of connecting resistance in the rotor circuit of slip ring induction motor is ____.

  • (1) to increase running torque
  • (2) to increase starting torque
  • (3) to achieve maximum running torque
  • (4) to increase motor efficiency

Question 24:

When pull-out torque occurs in a synchronous motor, the poles of the rotor are ____.

  • (1) mid-way between N and S poles of stator
  • (2) coincident with stator pole
  • (3) \(45^\circ\) (electrical) behind stator poles
  • (4) \(45^\circ\) (electrical) ahead stator poles

Question 25:

A transformer has a core loss of 64 W and copper loss of 144 W. When it is carrying 20% over load current, the load at which this transformer will operate at the maximum efficiency is ____.

  • (1) 80 %
  • (2) 66 %
  • (3) 120 %
  • (4) 44 %

Question 26:

Crawling of a motor results from_____.

  • (1) High load at the time of starting
  • (2) Low supply voltage
  • (3) Harmonics developed in the motor currents
  • (4) Short circuit condition in induction motor

Question 27:

An induction motor will develop maximum torque when the phase difference between the stator flux and the rotor current is____.

  • (1) \(90^\circ\) Electrical
  • (2) \(45^\circ\) Electrical
  • (3) \(30^\circ\) Electrical
  • (4) \(0^\circ\) Electrical

Question 28:

A transformer operates most efficiently at \( \frac{3}{4} \) full-load. Its iron loss (\(P_i\)) and full-load copper loss (\(P_c\)) are related as ____.

  • (1) \(P_i/P_c = 4/3\)
  • (2) \(P_i/P_c = 16/9\)
  • (3) \(P_i/P_c = 3/4\)
  • (4) \(P_i/P_c = 9/16\)

Question 29:

Two transformers of identical voltages but of different capacities are operating in parallel. For satisfactory load sharing ____.

  • (1) impedances must be equal
  • (2) per-unit impedances must be equal
  • (3) per-unit impedances and X/R ratios must be equal
  • (4) impedances and X/R ratios must be equal

Question 30:

Dummy coils may be needed in a DC wave winding ____.

  • (1) to achieve mechanical balance of armature
  • (2) to achieve electrical balance of parallel paths
  • (3) to avoid use of equalizer rings
  • (4) to achieve good commutation

Question 31:

The ‘Equal Area Criterion’ for the determination of transient stability of the synchronous machine connected to an infinite bus ______.

  • (1) ignores line as well as synchronous machine resistances and shunt capacitances
  • (2) assume accelerating power acting on the rotor as constant
  • (3) ignores the effect of voltage regulator and governor but considers the inherent damping present in the machine
  • (4) takes into consideration the possibility of machine losing synchronism after it has survived during the first swing

Question 32:

The positive, negative, and zero sequence impedance of a solidly grounded system under steady state condition always follow the relation ______.

  • (1) \( Z_1 > Z_2 > Z_0 \)
  • (2) \( Z_1 < Z_2 < Z_0 \)
  • (3) \( Z_0 < Z_1 > Z_2 \)
  • (4) \( Z_0 = Z_1 Z_2 \)

Question 33:

A relay used on long transmission lines is ______.

  • (1) Mho’s relay
  • (2) Reactance relay
  • (3) Impedance relay
  • (4) No relay is used

Question 34:

If the reference bus is changed in two load flow runs with same system data and power obtained for reference bus taken as specified P and Q in the later run: ____.

  • (1) The system losses will be unchanged but complex bus voltages will change
  • (2) The system losses will change but complex bus voltages remain unchanged
  • (3) The system losses as well as complex bus voltage will change
  • (4) The system losses as well as complex bus voltage will be unchanged

Question 35:

One of the main causes of deterioration of cable dielectric is ____.

  • (1) formation of voids
  • (2) cable capacitance
  • (3) formation of voids and cable capacitance
  • (4) cable power factor

Question 36:

Suspension type insulators are used for voltages beyond ____.

  • (1) 132 kV
  • (2) 33 kV
  • (3) 400 kV
  • (4) 11 kV

Question 37:

Which of the following is commercially used in gas blast Circuit breakers?

  • (1) Hydrogen
  • (2) Nitrogen
  • (3) SF\textsubscript{6}
  • (4) Both hydrogen and SF\textsubscript{6}

Question 38:

The steady state stability limit of a synchronous generator can be increased by _____.

  • (1) an increase in its reactance
  • (2) an increase in the excitation of the machine
  • (3) a decrease in the moment of inertia of the machine
  • (4) an increase in the moment of inertia of the machine

Question 39:

The bus admittance matrix of the network shown in the given figure, for which the marked parameters are per unit impedance, is _____.

  • (1) \( \begin{bmatrix} 0.3 & -0.2
    -0.2 & 0.2 \end{bmatrix}^{-1} \)
  • (2) \( \begin{bmatrix} 0.3 & 0.2
    0.2 & 0.2 \end{bmatrix} \)
  • (3) \( \begin{bmatrix} 0.3 & -0.2
    -0.2 & 0.2 \end{bmatrix} \)
  • (4) \( \begin{bmatrix} 15 & -5
    -5 & 5 \end{bmatrix} \)

Question 40:

When bundle conductors are used in place of single conductors, the effective inductance and capacitance will respectively _____.

  • (1) increase and decrease
  • (2) decrease and increase
  • (3) decrease and remain unaffected
  • (4) remain unaffected and increase

Question 41:

A Wheatstone bridge requires a change of 6 ohms in the unknown arm of the bridge to produce a change in deflection of 3 mm of the galvanometer. The sensitivity of the instruments is ______.

  • (1) 0.1 ohm/mm
  • (2) 1 ohm/mm
  • (3) 0.5 ohm/mm
  • (4) 2.0 ohm/mm

Question 42:

Phantom loading for testing of energy meter is used _____.

  • (1) to isolate the current and potential circuit
  • (2) to reduce power loss during testing
  • (3) for meter power loss during testing
  • (4) to test meter having a large current rating for which loads may not be available

Question 43:

Which one of the following is the main cause of creeping in the induction type energy meters?

  • (1) Friction compensation
  • (2) Lag/lead compensation
  • (3) Overload compensation
  • (4) Braking torque producing system

Question 44:

Induction type single phase energy meter is ____________.

  • (1) a VA meter
  • (2) true watt-hour meter
  • (3) an ampere-hour meter
  • (4) wattmeter

Question 45:

An ammeter has a current range of 0–5 A, and its internal resistance is 0.2 Ω. In order to change the range to 0–25 A, we need to add a resistance of __________.

  • (1) 0.8 Ω in series with the meter
  • (2) 0.05 Ω in parallel with the meter
  • (3) 1.0 Ω in series with the meter
  • (4) 0.04 Ω in parallel with the meter

Question 46:

The material most preferred for control spring is __________.

  • (1) german silver
  • (2) platinum silver
  • (3) silicon bronze
  • (4) phosphor bronze

Question 47:

The ratio error of a CT is due to __________.

  • (1) power factor
  • (2) supply voltage fluctuations
  • (3) exciting current
  • (4) negative component of current in the secondary

Question 48:

If the fault current is 2000 A, the relay setting is 50% and the CT ratio is 400/5, then the plug setting multiplier will be __________.

  • (1) 25 A
  • (2) 15 A
  • (3) 40 A
  • (4) 50 A

Question 49:

NAND and NOR gates are called __________.

  • (1) Bidirectional gates
  • (2) Unilateral gates
  • (3) Universal gates
  • (4) High level logic gates

Question 50:

Ohm’s law relates the current density \( J \) with field intensity \( E \) as ________.

  • (1) \( J = \sigma E \)
  • (2) \( J = \frac{E}{\sigma} \)
  • (3) \( J = \rho E \)
  • (4) \( J = \sigma E^2 \)

Question 51:

The logic circuit given below converts a binary code \(Y_1, Y_2, Y_3\) into _________.

\includegraphics[scale=0.9{Screenshot 2025-06-23 111935.png

  • (1) Excess-3 code
  • (2) Gray code
  • (3) BCD code
  • (4) Hamming code

Question 52:

If the accumulator of an Intel 8085A microprocessor contains 37 H and the previous operation has set the carry flag, the instruction ACI 56 H will result in ______.

  • (1) 8E H
  • (2) 94 H
  • (3) 7E H
  • (4) 84 H

Question 53:

Two binary signals ‘a’ and ‘b’ are to be compared. When two signals are equal, then output expression is _______.

  • (1) \( a \cdot \bar{b} + \bar{a} \cdot b \)
  • (2) \( ab + \bar{a}\bar{b} \)
  • (3) \( \bar{a}b \)
  • (4) \( ab \)

Question 54:

Turn-on time of an SCR can be reduced by using a _______.

  • (1) rectangular pulse of high amplitude and narrow width
  • (2) rectangular pulse of low amplitude and wide width
  • (3) triangular pulse
  • (4) trapezoidal pulse

Question 55:

When the input to Q is a 1 level, the frequency of oscillations of the timer circuit is ________.

  • (1) \( \frac{1.44}{(R_A + 2R_B)C} \)
  • (2) \( \frac{1.44}{(R_A + R_B)C} \)
  • (3) \( \frac{1.44}{(2R_A + R_B)C} \)
  • (4) \( \frac{1.44}{(R_B + 2R_A)C} \)

Question 56:

A discrete-time signal \( x[n] = \sin(\pi^2 n) \), \( n \) being an integer, is __________.

  • (1) periodic with period \( \pi \)
  • (2) periodic with period \( \pi^2 \)
  • (3) periodic with period \( \pi/2 \)
  • (4) not periodic

Question 57:

If \( R_1 \) is the region of convergence of \( x(n) \) and \( R_2 \) is the region of convergence of \( y(n) \), then the region of convergence of \( x(n) * y(n) \) is ________.

  • (1) \( R_1 + R_2 \)
  • (2) \( R_1 - R_2 \)
  • (3) \( R_1 \cup R_2 \)
  • (4) \( R_1 \cap R_2 \)

Question 58:

The discrete system \( y[n] = x[n-3] - 4x[n-7] \) is a ________.

  • (1) Dynamic system
  • (2) Time varying system
  • (3) Memory-less system
  • (4) Non-linear system

Question 59:

Determine the fundamental period of the signal \( \cos\left(\frac{\pi}{4}t\right) + \sin\left(\frac{\pi}{3}t\right) \).

  • (1) 12
  • (2) 13
  • (3) 24, periodic
  • (4) 24\( t \), non-periodic

Question 60:

A 100 km long, three phase, 110 V, 50 Hz overhead transmission line has three conductors each diameter 1.5 cm. The conductors are spaced 2 m at the corners of equilateral triangle. The capacitance of the line is _______.

  • (1) \( 1 \times 10^{-3} \, \mu F \)
  • (2) 2.29 F
  • (3) 1.5 F
  • (4) 1.5 \( \mu F \)

Question 61:

A transformer has no-load voltage of 220 V and full-load voltage of 210 V. Find voltage regulation.

  • (1) 4.76%
  • (2) 2.04%
  • (3) 3.15%
  • (4) 1.06%

Question 62:

When the firing angle \( \alpha \) of a single phase, fully controlled rectifier feeding a constant DC current into a load is \( 30^\circ \), the displacement power factor of the rectifier is _____.

  • (1) 1
  • (2) 0.5
  • (3) \( \frac{1}{\sqrt{3}} \)
  • (4) \( \frac{2}{\sqrt{3}} \)

Question 63:

A DC chopper operates on 230 V DC and frequency of 400 Hz, feeds an R-L load. If the output voltage of chopper is 150 V, the ON time of the chopper is _______.

  • (1) 3.84 msec
  • (2) 2.5 msec
  • (3) 1.63 msec
  • (4) 0.65 msec

Question 64:

Which of the following signals are periodic?
\[ x(t) = \sin t + \cos 2\pi t
y(t) = \sin 2\pi t + \sin 5t
z(t) = \sin t + \cos \pi t \]

  • (1) \( x(t) \) and \( z(t) \)
  • (2) \( x(t) \) and \( y(t) \)
  • (3) \( y(t) \) and \( z(t) \)
  • (4) only \( y(t) \)

Question 65:

The initial value of \( x[n] \) is _____, if \[ X(z) = \frac{3z^2}{(z+3)(z-3)} \]

  • (1) 3
  • (2) 6
  • (3) \( \infty \)
  • (4) 0

Question 66:

In a three-phase full wave AC to DC converter, the ratio of output ripple frequency to the supply voltage frequency is _____.

  • (1) 2
  • (2) 3
  • (3) 6
  • (4) 12

Question 67:

The main advantage of IGBT over MOSFET is _____.

  • (1) Higher input impedance
  • (2) Faster switching
  • (3) Higher voltage handling capability
  • (4) Lower cost

Question 68:

A single-phase full bridge inverter is connected to a load of 24 \( \Omega \). The DC input voltage is 48 V. What is the rms output voltage at fundamental frequency?

  • (1) \( \frac{4 \times 48}{\pi} \, V \)
  • (2) \( \frac{2 \times 48}{\sqrt{2}} \, V \)
  • (3) \( \frac{4 \times 48}{2\pi} \, V \)
  • (4) \( \frac{2 \times 48}{\pi} \, V \)

Question 69:

Variable frequency drives (VFDs) are used in __________.

  • (1) DC motor control
  • (2) Induction motor control
  • (3) Stepper motor control
  • (4) Universal motor control

Question 70:

Which of the following is NOT a part of the typical speed-time curve for train movement?

  • (1) Acceleration
  • (2) Coasting
  • (3) Constant braking
  • (4) Free fall

Question 71:

The maximum reverse bias voltage that can be applied to a reverse biased PN junction diode without damaging the junction is called ________.

  • (1) Breakdown Voltage
  • (2) Peak Inverse Voltage
  • (3) Reverse saturation voltage
  • (4) Bias voltage

Question 72:

A transistor has \( I_E = 10\, mA \) and \( h_{FE} = 0.98 \). The base and collector currents respectively are _____.

  • (1) 9.8 mA and 0.2 mA
  • (2) 0.2 mA and 9.8 mA
  • (3) 10 mA and 0.2 mA
  • (4) 10 mA and 2 mA

Question 73:

Fourier transform of \( a_1 f_1(t) + a_2 f_2(t) \) is ______.

  • (1) \( a_1 F_1(\omega) + a_2 F_2(\omega) \)
  • (2) \( a_1 F_1(\omega) - a_2 F_2(\omega) \)
  • (3) \( a_1 F_1^2(\omega) + a_2 F_2^2(\omega) \)
  • (4) \( a_1 F_1(\omega) * a_2 F_2(\omega) \)

Question 74:

Fourier transform of \( f(t) = 1 \) is ______.

  • (1) \( 2\pi\delta(\omega) \)
  • (2) \( \pi\delta(\omega) \)
  • (3) \( 3\pi\delta(\omega) \)
  • (4) \( n\pi\delta(\omega) \)

Question 75:

A long two-wire line composed of solid ground conductors is 0.5 cm and the distance between their centres is 2 m. If this distance is doubled, then the inductance per unit length _____.

  • (1) Halves
  • (2) Increases but does not double
  • (3) Doubles
  • (4) Decreases but does not halve

Question 76:

Loading effect is primarily caused by instruments having _____.

  • (1) High resistance
  • (2) High sensitivity
  • (3) Low sensitivity
  • (4) High range

Question 77:

Which of the following systems is time invariant?

  • (1) \( y(t) = x(2t) + x(-t) \)
  • (2) \( y(t) = x(t) + x(1 - t) \)
  • (3) \( y(t) = -x(t) + x(1 - t) \)
  • (4) \( y(t) = x(t) + x(t - 1) \)

Question 78:

For the figure below, \( x(t) \) and \( y(t) \) are related as _____.

  • (1) \( y(t) = x(4(t + 1)) \)
  • (2) \( y(t) = x((3t - 1)) \)
  • (3) \( y(t) = 2x(t + 1) \)
  • (4) \( y(t) = x(2(t + 1)) \)

Question 79:

The period of the discrete-time signal, \( \sin\left( \frac{6\pi n}{14} \right) \), is _____.

  • (1) 7
  • (2) 14
  • (3) 28
  • (4) 42

Question 80:

In an Anderson bridge, the unknown inductance is measured in terms of _____.

  • (1) known inductance and resistance
  • (2) known capacitance and resistance
  • (3) known resistance
  • (4) known inductance

Question 81:

In an inverting RC integrator using an Op-amp, \( RC = 1s, \, V_i = 5V \), then \( V_o = \_\_\_\_\_ \)

  • (1) \( 10t \)
  • (2) \( -5t \)
  • (3) \( 5t \)
  • (4) \( 15t \)

Question 82:

The DC and RMS components of currents in a half-wave rectifier are given by the relations?

  • (1) \( \frac{I_m}{2} \) and \( \frac{I_m}{\pi} \)
  • (2) \( \frac{I_m}{\pi} \) and \( \frac{I_m}{2} \)
  • (3) \( \frac{2I_m}{\pi} \) and \( \frac{2I_m}{2} \)
  • (4) \( \frac{I_m}{2\pi} \) and \( \frac{2I_m}{2} \)

Question 83:

Which method is preferred for solving the power flow problem in small to medium-sized power systems?

  • (1) Newton-Raphson method
  • (2) Gauss-Seidel method
  • (3) Decoupled power flow method
  • (4) Backward/Forward Sweep method

Question 84:

Penalty factors in economic dispatch with losses are used to:

  • (1) Penalize generators for exceeding reactive power limits
  • (2) Account for the economic impact of power losses
  • (3) Ensure fair distribution of generation among units
  • (4) Minimize the total number of generators in operation

Question 85:

The advantage of hydro-electric power station over thermal power station is:

  • (1) The initial cost of hydro-electric power station is low
  • (2) The operation cost of hydro-electric power station is low
  • (3) Hydro-electric power station can supply the power throughout the year
  • (4) Hydro-electric station can be constructed at the place where the energy is required.

Question 86:

For economic dispatch that neglects both line losses and generation limits _____.

  • (1) total generation is equal to the total demand.
  • (2) it is the most complicated economic dispatch problem.
  • (3) all the generators will share the load equally.
  • (4) all plants must operate at equal incremental fuel cost.

Question 87:

A 50 Hz alternator is rated 500 MVA, 20 kV with \( X_d = 1.0 \) per unit and \( X''_d = 0.2 \) per unit. It supplies a purely resistive load of 400 MW at 20 kV. The load is connected directly across the generator terminals when a symmetrical fault occurs at the load terminals. The initial rms current in the generator is per unit is _____.

  • (1) 7.22
  • (2) 6.4
  • (3) 3.22
  • (4) 5.1

Question 88:

A balanced delta connected load of \( (8 + j6) \Omega \) per phase is connected to a 400 V, 50 Hz, three-phase supply lines. If the input power factor is to be improved to 0.9 by connecting a bank of star-connected capacitors, the required kVAR of the bank is _____.

  • (1) 42.7
  • (2) 10.2
  • (3) 28.8
  • (4) 38.4

Question 89:

The bus impedance matrix of a 4-bus power system is given. A branch having an impedance of \( j0.2 \Omega \) is connected between bus 2 and the reference. Then the values of \( Z_{22,new} \) and \( Z_{23,new} \) of the bus impedance matrix of the modified network are respectively _____.

  • (1) \( j0.5408 \, \Omega \) and \( j0.4586 \, \Omega \)
  • (2) \( j0.1260 \, \Omega \) and \( j0.0956 \, \Omega \)
  • (3) \( j0.5408 \, \Omega \) and \( j0.0956 \, \Omega \)
  • (4) \( j0.1260 \, \Omega \) and \( j0.1630 \, \Omega \)

Question 90:

The rated voltage of a three-phase power system is given as _____.

  • (1) rms phase voltage
  • (2) peak phase voltage
  • (3) rms line to line voltage
  • (4) peak line to line voltage

Question 91:

The angle \( \delta \) in the swing equation of a synchronous generator is the:

  • (1) angle between stator voltage and current
  • (2) angular displacement of the rotor with respect to the stator
  • (3) angular displacement of the stator MMF with respect to a synchronously rotating axis
  • (4) angular displacement of an axis fixed to the rotor with respect to a synchronously rotating axis

Question 92:

The time duration of coasting in a speed-time curve refers to the period when _____.

  • (1) Train is accelerating
  • (2) Train is running at constant speed
  • (3) No power is supplied, and speed reduces gradually
  • (4) Brakes are applied

Question 93:

Specific energy consumption is defined as energy consumed per unit _____.

  • (1) Distance
  • (2) Power
  • (3) Tonne-km
  • (4) Speed

Question 94:

Tractive effort is defined as _____.

  • (1) Force applied by brakes
  • (2) Resistance offered by wind
  • (3) Pull developed by locomotive at the wheel rim
  • (4) Power developed in traction moto

Question 95:

The function of a gradient in train movement is to _____.

  • (1) Increase braking force
  • (2) Increase rolling resistance
  • (3) Reduce tractive effort requirement
  • (4) Add or subtract from train resistance

Question 96:

Which semiconductor power device out of the following is not a current triggered device?

  • (1) Thyristor
  • (2) GTO
  • (3) TRAIC
  • (4) MOSFET

Question 97:

In controlled rectifiers, the nature of load current, i.e. whether load current is continuous or discontinuous:

  • (1) does not depend on type of load and firing angle delay
  • (2) depends both on the type of load and firing angle delay
  • (3) depends only on the type of load
  • (4) depends only on the firing angle delay

Question 98:

In a JK flip-flop the J input is connected to 0 and its K input is connected to output Q. A clock pulse is fed to the clock input. The flip-flop will now:

  • (1) Change its state for each clock input
  • (2) Goes to state 1 and remains at 1
  • (3) Goes to state 0 and remains at 0
  • (4) Retains the previous state

Question 99:

Calculate the conversion time of a 12-bit counter type ADC with 1 MHz clock frequency to convert a full scale input?

  • (1) 4.095 µs
  • (2) 4.095 ms
  • (3) 4.095 s
  • (4) 4.095 ns

Question 100:

Which one of the following is not a vectored interrupt?

  • (1) TRAP
  • (2) INTR
  • (3) RST 7.5
  • (4) RST 3

Question 101:

Consider a three-core, three-phase, 50 Hz, 11 kV cable whose conductors are denoted as R, Y and B in the given figure. The inter-phase capacitance (C1) between each pair of conductors is 0.2 \(\mu\)F and the capacitance (C2) between each line conductor and the sheath is 0.4 \(\mu\)F.

  • (1) 2.0A
  • (2) 2.4A
  • (3) 2.7A
  • (4) 3.5A

Question 102:

The line impedance of a three-phase transmission line is given by
\[ Z = (10 + j5)\Omega. \]
For 100 MVA power delivered at 132 kV, the transmission loss is _____.

  • (1) 10 MW
  • (2) 5.74 MW
  • (3) 11.5 MW
  • (4) 1 MW

Question 103:

The interrupting time of a circuit breaker is the period between the instant of ____.

  • (1) initiation of short circuit and the arc extinction on an opening operation.
  • (2) energising of the trip circuit and the arc extinction on an opening operation.
  • (3) initiation of short circuit and the parting of primary arc contacts.
  • (4) energising of the trip circuit and the parting of primary arc contacts

Question 104:

Bundled conductors are mainly used in high voltage overhead transmission lines to ____.

  • (1) reduce transmission line losses.
  • (2) increase mechanical strength of the line.
  • (3) reduce corona.
  • (4) reduce sag

Question 105:

The ratio of maximum displacement deviation to full scale deviation of the instrument is called ____.

  • (1) static sensitivity
  • (2) dynamic deviation
  • (3) linearity
  • (4) precision or accuracy

Question 106:

Standard resistor is made from

  • (1) platinum
  • (2) manganin
  • (3) Silver
  • (4) nichrome

Question 107:

If a system transfer function has some poles lying on the imaginary axis, it is ____.

  • (1) Unconditionally stable
  • (2) Conditionally stable
  • (3) Unstable
  • (4) Marginally Stable

Question 108:

A slide potentiometer has 5 wires 2m each. With the help of a standard voltage source of 1.234 V, it is standardized by keeping the jockey at 123.4 cm. If resistance of potentiometer wire is 10000\(\Omega\), then the value of working current will be ____.

  • (1) 1 mA
  • (2) 0.5 mA
  • (3) 0.1 mA
  • (4) 10 mA

Question 109:

In a \(\Delta\)–\(Y\) transformer, the phase shift between primary and secondary is ____.

  • (1) 90\(^\circ\)
  • (2) 60\(^\circ\)
  • (3) 0\(^\circ\)
  • (4) 30\(^\circ\)

Question 110:

Find the current through 3 ohm resistor using superposition theorem

  • (1) 5.625 A
  • (2) 5.725 A
  • (3) 5.825 A
  • (4) 6.025 A

Question 111:

Determine the value of \(\lambda\) and \(\mu\) for which the system of equations
\(x + 2y + z = 6\),
\(x + 4y + 3z = 10\),
\(2x + 4y + \lambda z = \mu\)

has a unique solution.

  • (1) \(\lambda = 2\), \(\mu = 12\)
  • (2) \(\lambda = 2\), \(\mu \neq 12\)
  • (3) \(\lambda \neq 2\), \(\mu \neq 12\)
  • (4) for any \(\lambda\) and any \(\mu\)

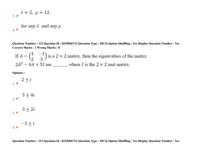
Question 112:

If \(A = \begin{pmatrix} 1 & -1
2 & 3 \end{pmatrix}\) is a \(2 \times 2\) matrix, then the eigenvalues of the matrix \(2A^2 - 4A + 5I\) are ______, where \(I\) is the \(2 \times 2\) unit matrix.

  • (1) \(2 \pm i\)
  • (2) \(3 \pm 4i\)
  • (3) \(3 \pm 2i\)
  • (4) \(-3 \pm i\)

Question 113:

The value of \(\displaystyle \int_{0}^{\infty} e^{-x^2} \, dx\) is

  • (1) \(\dfrac{1}{3}\Gamma\left(\dfrac{3}{2}\right)\)
  • (2) \(\dfrac{1}{2}\Gamma\left(\dfrac{1}{2}\right)\)
  • (3) \(\dfrac{1}{2}\Gamma\left(\dfrac{3}{2}\right)\)
  • (4) \(\Gamma\left(\dfrac{1}{5}\right)\)

Question 114:

In what direction from the point \((2, 1, -1)\) is the directional derivative of \(\varphi = xy^2z\) a maximum?

  • (1) \(\vec{i} + 4\vec{j} + \vec{k}\)
  • (2) \(-\vec{i} - 4\vec{j} + 2\vec{k}\)
  • (3) \(\vec{i} + 4\vec{j} - 2\vec{k}\)
  • (4) \(\vec{i} + 4\vec{j} - \vec{k}\)

Question 115:

Let \(X\) be an exponential random variable with mean parameter one. Then the conditional probability \(P(X > 10 | X > 5)\) is equal to

  • (1) \(1 - e^{-5/2}\)
  • (2) \(\dfrac{5}{e^2}\)
  • (3) \(1 - e^{-5}\)
  • (4) \(e^{-5}\)

Question 116:

The given differential equation
\((x y^2 + n x^2 y) dx + (x^3 + x^2 y) dy = 0\) is exact when \(n =\)

  • (1) \(0\)
  • (2) \(1\)
  • (3) \(2\)
  • (4) \(3\)

Question 117:

If \(I = \frac{1}{2\pi i} \oint \frac{z e^{1/z}}{z} \, dz\) in the unit circle \(|z| = 1\), then:

  • (1) \(I = 2\)
  • (2) \(I = 1/2\)
  • (3) \(I = 1\)
  • (4) \(I = 1/3\)

Question 118:

The solution of the differential equation
\[ (D^3 - 5D^2 + 7D - 3)y = e^{-2x} \]
is:

  • (1) \(y = (c_1 + c_2 x)e^{-x} + c_3 e^{3x} - \dfrac{1}{45}e^{-2x}\)
  • (2) \(y = (c_1 + c_2 x)e^{x} + c_3 e^{-3x} + \dfrac{1}{45}e^{-2x}\)
  • (3) \(y = (c_1 + c_2 x)e^{-x} + c_3 e^{-3x} - \dfrac{1}{45}e^{-2x}\)
  • (4) \(y = (c_1 + c_2 x)e^{x} + c_3 e^{3x} - \dfrac{1}{45}e^{-2x}\)

Question 119:

The number of accidents occurring in AU region in a month follows Poisson distribution with mean \(\lambda = 5\). The probability of less than two accidents in a randomly selected month is ______

  • (1) \(\dfrac{5}{e^5}\)
  • (2) \(\dfrac{6}{e^5}\)
  • (3) \(\dfrac{35}{2e^5}\)
  • (4) \(\dfrac{37}{2e^5}\)

Question 120:

Using Newton-Raphson method to solve \(f(x) = e^{-x} - x\) with initial guess \(x_0 = 0\), find the next iteration.

  • (1) 0.56
  • (2) -0.50
  • (3) 0.50
  • (4) -0.56