AP PGECET Question Paper 2025 for Electronics And Communication Engineering is available for download here with answer key and solution PDF. AP PGECET 2025 was conducted from June 6 to June 8 in two shifts.
AP PGECET Question Paper 2025 consists of 120 MCQ-based questions in total carrying 1 mark each to be attempted in the duration of 2 hours.

AP PGECET Electronics And Communication Engineering Question Paper

AP PGECET​​ Question Paper 2025 with Solution PDF
Download PDF Check Solution
AP PGECET​​ Question Paper 2025 with Solution PDF


Question 1:

In the given circuit a charge of 900 C is delivered to the 100 V source in a minute. The value of \(V_1\) must be___.

  • (1) 240 V
  • (2) 320 V
  • (3) 120 V
  • (4) 60 V

Question 2:

Find the current \(i_b\) in given circuit below.

  • (1) 0.5 A
  • (2) 0.6 A
  • (3) 0.4 A
  • (4) 0.3 A

Question 3:

Find the values of \(V_{Th}\) \& \(R_{Th}\) in the given circuit.

  • (1) -2 V, 6/5 \(\Omega\)
  • (2) 2 V, 5/6 \(\Omega\)
  • (3) 1 V, 5/6 \(\Omega\)
  • (4) -1 V, 6/5 \(\Omega\)

Question 4:

Find the \(R_{eq}\) from the circuit.

  • (1) 18 \(\Omega\)
  • (2) 72/13 \(\Omega\)
  • (3) 9 \(\Omega\)
  • (4) 36/13 \(\Omega\)

Question 5:

Find the value for \(i(t)\) from the circuit.

  • (1) 20\cos(300t + 68.2\(^\circ\)) A
  • (2) 20\cos(300t - 68.2\(^\circ\)) A
  • (3) 2.48\cos(300t + 68.2\(^\circ\)) A
  • (4) 2.48\cos(300t - 68.2\(^\circ\)) A

Question 6:

The emitter of a transistor is _____ doped.

  • (1) Lightly
  • (2) Heavily
  • (3) Moderately
  • (4) Non

Question 7:

The drain current in a JFET is given by:

  • (1) \(I_D = I_{DSS} \left(1 - \frac{V_{GS}}{V_P} \right)^2\)
  • (2) \(I_D = I_{DSS} \left(1 + \frac{V_{GS}}{V_P} \right)^2\)
  • (3) \(I_D = I_{DSS} \left(1 - \frac{V_P}{V_{GS}} \right)^2\)
  • (4) \(I_D = I_{DSS} \left(1 + \frac{V_P}{V_{GS}} \right)^{1/2}\)

Question 8:

The gate voltage in a JFET at which drain current becomes zero is called ____.

  • (1) Saturation voltage
  • (2) Pinch-off voltage
  • (3) Cut-off voltage
  • (4) Active voltage

Question 9:

An FM signal having a modulation Index of \(M\) is passed through a frequency tripler. The FM signal at the output of tripler will have a modulation index of ____.

  • (1) unaltered
  • (2) 3M
  • (3) 6M
  • (4) M/3

Question 10:

VHF waves travel as ____.

  • (1) surface waves
  • (2) ground waves
  • (3) sky waves
  • (4) space waves

Question 11:

The binary code of \((21.125)_{10}\) is ____.

  • (1) 10101.001
  • (2) 10100.001
  • (3) 10101.010
  • (4) 10100.111

Question 12:

As per Boolean algebra, (A + B)(A + C) = ____.

  • (1) A + BC
  • (2) AB + AC
  • (3) A
  • (4) B

Question 13:

The medium which reflects high frequency radio waves back to the earth’s surface is called ____.

  • (1) Biosphere
  • (2) Stratosphere
  • (3) Troposphere
  • (4) Ionosphere

Question 14:

Changes in temperature will affect the level of ____.

  • (1) current gain \(\beta\)
  • (2) leakage current, \(I_{Ceo}\)
  • (3) both current gain \(\beta\) and leakage current \(I_{Ceo}\)
  • (4) Voltage gain

Question 15:

For the SOP expression \(A\overline{B}C + \overline{A}BC + AB\overline{C}\), how many 1s are in the truth table’s output column?

  • (1) 1
  • (2) 2
  • (3) 3
  • (4) 5

Question 16:

The envelope detector is a/an ____.

  • (1) Synchronous detector
  • (2) Asynchronous detector
  • (3) Product demodulator
  • (4) Coherent detector

Question 17:

The maximum power efficiency of an AM modulator is ____.

  • (1) 25%
  • (2) 50%
  • (3) 75%
  • (4) 100%

Question 18:

For the given circuit, \(Z(s) = \_\_\_\)

  • (1) \(\dfrac{s^2 + 1.5s + 1}{s(s+1)}\)
  • (2) \(\dfrac{s^2 + 3s + 1}{s(s + 1)}\)
  • (3) \(\dfrac{2s^2 + 3s + 2}{s(s + 1)}\)
  • (4) \(\dfrac{2s^2 + 3s + 1}{2s(s + 1)}\)

Question 19:

A bulb in a staircase has two switches, one at the ground floor and one at the first floor. The bulb can be turned ON or OFF by either switch, regardless of the other switch’s state. The logic of this switching resembles ____.

  • (1) an AND gate
  • (2) an OR gate
  • (3) an XOR gate
  • (4) a NAND gate

Question 20:

Switch \(S_1\) is closed at time \(t = 0\) in the network shown. The expression for the voltage across capacitor \(C\) is ____.

  • (1) \(10 \cdot (1 + e^{-40t})\)
  • (2) \(10 \cdot (1 - e^{-40t})\)
  • (3) \(10 \cdot (1 + e^{-25t})\)
  • (4) \(10 \cdot (1 - e^{-25t})\)

Question 21:

In a simple RC high-pass filter, the desired roll-off frequency is 15 Hz and \(C = 10\ \mu F\). The value of \(R\) would be ____.

  • (1) 1.06 KHz
  • (2) 13.33 KHz
  • (3) 6.67 KHz
  • (4) 5 KHz

Question 22:

For the op-amp circuit, \(V_o = \_\_\_\)

  • (1) 2 V
  • (2) -2 V
  • (3) 8 V
  • (4) -5 V

Question 23:

The active region of the output characteristics for a common base transistor is that in which ____.

  • (1) emitter junction is forward biased and collector junction is reverse biased
  • (2) both emitter and collector junctions are forward biased
  • (3) only collector junction is forward biased
  • (4) both emitter and collector junctions are reverse biased

Question 24:

If carrier and modulating frequency are 100 kHz and 5 kHz respectively, the bandwidth of AM transmission will be ____.

  • (1) 2 kHz
  • (2) 5 kHz
  • (3) 10 kHz
  • (4) 40 kHz

Question 25:

Determine the continuous time convolution integral and choose correct option for:
\(y(t) = [u(t) - u(t - 2)] * u(t)\)

  • (1) \(tu(t) + (2 - t)u(t - 2)\)
  • (2) \((2 - t)u(t) + tu(t - 2)\)
  • (3) \(tu(t) - (t - 2)u(t - 2)\)
  • (4) \((t - 2)u(t) + tu(t - 2)\)

Question 26:

The energy of a signal \(A\delta[n]\) is ____.

  • (1) \(A^2\)
  • (2) \(\dfrac{A^2}{2}\)
  • (3) \(\dfrac{A^2}{4}\)
  • (4) 0

Question 27:

Determine the Laplace transform of \(x(t) = (t^2 - 2t)u(t - 1)\)

  • (1) \(\dfrac{2e^{-s}(1 - s)}{s^3}\)
  • (2) \(\dfrac{e^{-2s}(1 - s)}{s^2}\)
  • (3) \(\dfrac{2e^{-2s}(1 + s)}{s^3}\)
  • (4) \(\dfrac{e^{-s}(1 - s)}{s^2}\)

Question 28:

Find the Fourier transform of the given signal \(x(t) = e^{-t}u(t - 2)\)

  • (1) \(\dfrac{e^{-2j\omega}}{1 + j\omega}\)
  • (2) \(\dfrac{e^{2j\omega}}{1 + 2j\omega}\)
  • (3) \(\dfrac{\omega^2}{1 + j\omega}\)
  • (4) \(\dfrac{-\omega^2}{1 + 2j\omega}\)

Question 29:

For handling multiple input, multiple output system _____ is used.

  • (1) State variable approach
  • (2) Bode plot
  • (3) Nyquist plot
  • (4) Root locus technique

Question 30:

A phase lag-lead network introduces in the output_____.

  • (1) Lag at high frequency and lead at low frequency
  • (2) Lead at high frequency and lag at low frequency
  • (3) Lag at all frequency
  • (4) lead at all frequency

Question 31:

In AM_____.

  • (1) Carrier amplitude is varied
  • (2) Carrier frequency is varied
  • (3) One side band is produced
  • (4) Noiseless and high-fidelity reception is obtained

Question 32:

An antenna has directivity of 100 and operates at 150 MHz. The maximum effective aperture is

  • (1) \(31.8 \, m^2\)
  • (2) \(62.4 \, m^2\)
  • (3) \(26.4 \, m^2\)
  • (4) \(13.2 \, m^2\)

Question 33:

The MOSFET circuit implements the function.


  • (1) A(B+C)
  • (2) A+BC
  • (3) \( \overline{A + BC} \)
  • (4) ABC

Question 34:

In the Op-Amp circuit, what is the load current \( I_L \)?


  • (1) \( \frac{v_2}{R_2} \)
  • (2) \( \frac{v_3}{R_L} \)
  • (3) \( \frac{v_2}{R_L} \)
  • (4) \( \frac{v_3}{R_2} \)

Question 35:

If diode cut-in voltage is 0.6 V. The diode status are

  • (1) only D\textsubscript{1} on
  • (2) only D\textsubscript{2} on
  • (3) both D\textsubscript{1} \& D\textsubscript{2} on
  • (4) both D\textsubscript{1} \& D\textsubscript{2} off

Question 36:

A voltage source of 300 V has internal resistance of 4\(\Omega\) and supplies a load having the same resistance. The power absorbed by the load is

  • (1) 2510 W
  • (2) 1150 W
  • (3) 5625 W
  • (4) 5000 W

Question 37:

The current flowing through an unloaded voltage divider is called the _______.

  • (1) resistor current
  • (2) load current
  • (3) bleeder current
  • (4) voltage current

Question 38:

In superposition theorem, voltage source is replaced by ______ and current source by ______.

  • (1) open circuit, short circuit
  • (2) short circuit, open circuit
  • (3) short circuit, short circuit
  • (4) open circuit, open circuit

Question 39:

For a base current of 10 \(\mu\)A, what is the value of collector current in common emitter, if \(\beta = 100\)?

  • (1) 10 \(\mu\)A
  • (2) 100 \(\mu\)A
  • (3) 1 mA
  • (4) 10 mA

Question 40:

Output of a phase splitter is __________.

  • (1) a pair of sine waves of unequal amplitude
  • (2) a pair of sine waves of equal amplitudes
  • (3) a pair of sine waves of equal amplitudes and opposite phase
  • (4) a pair of sine waves of unequal amplitudes and opposite phase

Question 41:

Primary advantage of a crystal oscillator is that _________.

  • (1) it can oscillate at any frequency
  • (2) it gives a high O/P voltage
  • (3) its frequency of oscillation remains almost constant
  • (4) it operates on a very low dc supply voltage

Question 42:

The circuit shown in the figure can be used as a ______.

  • (1) Full wave rectifier
  • (2) Voltage to frequency converter
  • (3) Logarithmic amplifier
  • (4) Frequency to voltage converter

Question 43:

In a negative feedback amplifier \( A = 100 \), \( \beta = 0.04 \) and \( V_s = 50\,mV \), then feedback will be _____.

  • (1) 4
  • (2) 8
  • (3) 10
  • (4) 2

Question 44:

A Schmitt trigger is ________.

  • (1) a comparator with only one trigger point
  • (2) a comparator with hysteresis
  • (3) a comparator with two trigger points
  • (4) a comparator with three trigger points

Question 45:

In a LASER, which of the following processes have to be minimized.

  • (1) Absorption and stimulated emission
  • (2) Absorption only
  • (3) Spontaneous emission only
  • (4) Stimulated emission only

Question 46:

Which IC is used for the implementation of 1-to-16 DEMUX?

  • (1) IC 74154
  • (2) IC 74155
  • (3) IC 74139
  • (4) IC 74138

Question 47:

For the circuit shown in the figure, the delay of the bubbled NAND gate is 5 ns and that of the counter is assumed to be zero. If the clock (Clk) frequency is 12 MHz, then the counter behaves as a ______.

  • (1) mod-5 counter
  • (2) mod-6 counter
  • (3) mod-7 counter
  • (4) mod-8 counter

Question 48:

How many T states are required for the execution of STA 7000H instruction?

  • (1) 13
  • (2) 11
  • (3) 10
  • (4) 12

Question 49:

Which of the following system is causal?

  • (1) \( h(n) = n \left( \frac{1}{2} \right)^n u(n+1) \)
  • (2) \( y(n) = x^2(n) - x(n+1) \)
  • (3) \( y(n) = x(-n) + x(2n-1) \)
  • (4) \( h(n) = n \left( \frac{1}{2} \right)^n u(n) \)

Question 50:

In a signal \( x(n) \), if ‘n’ is replaced by \( \frac{n}{3} \), then it is called ______.

  • (1) upsampling
  • (2) folded version
  • (3) downsampling
  • (4) shifted version

Question 51:

The Z-transform of \( a^n \cdot u(n-1) \) is ______.

  • (1) \( \frac{-z}{z - \frac{1}{a}} \)
  • (2) \( \frac{z}{z - \frac{1}{a}} \)
  • (3) \( \frac{z}{z - a} \)
  • (4) \( -z \)

Question 52:

The discrete time Fourier transform of the signal, \( x(n) = 0.5^{(n-1)}u(n-1) \) is ______.

  • (1) \( \frac{e^{-j\omega}}{1 - 0.5e^{-j\omega}} \)
  • (2) \( e^{-j\omega}(1 - 0.5e^{j\omega}) \)
  • (3) \( \frac{0.5e^{-j\omega}}{1 - 0.5e^{-j\omega}} \)
  • (4) \( \frac{0.5e^{j\omega}}{1 - 0.5e^{j\omega}} \)

Question 53:

Given the unity feedback system with \( G(s) = \frac{K}{s(s+6)} \), the value of \( K \) for damping ratio of 0.75 is ______.

  • (1) 1
  • (2) 4
  • (3) 16
  • (4) 64

Question 54:

What will be the stability for the following transfer function?
\( G(s) = \frac{50}{s(s+5)} \)

  • (1) Unstable
  • (2) Marginally stable
  • (3) Stable
  • (4) Critically stable

Question 55:

In the signal flow graph of given figure, \( \frac{y}{x} \) equals ______.

  • (1) 3
  • (2) 2
  • (3) 2.5
  • (4) 1.5

Question 56:

A phase lag compensation will ______.

  • (1) improve relative stability
  • (2) increase the speed of response
  • (3) increase bandwidth
  • (4) increase overshoot

Question 57:

If system has multiple poles on \( j\omega \)-axis, the system is_______.

  • (1) stable
  • (2) unstable
  • (3) conditionally stable
  • (4) marginally stable

Question 58:

A narrow band FM signal is generated using a phase modulator. The maximum deviation at the output of a phase modulator is about_______.

  • (1) \( \pm 250 Hz \)
  • (2) \( \pm 1 kHz \)
  • (3) \( \pm 1 MHz \)
  • (4) \( \pm 25 Hz \)

Question 59:

A pre-emphasis circuit provides extra noise-immunity by_______.

  • (1) Boosting the bass frequencies
  • (2) Amplifying the higher audio frequencies
  • (3) Pre-amplifying the whole audio band
  • (4) Converting PM to FM

Question 60:

To save transmitted power, the carrier of an AM signal obtained by sinusoidal modulation to a depth of modulation equal to 1, has been recovered. The percentage saving in power is_______.

  • (1) 33.33
  • (2) 50
  • (3) 66.66
  • (4) 100

Question 61:

A band-limited signal is sampled at the Nyquist rate. The signal can be recovered by passing the samples through_______.

  • (1) RC filter
  • (2) envelope detector
  • (3) PLL
  • (4) Ideal low pass filter with the appropriate band width

Question 62:

Which of the following schemes suffer(s) from the threshold effect?

  • (1) AM detection using envelope detection
  • (2) AM detection using synchronous detection
  • (3) FM detection using discriminator
  • (4) SSB detection using synchronous detection

Question 63:

The image channel selectivity of super heterodyne receiver depends upon ______.

  • (1) IF amplifiers only
  • (2) RF and IF amplifiers only
  • (3) Pre selector, RF and IF amplifiers
  • (4) Pre selector and RF amplifiers

Question 64:

In a PCM system, if the code word length is increased from 6 to 8 bits, the signal to quantization noise ratio improves by the factor ______.

  • (1) 1/16
  • (2) 16
  • (3) 3/16
  • (4) log 16

Question 65:

In a 16-ary PSK, the symbol rate is 10 kbps. The bit rate is ______.

  • (1) 160 kbps
  • (2) 40 kbps
  • (3) 2.5 kbps
  • (4) 0.625 kbps

Question 66:

Companding is used in PCM in order to ______.

  • (1) keep the quantization noise low for low-amplitude segments of a signal
  • (2) avoid quantization noise
  • (3) reduce the effect of impulse or channel noise
  • (4) reduce the complexity of the PCM system

Question 67:

The value of electric field at a distance of 1 m from an infinite line charge density 1 C/m is ______.

  • (1) \( 2\pi\varepsilon_0 \)
  • (2) \( \frac{1}{2\pi\varepsilon_0} \)
  • (3) \( \frac{\varepsilon_0}{2\pi} \)
  • (4) \( \frac{2\pi}{\varepsilon_0} \)

Question 68:

A half wave dipole at a frequency of 100 MHz has a length of ______.

  • (1) 100 m
  • (2) 3 m
  • (3) 1.5 m
  • (4) 0.75

Question 69:

Which of the following is the unit for Permeability?

  • (1) Henry × Meter\textsuperscript{2}
  • (2) Henry / Meter
  • (3) Henry / Meter\textsuperscript{2}
  • (4) Henry × Meter

Question 70:

Which of the following is the Laplace equation?

  • (1) \( \nabla^2 V = -\rho/\varepsilon \)
  • (2) \( \nabla^2 V = 0 \)
  • (3) \( \nabla^2 V = -4\pi\rho \)
  • (4) \( \nabla^2 V = -4\pi\sigma \)

Question 71:

The movement of charge carriers due to charge carrier concentration gradient is called ______.

  • (1) Drift current
  • (2) Displacement current
  • (3) Diffusion current
  • (4) Photo current

Question 72:

For operating an n-channel JFET in pinch-off region, the condition needed to be satisfied is ______.

  • (1) drain current becomes linearly proportional to \( V_{DS} \)
  • (2) \( V_P \leq V_{GS} \leq 0 \) and \( V_{DS} \geq (V_{GS} - V_P) \)
  • (3) \( V_{GS} \geq V_P \) and \( V_{GS} \geq V_{DS} \)
  • (4) JFET acts as a voltage variable resistor

Question 73:

The advantage of twin tub process in CMOS fabrication is ______.

  • (1) ensuring standard latch-up condition
  • (2) prevention of latch-up condition
  • (3) avoidance of post lithography etching
  • (4) overcoming short channel effects

Question 74:

Back to back connected Zener diodes are used across the output terminals of a circuit to _______.

  • (1) prevent unwanted oscillations
  • (2) provide a constant negative feedback
  • (3) limit the output positive and negative excursions
  • (4) avoid back EMF into the original circuit

Question 75:

A 128 kbyte memory is to be realized using memory chips each with 8 address lines and 4 data lines. Number of memory chips required is ______.

  • (1) 256
  • (2) 1024
  • (3) 128
  • (4) 512

Question 76:

A six Flip-Flop Serial-In-Serial-Out shift register connected in twisted ring configuration has ______.

  • (1) 6 states
  • (2) 12 states
  • (3) 24 states
  • (4) 64 states

Question 77:

Two functions F\textsubscript{1 and F\textsubscript{2 to be implemented using a suitable size PLA are given as F\textsubscript{1 = ∑m(0, 1, 2, 4) and F\textsubscript{2 = ∑m(0, 5, 6, 7). Minimum number of product terms necessary is ______.

  • (1) Four
  • (2) Five
  • (3) Two
  • (4) Three

Question 78:

The difference between the minimum output voltage during logic high and the minimum input level during logic high of a logic family is referred to as ______.

  • (1) acceptable logic high output voltage range
  • (2) acceptable logic high input voltage range
  • (3) noise margin at logic high
  • (4) operating voltage range

Question 79:

Fastest Logic family is ______.

  • (1) Emitter Coupled Logic family
  • (2) CMOS logic family
  • (3) Schottky TTL logic family
  • (4) Resistor Transistor Logic family

Question 80:

For a 4-point sequence \{0, 1, 2, 3\, FFT is _______.

  • (1) \{6, -2+j2, -2, -2-j2\}
  • (2) \{6, -2+j2, 2, -2-j2\}
  • (3) \{6, -2+j2, -2, 2-j2\}
  • (4) \{6, -2+j2, 2, 2-j2\}

Question 81:

For an LTI system_____________.

  • (1) group delay is twice phase delay
  • (2) group delay is always greater than phase delay
  • (3) group delay is always less than phase delay
  • (4) group delay is equal to phase delay

Question 82:

20dB/decade is equivalent to ______.

  • (1) 0dB/octave
  • (2) 2dB/octave
  • (3) 4dB/octave
  • (4) 6dB/octave

Question 83:

For the standard second order system, with two poles lying at 60° , damping ratio is ____.

  • (1) 0
  • (2) 1
  • (3) 0.707
  • (4) 0.5

Question 84:

Shannon’s channel capacity theorem supports the concept and need of _______.

  • (1) Equalization
  • (2) Source Coding
  • (3) Channel Coding
  • (4) Line Coding

Question 85:

The purpose of a matched filter in a digital communication receiver is to _____.

  • (1) minimise Inter Symbol Interference
  • (2) match the load impedance with line impedance
  • (3) avoid cross talk among transmitted signals
  • (4) remove DC offset

Question 86:

The multiple access method used in Global Positioning Systems is ______.

  • (1) FDMA
  • (2) CDMA
  • (3) WDMA
  • (4) TDMA

Question 87:

The ability of a receiver to reproduce the exact replica of the transmitted signal at its output is described through its ______.

  • (1) Sensitivity
  • (2) Fidelity
  • (3) Selectivity
  • (4) Resolution

Question 88:

Pre-emphasis and De-emphasis are used in ______.

  • (1) Frequency Modulation
  • (2) Amplitude Modulation
  • (3) Pulse Amplitude Modulation
  • (4) Phase Modulation

Question 89:

M-ary encoding in Digital communication is done to achieve ______.

  • (1) Power Optimization
  • (2) Error detection and correction
  • (3) Data encryption
  • (4) Bandwidth efficiency

Question 90:

Slope overload distortion occurs in ______.

  • (1) Pulse Amplitude Modulation
  • (2) Delta Modulation
  • (3) Phase Shift Keying
  • (4) Differential Pulse Code Modulation

Question 91:

Commercial band for FM broadcasting is ______.

  • (1) 64 MHz -- 106 MHz
  • (2) 700 kHz to 1600 kHz
  • (3) 88 MHz to 108 MHz
  • (4) 1GHz to 300 GHz

Question 92:

Dominant mode of propagation in a rectangular wave guide is ______.

  • (1) TE01
  • (2) TM01
  • (3) TM20
  • (4) TE10

Question 93:

A propagating wave in a lossless medium along z-direction has x and y electric field components both sinusoidal of same amplitude and in phase with each other. The wave is ______.

  • (1) Linearly Polarised along X-axis
  • (2) Right circularly polarised
  • (3) Linearly polarised at 45\(^\circ\) to X-axis
  • (4) Elliptically polarised

Question 94:

The skin depth of a wave propagating through aluminium medium of conductivity \(\sigma = 38.2~MS/m\) is computed at \(1.6~MHz\) frequency as \(64.4~\mu m\). The skin depth into the same medium at \(6.4~MHz\) frequency is _______.

  • (1) 32.2 \(\mu m\)
  • (2) 128.8 \(\mu m\)
  • (3) 16.1 \(\mu m\)
  • (4) 64.4 \(\mu m\)

Question 95:

The units of magnetic permeability and magnetic flux density respectively are ______.

  • (1) F/m , Wb/m\textsuperscript{2}
  • (2) H/m , Wb/m
  • (3) H/m , Tesla
  • (4) Wb\textperiodcentered m , Tesla

Question 96:

A uniform plane wave travels through fresh water characterised by \(\varepsilon_r = 78\). Fresh water is non-magnetic and non-conducting. The wavelength of propagation in fresh water at an operating frequency of \(300~MHz\) is ______.

  • (1) 11.32 cm
  • (2) 22.68 cm
  • (3) 6.86 cm
  • (4) 32.86 cm

Question 97:

An antenna driven by 6 Ampere current radiates 5 kW power into freespace. The radiation resistance of the antenna at 1 GHz frequency is ________.

  • (1) 138 Ohms
  • (2) 31.2 Ohms
  • (3) 377 Ohms
  • (4) 278 Ohms

Question 98:

The number of propagating modes through an air filled rectangular waveguide of dimensions, \( a = 5 cm \) and \( b = 2.5 cm \) at 8 GHz frequency is ________.

  • (1) Five
  • (2) Four
  • (3) Three
  • (4) Six

Question 99:

The ratio of the power radiated by an antenna to the total input power to the antenna is termed ________.

  • (1) Directivity
  • (2) Antenna gain
  • (3) Radiation resistance of the antenna
  • (4) Antenna efficiency

Question 100:

On a transmission line with standing wave the distance between a voltage maximum and adjacent current maximum is ________.

  • (1) \(\lambda/2\)
  • (2) \(\lambda/4\)
  • (3) \(\lambda/8\)
  • (4) \(\lambda/16\)

Question 101:

The standing wave ratio of an open wire transmission line having a characteristic impedance of 600\(\Omega\) and terminated by resistive load of 900\(\Omega\) will be _______.

  • (1) 1
  • (2) 2
  • (3) 1.5
  • (4) 4

Question 102:

In JFET, drain current is primarily controlled by _______.

  • (1) Size of depletion region
  • (2) Channel resistance
  • (3) Gate reverse bias
  • (4) Voltage drop across the channel

Question 103:

The circuit shown in figure is

  • (1) NAND
  • (2) NOR
  • (3) AND
  • (4) OR

Question 104:

With some initial change at \(t = 0^+\), a capacitor will act as _______.

  • (1) Open circuit
  • (2) Short circuit
  • (3) A current source
  • (4) A voltage source

Question 105:

The Ebers-Moll model is applicable to _______.

  • (1) Junction FET
  • (2) UJT
  • (3) nMOS
  • (4) BJT

Question 106:

The main advantage of super heterodyne receiver is _______.

  • (1) simple circuit
  • (2) better tracking
  • (3) improvement in selectivity and sensitivity
  • (4) better alignment

Question 107:

The occurrence of double spotting indicates that _______.

  • (1) the IF is too high
  • (2) the selectivity is poor
  • (3) image rejection capability of the receiver is inadequate
  • (4) the local oscillator frequency is less than that of the incoming signal

Question 108:

Which of the following type of noise becomes of great importance at high frequencies?

  • (1) Short noise
  • (2) Random noise
  • (3) Impulse noise
  • (4) Transit-time noise

Question 109:

As the aperture area of an antenna increases, its gain _______.

  • (1) increases
  • (2) decreases
  • (3) remain steady
  • (4) behaves unpredictably

Question 110:

The intrinsic impedance of free space is _________.

  • (1) 76 \(\Omega\)
  • (2) 73 \(\Omega\)
  • (3) 120\(\pi\) \(\Omega\)
  • (4) 300 \(\Omega\)

Question 111:

Let \( A = \begin{bmatrix} a+1 & b & c
a & b+1 & c
a & b & c+1 \end{bmatrix} \). If determinant of the matrix \( A \) is zero, then \( (a + b + c)^3 = \_\_\_\_\_\_ \)

  • (1) 0
  • (2) –1
  • (3) abc
  • (4) 3abc

Question 112:

Let \( A \) be a \(3 \times 3\) matrix and \( B = 2A^2 + A^{-1} - I \), where \( I \) is a \(3 \times 3\) identity matrix. If the eigenvalues of \( A \) are 1, –1 and 2, then the trace of \( B \) is ______

  • (1) 2
  • (2) 0
  • (3) \(\frac{15}{2}\)
  • (4) \(\frac{19}{2}\)

Question 113:

The value of the real variable \( x > 0 \) that minimizes the function \( f(x) = x^x e^{-x} \) is ______

  • (1) \(e\)
  • (2) \(1/e\)
  • (3) \(\sqrt{e}\)
  • (4) 1

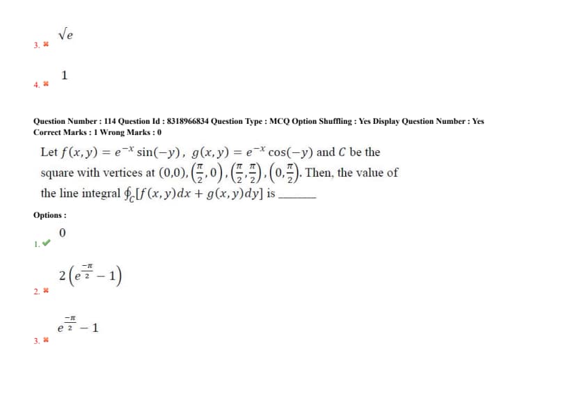
Question 114:

Let \( f(x,y) = e^{-x} \sin(-y), \quad g(x,y) = e^{-x} \cos(-y) \), and \( C \) be the square with vertices at \( (0,0), (\frac{\pi}{2},0), (\frac{\pi}{2},\frac{\pi}{2}), (0,\frac{\pi}{2}) \). Then, the value of the line integral \( \oint_C [f(x,y)dx + g(x,y)dy] \) is _____

  • (1) \(2\left(e^{-\frac{\pi}{2}} - 1\right)\)
  • (2) \(2\left(1 - e^{-\frac{\pi}{2}}\right)\)
  • (3) \(-\frac{\pi}{e^2} - 1\)
  • (4) \(2\left(e^{-\frac{\pi}{2}} - 1\right)\)

Question 115:

The general solution of the differential equation \( x^2 y'' - xy' + 5y = 0 \) is _____

  • (1) \(Ax \cos 2(\log x) + Bx \sin 2(\log x)\)
  • (2) \(Ax^e \cos(2x) + B e^x \sin(2x)\)
  • (3) \(Ax \cos(\ln x) + Bx \sin(\ln x)\)
  • (4) \(Ax \cos(\log 2x) + Bx \sin(\log 2x)\)

Question 116:

The particular integral of the differential equation \[ \frac{d^2y}{dx^2} - \frac{dy}{dx} + 9y = e^{3x} \]
is _____

  • (1) \(e^{3x}\)
  • (2) \(\frac{xe^{3x}}{2}\)
  • (3) \(xe^{3x}\)
  • (4) \(\frac{x^2 e^{3x}}{2}\)

Question 117:

The value of the integral \( \int_C \frac{6z - 5}{z^2 + 4z + 5} \, dz \), where \( C \) is the circle \( |z| = 1 \), is _____

  • (1) 0
  • (2) \(2\pi i\)
  • (3) \(\pi\)
  • (4) \(\frac{\pi i}{2}\)

Question 118:

If the function \( f(z) = -x^2 + xy + y^2 + i(ax^2 + bxy + cy^2) \) of complex variable \(z = x + iy\) is analytic in the complex plane, then the values of \(a, b, c\) are _____

  • (1) \(a = \frac{1}{2}, b = -2, c = \frac{1}{2}\)
  • (2) \(a = -1, b = 1, c = 1\)
  • (3) \(a = \frac{1}{2}, b = -2, c = 1\)
  • (4) \(a = 1, b = -1, c = 1\)

Question 119:

A number is selected randomly from each of the following two sets:
\{1,2,3,4,5,6,7,8\, \quad \{2,3,4,5,6,7,8,9\
What is the probability that the sum of the numbers is 9?

  • (1) \(\frac{1}{8}\)
  • (2) \(\frac{1}{16}\)
  • (3) \(\frac{3}{32}\)
  • (4) \(\frac{7}{64}\)

Question 120:

The probability of a component being defective is 0.01. There are 100 such components in a machine. Then the probability of two or more defective components in the machine is _____

  • (1) \(1 - e^{-1}\)
  • (2) \(2e^{-1}\)
  • (3) \(1 - 2e^{-1}\)
  • (4) \(e^{-1}\)