TS PGECET 2019 Mining Engineering Question paper with answer key pdf conducted on May 28, 2019 from is available for download. The exam was successfully organized by Osmania University. The question paper comprised a total of 120 questions.
TS PGECET 2019 Mining Engineering Question Paper with Answer Key PDF for
| TS PGECET 2019 Mining Engineering Question Paper PDF | TS PGECET 2019 Mining Engineering Answer Key PDF |
|---|---|
| Download PDF | Download PDF |
TS PGECET Previous Year Question Paper with Answer Key PDFs
Collegedunia has provided TS PGECET Previous Year Question paper pdf with answer key in the links given below:







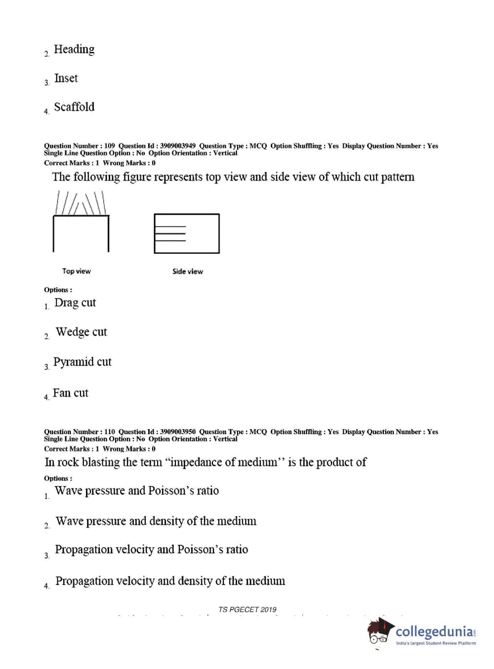
Comments