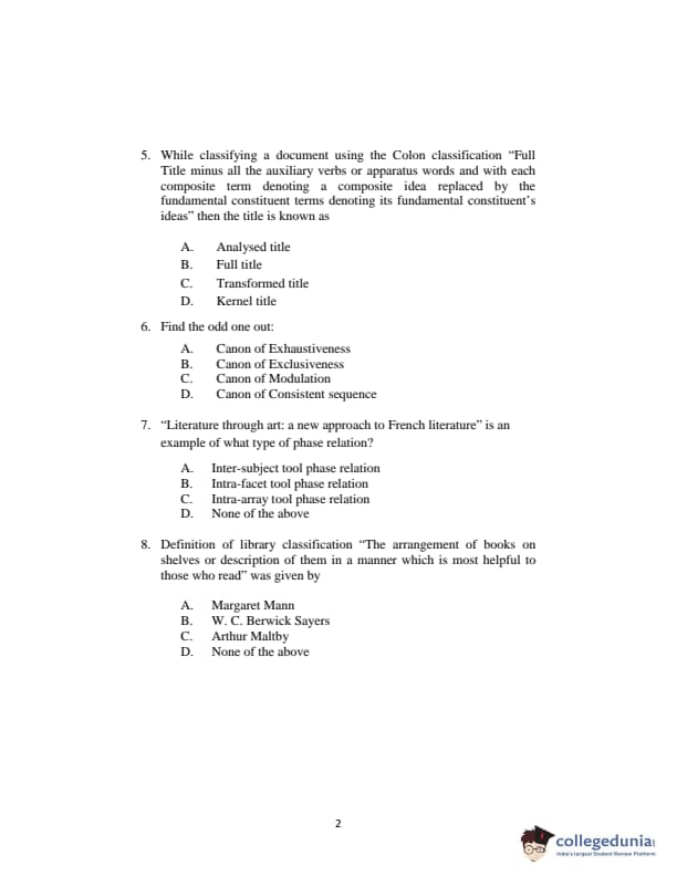
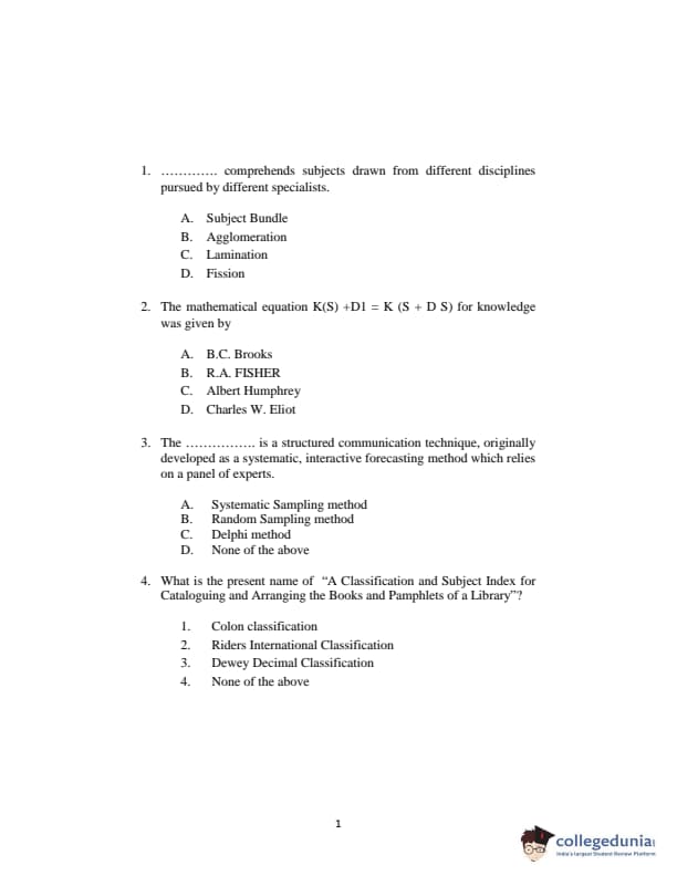
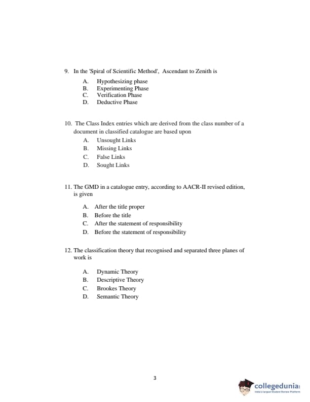
ISI Admission Test 2018 Junior Research Fellowship in Library and Information Science Question paper with answer key pdf conducted on May 13, 2018 is available for download. The exam was successfully organized by Indian Statistical Institute (ISI). The question paper comprised a total of 30 questions.
ISI Admission Test 2018 Junior Research Fellowship in Library and Information Science Question Paper with Answer Key PDFs
| ISI Admission Test 2018 Junior Research Fellowship in Library and Information Science Question Paper PDF | ISI Admission Test 2018 Junior Research Fellowship in Library and Information Science Answer Key PDF |
|---|---|
| Download PDF | Available Soon |







Comments