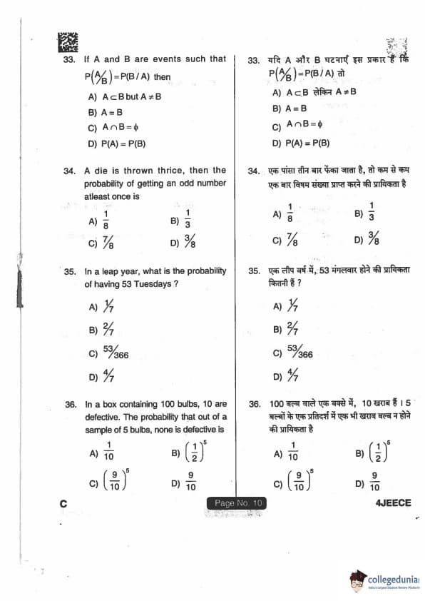
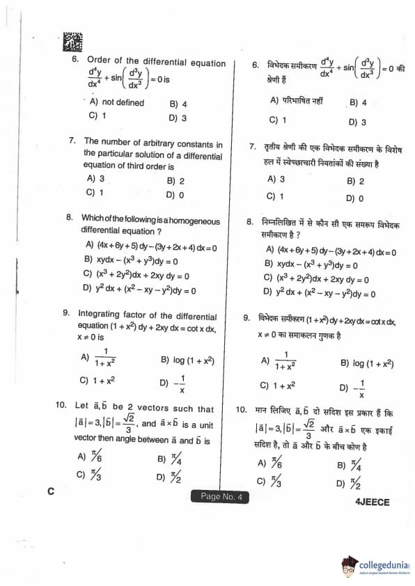
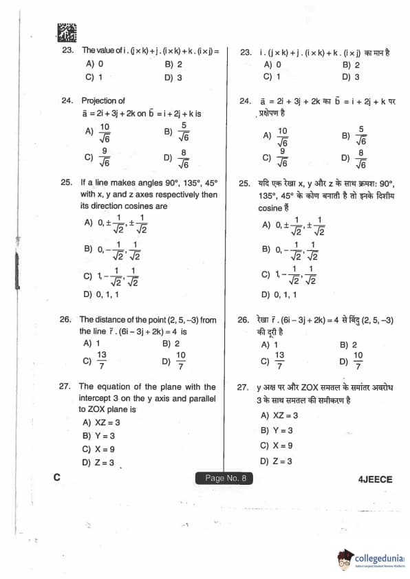
JEECE 2018 Mathematics Code C Question paper with answer key pdf conducted on May 26, 2018 is available for download. The exam was successfully organized by Jharkhand Combined Entrance Competitive Examination Board (JCECEB). The question paper comprised a total of 50 questions.
JEECE 2018 Mathematics Question Paper with Answer Key PDFs
| JEECE 2018 Mathematics Question Paper PDF | JEECE 2018 Mathematics Answer Key PDF |
|---|---|
| Download PDF | Download PDF |







Comments