IGNOU B.Ed. Entrance Exam 2017 Question paper with answer key pdf conducted on September 24, 2017 is available for download. The exam was successfully organized by Indira Gandhi National Open University (IGNOU). The question paper comprised a total of 100 questions divided into 5 sections.
IGNOU B.Ed. Entrance Exam 2017 Question Paper PDF
| IGNOU B.Ed 2017 Question Paper with Answer Key | Check Solution |
IGNOU B.Ed Question Paper With Solution

Question 1:
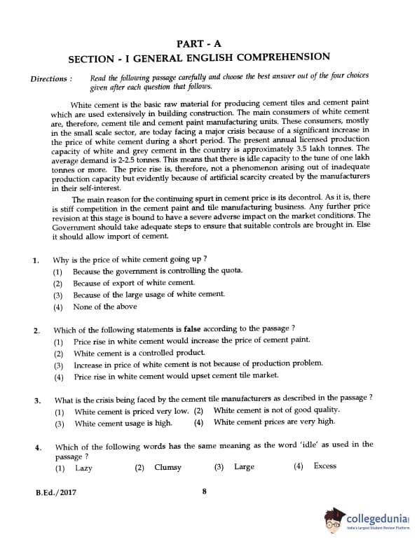
Why is the price of white cement going up?
View Solution
The price of white cement has been increasing primarily due to its growing export demand. The international market has seen a rise in the need for white cement, which has put pressure on its domestic availability, leading to higher prices. While the other factors may also play a role, export is the key driver of the price increase. Quick Tip: Export demand can significantly affect the price of a product, especially when the supply is limited domestically.
Which of the following statements is false according to the passage?
View Solution
The passage clarifies that white cement is not a controlled product, and thus, option (2) is false. The price rise in white cement is not directly linked to production problems but is primarily due to high demand and the impact of the export market. Furthermore, the price hike would affect other industries such as cement paint and cement tiles. Quick Tip: Understanding the status of a product (controlled vs. non-controlled) can help clarify its price behavior in the market.
What is the crisis being faced by the cement tile manufacturers as described in the passage?
View Solution
The passage discusses the crisis faced by cement tile manufacturers due to the rising prices of white cement. This increase in cost has led to difficulties for manufacturers who rely on white cement for their products. The high prices are making it harder for them to maintain profitability and meet market demand. Quick Tip: Price increases in key materials, like white cement, can significantly impact industries that depend on them for production.
Which of the following words has the same meaning as the word 'idle' as used in the passage?
View Solution
In the context of the passage, 'idle' refers to something that is in excess, particularly the unused capacity or resources. It does not refer to laziness or clumsiness, which would be different interpretations in this context. Therefore, the word 'excess' aligns with the meaning intended in the passage. Quick Tip: Context clues in a passage are crucial for understanding the meaning of certain words. Here, 'idle' refers to surplus or unused resources.
Which of the following is correct according to the passage?
View Solution
According to the passage, white cement plays a crucial role in tile manufacturing, making it an essential material in the industry. It is used significantly in the production of cement tiles. The other options are incorrect as they either downplay its importance or misstate its use. Quick Tip: Materials used in manufacturing cement tiles are critical to their quality and durability, making white cement an important component in the process.
Which of the following words has the same meaning as the word 'artificial' as used in the passage?
View Solution
In the context of the passage, 'artificial' refers to something that is not natural, but created or synthesized. Therefore, the word 'unnatural' aligns with the intended meaning of 'artificial' in the passage. Quick Tip: Understanding the context of words in a passage helps determine their most accurate meaning. 'Artificial' in this case refers to something that is man-made or not occurring naturally.
What is the author's suggestion to bring down prices?
View Solution
The author suggests that government should control the market of white cement is a way to reduce its prices. By increasing supply, the demand-supply imbalance would be addressed, which can help lower the prices in the market. Quick Tip: Increasing production capacity is a common strategy to address price hikes caused by supply shortages.
Which of the following words has the opposite meaning as the word 'basic' as used in the passage?
View Solution
In this context, 'basic' refers to something fundamental or essential. The opposite of 'basic' in this context is 'unimportant,' which means not fundamental or essential. Quick Tip: Understanding antonyms in context helps clarify the meaning of a word and its opposite.
Which of the following is correct according to the passage?
View Solution
According to the passage, the cement production capacity is less than the actual usage, which is why there are concerns about supply shortages. This imbalance between capacity and demand leads to price increases. Quick Tip: An imbalance between supply (production capacity) and demand (usage) often results in price fluctuations in the market.
What can be presumed from the passage regarding foreign trade in cement?
View Solution
The passage mentions that the rising prices of white cement are partly due to its export, which suggests that the country is currently exporting cement. This is a clear indicator of the country's involvement in the global cement trade. Quick Tip: Trade dynamics, such as export and import activities, can significantly impact domestic markets and product prices.
Who is father-in-law of M?
View Solution
From the given family details, R is the father of Q. As Q is the spouse of M, N is M's father-in-law. Quick Tip: Father-in-law is the father of your spouse.
What is the profession of M?
View Solution
M is the daughter of P (a housewife) and a family member who is not a businessman or property dealer. Given the professions of the others in the family, M's profession must be that of a lecturer. Quick Tip: Given the constraints of the problem, identifying each family member's profession can help deduce the missing ones.
Who is the sister of Q?
View Solution
O is the daughter of M, and since Q is the child of N and M, O must be Q's sister. Quick Tip: Siblings share the same parents, so O, being M's daughter, is Q's sister.
Which of the following are two married couples?
View Solution
The two married couples are MN (M and N) and PR (P and R). These pairings satisfy the relationships described in the passage. Quick Tip: The given relationships and professions help in identifying the correct pairings of married couples.
Find the missing number:
\[ 3 \quad 8 \quad 9
7 \quad 10 \quad 4 \quad 24 \quad 6 \quad 5 \quad 4 \]
View Solution
Looking at the number pattern, it appears the sum of the first three numbers in each row is multiplied by a factor to produce the last number. For the second row, \(7 + 10 + 4 = 21\), and multiplying by 24 gives \(21 \times 24 = 504\). Similarly, we calculate for the missing number. Quick Tip: Look for patterns in the number series to deduce the missing values.
7, 21, 43, ? , 111, 157, 211
View Solution
The pattern is:
7 + 14 = 21
21 + 22 = 43
43 + 28 = 73
73 + 40 = 111
Thus, the missing number is 73. Quick Tip: The differences between consecutive terms seem to follow a pattern, increasing by 8 each time.
6, 24, 60, 114, 186, ?
View Solution
The differences between terms are:
24 - 6 = 18
60 - 24 = 36
114 - 60 = 54
186 - 114 = 72
Thus, the next difference should be 90 (72 + 18). Adding 90 to 186 gives 276. Quick Tip: Look at the differences between terms to identify the pattern, and predict the next term.
7, 13, 21, 31, 43, ?
View Solution
The differences between the terms are:
13 - 7 = 6
21 - 13 = 8
31 - 21 = 10
43 - 31 = 12
The difference increases by 2 each time, so the next difference should be 14.
Thus, 43 + 14 = 53. Quick Tip: The differences between the terms follow an arithmetic sequence with a common difference of 2.
3, 15, 35, 63, ?
View Solution
The differences between the terms are:
15 - 3 = 12
35 - 15 = 20
63 - 35 = 28
Thus, the next difference should be 36. Adding 36 to 63 gives 280. Quick Tip: The differences between terms follow a sequence of increasing numbers by 8 each time.
If PUZZLE is coded as LEPUZZ, then MENTAL will be coded as:
View Solution
The pattern here is that the first and last letters are swapped. Thus, M becomes M, the last letter (L) comes to the beginning, and the middle part remains unchanged. Hence, MENTAL will be coded as ALMENT. Quick Tip: Look for the swapping or shifting pattern in the letters to identify how the word is encoded.
If CONFRONTATION is coded as 5931793484693, then TORONTO will be coded as:
View Solution
Each letter in CONFRONTATION corresponds to a specific number. By following the same mapping for TORONTO, we find the code 4979349. Quick Tip: Look for letter-to-number mapping patterns to decode the word.
Which pair is different in some way from the others in the following?
View Solution
In all other pairs, the first word refers to a type of area or location, while the second word refers to a place or establishment. However, in "Village - Mall," the second word (Mall) is a specific establishment, which makes it different from the others. Quick Tip: Identify the relationship between the two words in each pair to spot the one that is different.
How many balls does Nafisa have?
View Solution
Initially, Nafisa has 6 balls.
- Geeta gives 3 balls to Nafisa, so Nafisa now has \(6 + 3 = 9\) balls.
- Nafisa gives 4 balls to Promila, so Nafisa now has \(9 - 4 = 5\) balls.
- Bhavana gives 2 balls to Nafisa, so Nafisa now has \(5 + 2 = 7\) balls.
- Finally, Nafisa has 7 balls. Quick Tip: Follow the transactions step by step to track how many balls each person has.
How many balls does Sita have?
View Solution
Initially, Sita has 6 balls.
- Bhavana gives 2 balls to Sita, so Sita now has \(6 + 2 = 8\) balls.
- Sita gives 3 balls to Geeta, so Sita now has \(8 - 3 = 5\) balls.
Thus, Sita has 5 balls. Quick Tip: Track the transactions involving each person and update the count accordingly.
Who has the minimum number of balls?
View Solution
After all the transactions, the final number of balls for each person is:
- Geeta has \(6 - 3 + 3 = 6\) balls.
- Sita has \(6 + 2 - 3 = 5\) balls.
- Promila has \(6 + 4 - 4 = 6\) balls.
- Bhavana has \(6 - 2 + 4 - 2 - 2 = 4\) balls.
- Nafisa has \(6 + 3 - 4 + 2 = 7\) balls.
Thus, Bhavana has the minimum number of balls (4). Quick Tip: Carefully track all transactions to determine who ends up with the least or most items.
Who has the maximum number of balls?
View Solution
After all the transactions, the final number of balls for each person is:
- Geeta has \(6 - 3 + 3 = 6\) balls.
- Sita has \(6 + 2 - 3 = 5\) balls.
- Promila has \(6 + 4 - 4 = 6\) balls.
- Bhavana has \(6 - 2 + 4 - 2 - 2 = 4\) balls.
- Nafisa has \(6 + 3 - 4 + 2 = 7\) balls.
Thus, Geeta has the maximum number of balls (7). Quick Tip: After all the exchanges, compare the final numbers to find the person with the most or least items.
Who plays Cricket, Hockey, and Volley-ball?
View Solution
According to the given information:
- A and B play Cricket and Hockey.
- A and C play Volley-Ball and Tennis.
Thus, D is the only person who plays Cricket, Hockey, and Volley-ball. Quick Tip: Carefully analyze the sports that each person plays and find the person who matches all the required criteria.
Who plays only Football?
View Solution
According to the information:
- C and D and E play Football.
- However, only E is mentioned as playing only Football, while others play additional sports.
Thus, E plays only Football. Quick Tip: Look for the person who only plays the sport without engaging in any other activities.
Who plays Tennis and Football?
View Solution
According to the information:
- A and C play Volley-Ball and Tennis.
- C, D, and E play Football.
Thus, D is the person who plays both Tennis and Football. Quick Tip: Identify the individuals who play the combination of sports as specified in the question.
Who plays Volley-ball and Football?
View Solution
According to the information:
- A and C play Volley-Ball and Tennis.
- C, D, and E play Football.
Thus, C is the person who plays both Volley-ball and Football. Quick Tip: Look for the person who plays both sports in the given combination, based on the information provided.
World Population Day is celebrated on:
View Solution
World Population Day is celebrated on 11th July every year to raise awareness about global population issues. Quick Tip: World Population Day was established by the United Nations in 1989 to focus on the importance of population issues.
Gandhiji made a dramatic bid for temple entry rights for untouchables in the year:
View Solution
In 1940, Mahatma Gandhi made a significant effort to allow untouchables, referred to as Harijans, to enter temples and participate in religious activities. This movement was part of his larger social reform efforts. Quick Tip: Gandhi’s efforts to improve the lives of untouchables were a significant part of his struggle for social justice.
National Repository of Open Educational Resources (NROER) is being managed by:
View Solution
The National Repository of Open Educational Resources (NROER) is managed by the National Council of Educational Research and Training (NCERT) to provide free educational resources to students and teachers. Quick Tip: NROER provides an online platform to access educational resources such as videos, articles, and other materials.
Who was the Editor of the Revolutionary Paper 'Bande Matram'?
View Solution
Bhikaji Cama , a prominent freedom fighter, was the editor of the revolutionary paper *Bande Matram*, which played an important role in India's struggle for independence. Quick Tip: *Bande Matram* was a key part of the nationalist movement, and Savarkar was a significant figure in the struggle for Indian independence.
How many nations had signed the charter of the United Nations on 26th June 1945?
View Solution
The United Nations Charter was signed on 26th June 1945 by 50 nations, and by 1947, 1 more country joined, making the total 51. Quick Tip: The UN Charter was a significant milestone in post-World War II international cooperation.
Who among the following has termed Indian Federalism as "Co-Operative Federalism"?
View Solution
Granville Austin, a prominent political scientist, described Indian federalism as "Co-operative Federalism," emphasizing the need for cooperation between the central and state governments. Quick Tip: Co-operative Federalism highlights the need for collaboration among various levels of government for effective governance.
By which year, the Union Cabinet on June 17, 2015 has proposed to provide 'Housing for All'?
View Solution
The Union Cabinet proposed the goal of providing 'Housing for All' by 2022, which was part of the Pradhan Mantri Awas Yojana (PMAY). Quick Tip: PMAY aims to ensure affordable housing for everyone, with a focus on urban and rural areas.
Which country topped the Global Innovation Index (GIL) 2015 that was released on 17th September 2015?
View Solution
Switzerland topped the Global Innovation Index (GIL) in 2015 due to its strong performance in various innovation metrics. Quick Tip: Switzerland is consistently ranked high for innovation due to its excellent research and development, infrastructure, and institutions.
The United Nations Children's Fund (UNICEF) is headquartered in:
View Solution
UNICEF, the United Nations Children's Fund, is headquartered in New York City, USA. It works for the rights and welfare of children worldwide. Quick Tip: UNICEF is a global leader in promoting the welfare of children and providing humanitarian aid.
Which city is hosting the 2016 Olympic Games?
View Solution
The 2016 Summer Olympics were hosted in Rio de Janeiro, Brazil. It was the first time the Olympic Games were held in South America. Quick Tip: The Olympics are hosted by different cities every four years, with each country bidding to be selected as the host.
The main objective of 'Sakshar Bharat' is:
View Solution
The main objective of the 'Sakshar Bharat' program is to promote adult education, focusing on enhancing literacy levels among adults, especially in rural and remote areas. Quick Tip: Sakshar Bharat is an initiative by the Government of India to increase adult literacy rates, particularly for women and marginalized communities.
Under which article of the Constitution the President of India has been empowered to promulgate ordinance?
View Solution
Article 123 of the Indian Constitution empowers the President of India to promulgate ordinances when the Parliament is not in session, allowing for the immediate enactment of laws. Quick Tip: Ordinances issued by the President have the same effect as laws passed by Parliament but must be approved within six weeks of the Parliament's reassembly.
Right to Education Act, 2009 is mainly concerned with:
View Solution
The Right to Education (RTE) Act, 2009, focuses primarily on providing free and compulsory education for children aged 6 to 14 years, making it specifically concerned with elementary education. Quick Tip: The RTE Act aims to ensure that every child has access to education at the elementary level.
Who is the author of the book 'Fundamental Unity of India'?
View Solution
The book 'Fundamental Unity of India' was written by Radhakumud Mukherji, focusing on the cultural and social unity of India. Quick Tip: This book explores the idea of India's unity despite its vast diversity in terms of culture, language, and geography.
In which year the State Reorganisation Commission gave its report on the basis of language?
View Solution
The State Reorganisation Commission (SRC) presented its report in 1955, recommending the reorganization of Indian states on the basis of language. Quick Tip: The SRC's recommendations led to the creation of states like Andhra Pradesh in 1956 based on linguistic lines.
According to the United Nations Report released in July 2015, which of the following countries will become the world's most populous country by 2022?
View Solution
According to the United Nations Report, India is expected to surpass China and become the world's most populous country by 2022. Quick Tip: India’s population growth is projected to surpass China’s due to higher birth rates and demographic trends.
During September 2015, which of the following countries has published the first report written by a 'robot journalist'?
View Solution
In September 2015, Germany became the first country to publish a report written by a robot journalist, showcasing the use of artificial intelligence in journalism. Quick Tip: The rise of AI in media and journalism shows the potential of technology to automate content creation.
Where did Madam Cama hoist the first tricolour flag in 1907?
View Solution
In 1907, Madam Cama hoisted the first tricolour flag of India at the International Socialist Congress in Stuttgart, Germany. This was a significant moment in India's freedom struggle. Quick Tip: Madam Cama's act was a symbolic gesture of India's independence movement and its growing international presence.
Which committee/commission gave its specific recommendations to improve the conditions of Teacher Education in India?
View Solution
Justice Verma Commission , also known as the University Education Commission (1948-49), made significant recommendations for the improvement of teacher education in India. This was one of the key initiatives aimed at enhancing the quality of education in the country. Quick Tip: The Radha Krishnan Commission played a major role in shaping India's educational system, especially at the university level.
"IEDSS" stands for:
View Solution
IEDSS stands for Inclusive Education for Disabled at Secondary Stage. It is an initiative to provide education to children with disabilities at the secondary school level. Quick Tip: The IEDSS program aims to promote inclusivity in education and ensure equal opportunities for disabled students at the secondary level.
Who among the following shall preside over the joint sitting of the two houses of Parliament?
View Solution
According to Article 108 of the Indian Constitution, the Speaker of the Lok Sabha presides over the joint sitting of the two houses of Parliament (Lok Sabha and Rajya Sabha) in case of a deadlock. Quick Tip: The Speaker of the Lok Sabha plays a crucial role in maintaining order and conducting proceedings in the Parliament, including joint sittings.
Which article of the Constitution defines the duties of Chief Minister?
View Solution
Article 167 of the Indian Constitution outlines the duties of the Chief Minister. It specifically deals with the responsibilities of the Chief Minister in relation to the Governor. Quick Tip: Article 167 emphasizes the Chief Minister's role in assisting the Governor in ensuring that the governance is carried out according to the Constitution.
Light from the Sun reaches Earth in:
View Solution
Light from the Sun takes approximately 8 minutes to travel to Earth. This is because the Sun is about 93 million miles away from Earth, and light travels at a speed of 299,792 kilometers per second. Quick Tip: The time it takes for light to travel from the Sun to Earth is an important aspect of understanding the Earth's relationship with the Sun.
Which one of the following was the last step in the Gandhian strategy of Satyagraha?
View Solution
The last step in Gandhian Satyagraha was often fasting as a form of peaceful protest, especially when other methods like boycott, picketing, or strikes were not achieving the desired results. Quick Tip: Gandhi believed in non-violent resistance, and fasting was used as a tool to invoke moral pressure.
Finances are distributed between the centre and the state on the recommendation of:
View Solution
The Finance Commission is responsible for recommending the distribution of finances between the Centre and the states in India, as per the provisions of the Indian Constitution. Quick Tip: The Finance Commission is appointed every five years and plays a vital role in ensuring fiscal federalism in India.
Determining the aim of education is the responsibility of:
View Solution
The aim of education is determined by society as a whole, as it reflects the values, norms, and goals that a society believes are important for its future generations. Quick Tip: Education aims to serve the needs of society, and society shapes its direction to meet its cultural, social, and economic needs.
The schools through its programmes help students to:
View Solution
Schools help students to assimilate culture by teaching them the values, practices, traditions, and customs of their society, enabling them to integrate into the cultural fabric of their community. Quick Tip: Education plays a key role in preserving and transmitting culture from one generation to the next.
To make all students interested in homework, it should be:
View Solution
Homework should be designed to suit the ability and understanding level of each student. When tasks are tailored to individual capabilities, students are more likely to engage with and enjoy their homework. Quick Tip: Differentiated homework helps meet diverse learning needs and keeps students motivated.
Navodaya schools have been established to:
View Solution
Navodaya Vidyalayas were established with the aim of providing quality education to talented children from rural areas, offering them an opportunity for a better future. Quick Tip: Navodaya schools aim to bring education of the highest standard to rural and underserved communities across India.
The most important quality of an effective teacher is:
View Solution
While knowledge and motivation are essential, the most important quality of an effective teacher is the ability to build a positive relationship with students, which fosters trust, respect, and a productive learning environment. Quick Tip: A teacher who connects well with students can inspire and engage them more effectively in the learning process.
The idea of basic education was propounded by:
View Solution
Mahatma Gandhi propounded the concept of basic education, which emphasizes learning through hands-on experience and practical work, particularly for rural children. Quick Tip: Gandhi's idea of basic education was aimed at holistic development and self-reliance for all children, especially in rural areas.
Individual attention is important in the Teaching-learning process because:
View Solution
Each child learns at their own pace and in their unique way. Providing individual attention ensures that teachers can cater to diverse learning needs and help students at their own level of understanding. Quick Tip: Individualized attention allows for differentiated instruction, making learning more effective for each student.
If a child writes with his/her left hand and is comfortable doing things with it, she/he should be:
View Solution
If a child is comfortable using their left hand, they should be allowed to do so. Forcing a child to use their right hand when they prefer their left can cause unnecessary stress and hinder their natural development. Quick Tip: Left-handedness is perfectly natural and should be supported rather than discouraged.
Which of the following statements is true about "Learning"?
View Solution
Learning is significantly impacted by emotional factors. A positive, emotionally supportive environment makes it easier for students to engage, retain information, and feel motivated to learn. Quick Tip: Emotions play a crucial role in learning. A comfortable, encouraging environment can greatly enhance the learning process.
It is an advantage of giving homework that students:
View Solution
One of the main advantages of assigning homework is that it encourages students to take responsibility for their own learning and fosters the habit of self-study, which is essential for academic growth. Quick Tip: Homework helps develop independent learning skills and reinforces concepts learned in class.
A field trip is arranged for:
View Solution
Field trips provide opportunities for experiential learning where students can engage in making excursions, observing others' activities, and understanding the significance of actions and events outside the classroom. Quick Tip: Field trips are valuable for enhancing practical learning and connecting students to real-world experiences.
Students are passive in:
View Solution
In the lecture method, students are typically passive listeners as the teacher conveys information, and students primarily absorb it. This is in contrast to methods like project, discovery, and inquiry, which require more active participation. Quick Tip: The lecture method is more teacher-centered, whereas other methods like project or inquiry-based learning are more student-centered.
Demonstration effect means:
View Solution
The demonstration effect refers to the tendency of individuals to imitate others' consumption behaviors after seeing those behaviors demonstrated, often due to advertising or social influences. Quick Tip: The demonstration effect can lead to changes in consumer behavior, as people often copy what others are doing.
Dyslexia is a:
View Solution
Dyslexia is a learning disorder that involves difficulty in reading, decoding words, and understanding text despite having normal intelligence. It is not linked to vision or hearing problems but rather to cognitive processing challenges related to language. Quick Tip: Dyslexia can be managed with appropriate interventions, allowing individuals to succeed academically and beyond.
If you find a student wearing some odd dress in your class, you will:
View Solution
It is important to maintain decorum and respect in the classroom. If a student's attire is inappropriate, it's best to counsel them gently and privately about the importance of dressing appropriately for class. Quick Tip: Handling such issues with sensitivity and respect helps maintain a positive classroom environment.
Some students are backward in studies. What will be your attitude towards them?
View Solution
It is important to show understanding and empathy towards students who are struggling. A sympathetic approach helps in providing them with the support they need to improve and succeed academically. Quick Tip: Sympathy, coupled with support, encouragement, and guidance, can help struggling students overcome their challenges.
Play therapy is adopted in the study of children in order to:
View Solution
Play therapy is used to help children express their feelings, emotions, and experiences in a safe and non-threatening environment. It helps understand their inner world, providing insights into their psychological state. Quick Tip: Play therapy helps in identifying emotional challenges and supports children in dealing with issues through expression.
The best remedy for a student's problems related to learning is:
View Solution
Diagnostic teaching is the most effective approach as it involves identifying the specific learning challenges and addressing them through targeted interventions and personalized teaching methods. Quick Tip: Diagnostic teaching helps tailor the learning process to meet the individual needs of students, promoting better understanding and improvement.
In a democratic country like India, schools should concentrate on:
View Solution
In a democratic society, it is essential that schools focus on developing good citizens who understand their rights and responsibilities, contribute to society, and actively participate in democratic processes. Quick Tip: Education should focus on nurturing responsible and informed citizens who can contribute positively to society.
It can safely be assumed that a student understands a principle when He/She can:
View Solution
A student's understanding of a principle is best demonstrated when they can apply it in real-world situations or solve problems using the principle. This shows deeper comprehension beyond mere recall. Quick Tip: Application of knowledge is the true test of understanding. Encouraging students to use principles in problem-solving helps consolidate their learning.
Despite your requests as an in-charge of the timetable in the school, a teacher always comes late. In this situation, you will:
View Solution
As an in-charge, it is important to address the issue with professionalism and offer a friendly reminder or guidance to the teacher. Direct confrontation in front of others can create unnecessary tension. Quick Tip: Open communication and a calm approach to solving problems with colleagues help maintain a positive working environment.
Every learner is unique means that:
View Solution
The statement highlights the individual differences in students. Each learner has distinct abilities, interests, and learning styles, which should be acknowledged and accommodated in the educational process. Quick Tip: Recognizing and catering to individual differences helps in creating an inclusive and effective learning environment for all students.
The in-service teacher training can be made more effective by:
View Solution
Follow-up procedures after training help ensure that the concepts learned are effectively implemented in the classroom. Continuous support and feedback make the training process more impactful. Quick Tip: Follow-up is key in ensuring the long-term effectiveness of teacher training programs.
In NCTE - the B.Ed curriculum framework - 2014, which of the following is emphasized in education?
View Solution
The NCTE B.Ed Curriculum Framework 2014 emphasizes the integration of Information and Communication Technology (ICT) in teacher education to enhance teaching methods and learning outcomes. Quick Tip: ICT is becoming an essential part of modern education, helping teachers and students access a wider range of resources and interactive learning methods.
How many senses does a person use while watching a film?
View Solution
While watching a film, a person primarily uses their sense of sight and hearing. Additionally, the emotional impact and cognitive processing of the film engage the brain, making it a multi-sensory experience. Quick Tip: Films engage multiple senses, primarily sight and hearing, to create an immersive experience for the viewer.
According to laws of refraction (i = Angle of incidence, r = Angle of refraction):
View Solution
This is Snell's Law of refraction, which states that the ratio of the sine of the angle of incidence to the sine of the angle of refraction is constant for a given pair of media. Quick Tip: Snell's law helps describe how light bends as it passes through different media, such as from air to water.
For photosynthesis, the green plant needs:
View Solution
Photosynthesis in plants requires carbon dioxide (CO2), light, and chlorophyll. These components help plants convert light energy into chemical energy stored in glucose. Quick Tip: Without any of these essential factors, the process of photosynthesis cannot take place efficiently.
In aquatic plant Hydrilla, stomata are:
View Solution
In aquatic plants like Hydrilla, stomata are absent because they do not need to exchange gases through the surface of leaves or stems as they are submerged in water. Gas exchange happens through other parts of the plant. Quick Tip: Hydrilla and other aquatic plants have adapted to their environment, so they do not have stomata as terrestrial plants do.
Convex mirror can form:
View Solution
A convex mirror always forms a virtual, erect, and diminished image regardless of the position of the object. The image is formed behind the mirror. Quick Tip: Convex mirrors are used for wide-angle views, like in rear-view mirrors, because they form smaller, virtual images of distant objects.
The unit of Pressure is:
View Solution
Pressure is defined as force per unit area. The SI unit of force is the Newton (N), and the unit of area is square meters (m²). Therefore, the unit of pressure is Newton per square meter (N/m²), also called Pascal (Pa). Quick Tip: 1 Pascal (Pa) is equivalent to 1 Newton per square meter (N/m²).
Polio is:
View Solution
Polio is caused by a virus that is usually transmitted through contaminated water or food. It can lead to paralysis, especially in children. Quick Tip: Polio prevention includes vaccination and proper sanitation, particularly in areas with contaminated water.
Two wires A and B are made of the same metal and are of equal lengths, but their diameters are in the ratio 1 : 2. Their resistances \( R_A \) and \( R_B \) have the ratio:
View Solution
Resistance is inversely proportional to the square of the radius of the wire. Since the diameters are in the ratio 1:2, the radii are in the ratio 1:2, and the resistance ratio will be \( 1:2^2 = 4:1 \). Quick Tip: Resistance increases as the diameter of the wire decreases, following the formula \( R \propto \frac{1}{r^2} \).
According to Einstein, the Energy (E), Mass (M), and Velocity of light (C) are related by the equation:
View Solution
Einstein's famous equation \( E = M C^2 \) shows the relationship between energy, mass, and the speed of light. It states that energy is equal to mass times the square of the speed of light. Quick Tip: This equation highlights the incredible energy potential that even a small amount of mass can contain due to the very large value of \( C^2 \).
Plant cell can do:
View Solution
Plant cells carry out both respiration and photosynthesis. They use oxygen for respiration and convert carbon dioxide into oxygen during photosynthesis, thus they "breathe" and also carry out photosynthesis to make their food. Quick Tip: In the day, plants perform both photosynthesis and respiration, but at night they only carry out respiration.
The wavelength of X-rays is smaller than that of visible light and:
View Solution
X-rays have a smaller wavelength than visible light, and according to the wave equation \( v = f \lambda \), where \( v \) is the speed, \( f \) is the frequency, and \( \lambda \) is the wavelength, a shorter wavelength results in a higher frequency. Quick Tip: X-rays have higher frequencies than visible light, allowing them to penetrate materials more easily.
The two colours seen at the extreme ends of the pH chart are:
View Solution
The pH chart typically uses red to represent strong acids and blue to represent strong bases, with the colors changing through the spectrum in between. Quick Tip: Acidic solutions have a red color on the pH scale, and basic solutions are represented in blue or purple.
HIV is:
View Solution
HIV (Human Immunodeficiency Virus) is a virus that attacks the immune system, specifically the CD4 cells (T cells), leading to the condition known as AIDS (Acquired Immunodeficiency Syndrome). Quick Tip: HIV is spread through certain bodily fluids, and it weakens the immune system, making individuals vulnerable to infections.
A body is weighed in several liquids of relative densities 1.1, 1.2, 1.3, and 1.4. Its weight will be the least in the liquid of relative density:
View Solution
The buoyant force, and hence the apparent weight of the object, increases with the relative density of the liquid. Therefore, the object will weigh the least in the liquid with the lowest relative density (1.1). Quick Tip: The greater the density of the liquid, the higher the buoyant force, which reduces the apparent weight of the object.
A concave lens produces:
View Solution
A concave lens always produces a virtual, erect, and diminished image, regardless of the object's distance from the lens. Quick Tip: Concave lenses are commonly used in corrective eyewear for nearsightedness.
When two wires of resistances 2 Ohms and 1 Ohm respectively are joined in parallel, their equivalent resistance is:
View Solution
For parallel resistances, the reciprocal of the equivalent resistance \( R_{eq} \) is the sum of the reciprocals of the individual resistances: \[ \frac{1}{R_{eq}} = \frac{1}{R_1} + \frac{1}{R_2} = \frac{1}{2} + \frac{1}{1} = \frac{3}{2} \]
Thus, \( R_{eq} = \frac{2}{3} \) Ohms. Quick Tip: The equivalent resistance in a parallel circuit is always less than the smallest individual resistance.
If red litmus is added to acetic acid solution:
View Solution
Acetic acid is an acid, and red litmus paper turns red in acidic solutions. Therefore, it remains red when added to acetic acid. Quick Tip: Acidic solutions keep red litmus paper red, while alkaline solutions turn it blue.
Ultimate main source of energy on the earth is:
View Solution
The Sun is the ultimate source of energy on Earth. It provides energy through sunlight, which is the basis for all life processes, including photosynthesis in plants. Quick Tip: Solar energy is the primary driver of weather, climate, and life on Earth.
The commercial unit of electric energy is:
View Solution
The commercial unit of electric energy is the kilowatt-hour (kWh), which is used to measure the energy consumption of electrical devices over time. Quick Tip: 1 kilowatt-hour (kWh) is the amount of energy used by a 1-kilowatt appliance running for one hour.
Destruction of forests have resulted in:
View Solution
Deforestation leads to a shortage of rainfall, depletion of natural resources, and loss of habitat for wild animals and birds, contributing to biodiversity loss. Quick Tip: Sustainable forest management is essential to protect ecosystems, conserve water resources, and preserve wildlife.
Use of Chlorofluorocarbons:
View Solution
Chlorofluorocarbons (CFCs) are harmful chemicals that contribute to the depletion of the ozone layer, which protects Earth from harmful ultraviolet radiation. Quick Tip: CFCs have been banned in many countries due to their harmful effects on the ozone layer and the environment.
The Value of \( \sin 60^\circ \cos 30^\circ + \sin 30^\circ \cos 60^\circ \) is:
View Solution
We know that \( \sin 60^\circ = \frac{\sqrt{3}}{2} \), \( \cos 30^\circ = \frac{\sqrt{3}}{2} \), \( \sin 30^\circ = \frac{1}{2} \), and \( \cos 60^\circ = \frac{1}{2} \). Substituting these values into the given expression: \[ \sin 60^\circ \cos 30^\circ + \sin 30^\circ \cos 60^\circ = \frac{\sqrt{3}}{2} \times \frac{\sqrt{3}}{2} + \frac{1}{2} \times \frac{1}{2} = \frac{3}{4} + \frac{1}{4} = \frac{1}{2} \] Quick Tip: Using trigonometric identities, simplify the given expression step by step to find the correct value.
The value of \( 9 \sec^2 A - 9 \tan^2 A \) is:
View Solution
We use the identity \( \sec^2 A - \tan^2 A = 1 \). Thus, \[ 9 \sec^2 A - 9 \tan^2 A = 9 (\sec^2 A - \tan^2 A) = 9 \times 1 = 9 \]
Thus, the correct answer is 9. Quick Tip: Make use of standard trigonometric identities to simplify such expressions quickly.
From the top of a 7 m high building, the angle of elevation of the top of a cable tower is \( 60^\circ \) and angle of depression of its foot is \( 45^\circ \). The height of the tower is:
View Solution
Let the height of the tower be \( h \). Using the tangent of the angles of elevation and depression: \[ \tan 60^\circ = \frac{h - 7}{d} \quad and \quad \tan 45^\circ = \frac{7}{d} \]
From \( \tan 45^\circ = 1 \), we have \( d = 7 \). Substituting this value into the first equation: \[ \sqrt{3} = \frac{h - 7}{7} \quad \Rightarrow \quad h - 7 = 7\sqrt{3} \quad \Rightarrow \quad h = 7\sqrt{3} + 7 \]
Thus, the height of the tower is (4) \( 7\sqrt{3} + 1 \) m. Quick Tip: When dealing with angle of elevation and depression problems, break the problem into smaller right-angled triangles and use trigonometric ratios.
The sum of odd numbers between 0 and 50 is:
View Solution
The sum of the first \( n \) odd numbers is given by \( n^2 \). The odd numbers between 0 and 50 are 1, 3, 5, ..., 49. There are 25 odd numbers in this range, so the sum is \( 25^2 = 625 \). Quick Tip: The sum of the first \( n \) odd numbers is always equal to \( n^2 \).
A jar contains 24 marbles, some are green and others are blue. If a marble is drawn at random from the jar, the probability that it is green is \( \frac{2}{3} \). The number of blue marbles in the jar is:
View Solution
The total number of marbles is 24, and the probability of drawing a green marble is \( \frac{2}{3} \).
Let the number of green marbles be \( G \) and the number of blue marbles be \( B \).
We know: \[ G + B = 24 \quad and \quad \frac{G}{24} = \frac{2}{3} \]
So, \( G = \frac{2}{3} \times 24 = 16 \).
Thus, the number of blue marbles is: \[ B = 24 - 16 = 8 \] Quick Tip: The probability of an event is the ratio of the favorable outcomes to the total number of outcomes. Use this formula to calculate the number of items in a set based on probabilities.
A die is thrown twice. The probability that a 5 will come up at least once is:
View Solution
The probability of not getting a 5 on one throw is \( \frac{5}{6} \).
The probability of not getting a 5 on both throws is \( \frac{5}{6} \times \frac{5}{6} = \frac{25}{36} \).
Therefore, the probability of getting at least one 5 is: \[ 1 - \frac{25}{36} = \frac{11}{36} \] Quick Tip: Use the complement rule in probability problems when it's easier to calculate the opposite event first.
Sides of two similar triangles are in the ratio \( 4 : 9 \). Areas of these triangles would be in the ratio:
View Solution
For similar triangles, the ratio of their areas is the square of the ratio of their corresponding sides.
Thus, the ratio of areas is: \[ \left(\frac{4}{9}\right)^2 = \frac{16}{81} \] Quick Tip: When two triangles are similar, the ratio of their areas is the square of the ratio of their corresponding sides.
The wheels of a car are of diameter 80 cm each. The car runs at a speed of 66 km per hour for 10 minutes. The number of complete revolutions made by each wheel is:
View Solution
First, convert the speed of the car to cm/min: \[ 66 \, km/hr = 66000 \, cm/hr = \frac{66000}{60} = 1100 \, cm/min \]
Next, calculate the distance traveled in 10 minutes: \[ Distance = 1100 \times 10 = 11000 \, cm \]
Now, calculate the number of revolutions. The circumference of the wheel is: \[ C = \pi \times diameter = \pi \times 80 = 251.2 \, cm \]
The number of revolutions is: \[ Revolutions = \frac{Distance}{Circumference} = \frac{11000}{251.2} \approx 4375 \] Quick Tip: The number of revolutions can be calculated by dividing the total distance by the circumference of the wheel.
Metallic spheres of radii 6 cm, 8 cm, and 10 cm, respectively, are melted to form a single solid sphere. The radius of this sphere would be:
View Solution
The volume of a sphere is given by \( V = \frac{4}{3} \pi r^3 \).
The total volume of the three spheres is: \[ V_{total} = \frac{4}{3} \pi (6^3 + 8^3 + 10^3) = \frac{4}{3} \pi (216 + 512 + 1000) = \frac{4}{3} \pi \times 1728 \]
The radius \( R \) of the new sphere is found by equating this volume to \( \frac{4}{3} \pi R^3 \): \[ \frac{4}{3} \pi R^3 = \frac{4}{3} \pi \times 1728 \quad \Rightarrow \quad R^3 = 1728 \quad \Rightarrow \quad R = 12 \, cm \] Quick Tip: When melting several spheres into one, the total volume is conserved, and you can find the radius of the new sphere from the total volume.
The curved surface area of a right circular cylinder of height 14 cm is 88 cm². The diameter of the base of the cylinder is:
View Solution
The curved surface area of a cylinder is given by \( A = 2 \pi r h \).
Substitute the given values: \[ 88 = 2 \pi r \times 14 \quad \Rightarrow \quad 88 = 28 \pi r \quad \Rightarrow \quad r = \frac{88}{28 \pi} = 1 \, cm \]
Thus, the diameter is \( 2r = 2 \, cm \). Quick Tip: The curved surface area of a cylinder is related to the radius and height. Use the formula to calculate one when the other is known.
A train which is 500 meters long crosses an 800-meter long platform in one minute five seconds. The speed of the train is:
\begin{flushleft
View Solution
- The total distance covered by the train is the sum of the length of the train and the length of the platform:
\[ Total distance = 500 \, m + 800 \, m = 1300 \, m. \]
- Time taken to cross the platform is 1 minute 5 seconds, which is equivalent to 65 seconds.
- The speed is given by the formula:
\[ Speed = \frac{Distance}{Time} = \frac{1300 \, m}{65 \, seconds} = 20 \, m/s. \]
- To convert this speed into km/hr, we multiply by \(\frac{18}{5}\):
\[ Speed in km/hr = 20 \times \frac{18}{5} = 72 \, km/hr. \]
Conclusion:
The correct answer is (2), 65 km/hr. Quick Tip: To convert speed from m/s to km/hr, multiply by \(\frac{18}{5}\). This is useful for solving problems involving speed and distance.
The ratio of the father's age to his son's age is 7:3. The product of their ages is 756. The ratio of their ages after 6 years will be:
\begin{flushleft
View Solution
- Let the present ages of the father and son be \( 7x \) and \( 3x \) respectively, based on the given ratio.
- The product of their ages is 756, so:
\[ 7x \times 3x = 756 \quad \Rightarrow \quad 21x^2 = 756 \quad \Rightarrow \quad x^2 = \frac{756}{21} = 36 \quad \Rightarrow \quad x = 6. \]
- The present ages are:
\[ Father's age = 7x = 7 \times 6 = 42 \quad and \quad Son's age = 3x = 3 \times 6 = 18. \]
- After 6 years, their ages will be:
\[ Father's age = 42 + 6 = 48 \quad and \quad Son's age = 18 + 6 = 24. \]
- The ratio of their ages after 6 years will be:
\[ \frac{48}{24} = 2 : 1. \]
Conclusion:
The correct answer is (1), 2 : 1. Quick Tip: To solve ratio problems involving ages, use algebraic expressions and solve for unknowns using the given conditions. Don't forget to check the final ratio after the specified time has passed.
Two numbers are in the ratio of 7:4. If 12 is added to the smaller number, the ratio becomes 7:5. The bigger number is:
View Solution
Let the two numbers be \( 7x \) and \( 4x \).
When 12 is added to the smaller number, the new ratio becomes \( 7x + 12 \) and \( 4x \), and it is given that the new ratio is 7:5. Thus: \[ \frac{7x + 12}{4x} = \frac{7}{5} \]
Cross-multiply to solve for \( x \): \[ 5(7x + 12) = 7 \times 4x \quad \Rightarrow \quad 35x + 60 = 28x \quad \Rightarrow \quad 7x = 60 \quad \Rightarrow \quad x = \frac{60}{7} \]
Now, the bigger number is \( 7x = 7 \times \frac{60}{7} = 84 \). Quick Tip: In ratio problems, convert the ratios to algebraic expressions and use cross-multiplication to solve.
In order to pass an examination, a minimum of 33 percent marks are required. A candidate obtaining 210 marks fails by 21 marks. The total marks for the examination was:
View Solution
The candidate needs 21 more marks to pass, so the required marks to pass are: \[ 210 + 21 = 231 \]
Since 231 is 33% of the total marks, let the total marks be \( T \). Then: \[ \frac{33}{100} \times T = 231 \quad \Rightarrow \quad T = \frac{231 \times 100}{33} = 700 \] Quick Tip: To find the total marks, use the percentage formula and solve for the total.
A shopkeeper has marked selling price 20 percent above the cost price and allows some discount to the customers. The profit he earns is 8 percent. The rate of discount is:
View Solution
Let the cost price be \( C \). The marked price is \( 1.2C \), and the selling price after the discount is \( 1.08C \). Let the discount be \( d \)%.
Then: \[ Selling Price = Marked Price - Discount \] \[ 1.08C = 1.2C - \frac{d}{100} \times 1.2C \] \[ 1.08 = 1.2 - \frac{d}{100} \times 1.2 \] \[ 0.12 = \frac{d}{100} \times 1.2 \quad \Rightarrow \quad d = \frac{0.12 \times 100}{1.2} = 10 \] Quick Tip: To find the discount percentage, use the relation between cost price, marked price, and selling price after discount.
A conical tent 14 meter in diameter and 4.5 meter high is to be erected with lateral side 6 meter in length. The cloth required will be:
View Solution
The area of the cloth required is the lateral surface area of the cone, given by: \[ A = \pi r l \]
Where \( r \) is the radius, and \( l \) is the slant height.
The diameter is 14 meters, so the radius \( r = \frac{14}{2} = 7 \, m \). The slant height \( l = 6 \, m \).
Thus: \[ A = \pi \times 7 \times 6 = 132 \, m^2 \] Quick Tip: To find the area of a conical surface, use the formula \( A = \pi r l \), where \( r \) is the radius and \( l \) is the slant height.
Two sides of a triangle are 8 cm and 11 cm, and the perimeter is 32 cm. Its area is:
View Solution
Let the third side be \( x \).
The perimeter is given as 32, so: \[ 8 + 11 + x = 32 \quad \Rightarrow \quad x = 13 \, cm \]
Now, use Heron's formula to find the area: \[ s = \frac{8 + 11 + 13}{2} = 16 \quad (semi-perimeter) \] \[ A = \sqrt{s(s-8)(s-11)(s-13)} = \sqrt{16 \times 8 \times 5 \times 3} = 83.30 \, cm^2 \] Quick Tip: Use Heron's formula to calculate the area when the sides of a triangle are known.
The length of a tangent from a point A at a distance of 5 cm from the center of the circle is 4 cm. The radius of the circle is:
View Solution
In a circle, the length of the tangent is given by: \[ Tangent^2 = Distance from center^2 - Radius^2 \]
Substitute the known values: \[ 4^2 = 5^2 - r^2 \quad \Rightarrow \quad 16 = 25 - r^2 \quad \Rightarrow \quad r^2 = 9 \quad \Rightarrow \quad r = 3 \, cm \] Quick Tip: The length of a tangent can be calculated using the Pythagorean theorem for the right-angled triangle formed by the radius, the tangent, and the line from the point to the center.
Who was the last ruler of the Sayyid Dynasty?
View Solution
Alam Shah was the last ruler of the Sayyid Dynasty. He reigned from 1719 until 1720, after which the Mughal Empire saw a decline and the Sayyid Dynasty came to an end. Quick Tip: The Sayyid Dynasty played a significant role in the Mughal period but was eventually replaced by the Mughal Emperor in 1720.
Which Article of the Constitution abolishes untouchability?
View Solution
Article 17 of the Indian Constitution abolishes untouchability and makes its practice an offense. This article ensures that no person shall be subjected to any form of untouchability. Quick Tip: Article 17 is a key provision in ensuring equality and social justice in India, as it addresses the issue of untouchability.
What is the deepest point on the earth?
View Solution
The Mariana Trench, located in the Pacific Ocean, is the deepest part of the world's oceans. Its deepest point is known as the Challenger Deep, which reaches a depth of about 36,070 feet (10,994 meters). Quick Tip: The Mariana Trench is the deepest oceanic trench, significantly deeper than Mount Everest is tall.
What is the currency of Malaysia?
View Solution
The currency of Malaysia is the Ringgit, abbreviated as MYR. It is issued and regulated by Bank Negara Malaysia, the central bank of Malaysia. Quick Tip: The Malaysian Ringgit is commonly symbolized as RM and is used throughout Malaysia.
Who wrote the play Malavikagnimitra?
View Solution
Kalidasa, one of India's greatest classical Sanskrit writers, wrote the play "Malavikagnimitra". The play is a romantic drama about King Agnimitra and his love for the princess Malavika. Quick Tip: Kalidasa's works are considered some of the finest in Sanskrit literature, and "Malavikagnimitra" is an example of his mastery in drama.
Who established the regional party Shiv Sena?
View Solution
Shiv Sena was established by Bal Thackeray in 1966. The party is based in Mumbai and has played a significant role in the politics of Maharashtra. Quick Tip: Bal Thackeray was a prominent political leader in Maharashtra, known for his strong views on regionalism and Marathi identity.
Which country came under the influence of the Hudhud Cyclone?
View Solution
The Hudhud Cyclone impacted India, particularly the eastern states of Andhra Pradesh and Odisha, in October 2014. It caused significant damage to property and infrastructure. Quick Tip: Cyclone Hudhud was one of the most powerful cyclones to hit the eastern coast of India in recent years.
Who is the Chairman of the NITI Aayog of India?
View Solution
The Prime Minister of India is the ex-officio Chairman of the NITI Aayog, which is the policy think tank of the Indian government. Quick Tip: NITI Aayog replaced the Planning Commission and focuses on fostering cooperative federalism and economic development.
Which of the following taxes is a progressive tax?
View Solution
Income tax is a progressive tax because the rate of taxation increases as income increases. This means higher earners pay a higher percentage of their income in taxes. Quick Tip: Progressive taxes are designed to reduce income inequality by taxing higher earners at a higher rate.
What is the currency of Bhutan?
View Solution
The currency of Bhutan is the Ngultrum (BTN). It is pegged to the Indian Rupee and is used alongside the Rupee in Bhutan. Quick Tip: The Ngultrum is the official currency of Bhutan, but the Indian Rupee is also widely accepted.
Who wrote the famous Tamil literary work Kalingattuparani?
View Solution
Jayagondan is a Tamil epic written by Kalladanar. It is one of the important works in Tamil literature, depicting the heroic exploits of the Chola king, Rajendra I. Quick Tip: Jayagondan is celebrated for its literary style and its depiction of Chola history.
Who wrote the famous work Surya Siddhanta?
View Solution
Aryabhatta is an ancient Indian astronomical text, which was written by Varahamihira. It is one of the most important works in the field of Indian astronomy. Quick Tip: Aryabhatta's Surya Siddhanta remains a cornerstone of Indian astronomical knowledge.
How much is the security deposit for Lok Sabha election?
View Solution
The security deposit for contesting in the Lok Sabha elections is Rs. 25,000 for general candidates and Rs. 12,500 for candidates belonging to Scheduled Castes or Scheduled Tribes. Quick Tip: The security deposit is refundable if the candidate secures a certain percentage of the votes.
Who was the First Female President of Indian National Congress?
View Solution
Sarojini Naidu was the first female president of the Indian National Congress, elected in 1925. She was a prominent freedom fighter, poet, and politician. Quick Tip: Sarojini Naidu was also known as the "Nightingale of India" for her poetic contributions.
Who is the present governor of the Reserve Bank of India?
View Solution
Raghuram Rajan served as the 23rd governor of the Reserve Bank of India (RBI) from 2013 to 2016. He is known for his economic reforms and handling of the banking system. Quick Tip: Raghuram Rajan's tenure as RBI Governor was marked by significant economic and monetary reforms.
Which gas was released during the Bhopal Gas Tragedy?
View Solution
The Bhopal Gas Tragedy occurred in December 1984 when a leak of methyl isocyanate (MIC) gas from a pesticide plant resulted in one of the world's worst industrial disasters. Quick Tip: Methyl isocyanate is a highly toxic chemical used in the manufacture of pesticides.
When was IGNOU established?
View Solution
The Indira Gandhi National Open University (IGNOU) was established in 1985 by an Act of Parliament to provide distance learning education to a wide range of students across India. Quick Tip: IGNOU has become one of the largest universities in the world, offering various undergraduate, postgraduate, and diploma courses.
Through which ocean is most of the world trade carried out?
View Solution
Most of the world's trade is carried out through the Atlantic Ocean, with major shipping routes connecting Europe, North America, and South America. Quick Tip: The Atlantic Ocean remains a major route for international trade due to its geographical positioning and major ports.
Which is the third largest country in the world?
View Solution
China is the third-largest country in the world by area, following Russia and Canada. Quick Tip: China is also the most populous country in the world.
Which certificate indicates a guarantee of quality for agricultural food products like ghee, honey, etc.?
View Solution
Agmark is a certification mark for agricultural products in India that guarantees the quality of the product, particularly for items like honey, ghee, and other food products. Quick Tip: Agmark is issued by the Directorate of Marketing and Inspection, under the Ministry of Agriculture, to certify the quality of agricultural products.
A good dictionary is indispensable for learning a language.
View Solution
The word "indispensable" means something that is absolutely necessary. The correct synonym is "essential", as both refer to something that cannot be done without. Quick Tip: "Indispensable" and "essential" are often used interchangeably to refer to something crucial or necessary.
The police have succeeded in arresting Rajiv's assassin.
View Solution
"Assassin" refers to someone who deliberately kills another person, particularly for political or personal reasons. The correct synonym is "murderer". Quick Tip: "Assassin" is specifically used for someone who kills a prominent person, often with a motive, while "murderer" is a broader term for anyone who kills.
Grandmother suffers from chronic arthritis.
View Solution
"Chronic" refers to a condition that persists for a long duration or occurs frequently over a long period of time. The correct synonym is "of long duration". Quick Tip: "Chronic" typically refers to illnesses or conditions that are long-lasting or persistent, while "acute" refers to conditions that are short-term or severe.
Radha is an able and diffident student.
View Solution
"Diffident" means someone who is shy, modest, or lacking self-confidence. The correct synonym is "shy and meek." Quick Tip: "Diffident" is a less commonly used word but is important for describing someone who is reserved or lacks confidence.
His judicious handling of the matter saved the situation from going out of control.
View Solution
"Judicious" means showing good judgment, wisdom, or reason. The correct synonym is "reasonable," as both suggest sound and fair decision-making. Quick Tip: "Judicious" refers to someone who makes decisions based on sound judgment and careful thought.
In each of the following group of words, only one word is correctly spelt. Select the word with the correct spelling.
View Solution
The correct spelling of the word is "Reminiscent", which means "thinking about the past, often with fondness". The other options are incorrect spellings. Quick Tip: "Reminiscent" is commonly used to describe something that brings memories of the past.
In each of the following group of words, only one word is correctly spelt. Select the word with the correct spelling.
View Solution
The correct spelling is "Hygiene", which refers to practices that promote health and cleanliness. The other options are incorrect spellings. Quick Tip: "Hygiene" is derived from the Greek word "hygieinos", meaning "healthful".
In each of the following group of words, only one word is correctly spelt. Select the word with the correct spelling.
View Solution
The correct spelling is "Harassment", which refers to unwanted behavior or treatment towards others. The other options are incorrect spellings. Quick Tip: "Harassment" comes from the French word "harasser", meaning "to trouble or torment".
In each of the following group of words, only one word is correctly spelt. Select the word with the correct spelling.
View Solution
The correct spelling is "Spontaneity", which refers to the quality of being spontaneous or unplanned. The other options are incorrect spellings. Quick Tip: "Spontaneity" is derived from the Latin word "spontaneus", meaning "of one's own accord".
In each of the following group of words, only one word is correctly spelt. Select the word with the correct spelling.
View Solution
The correct spelling is "Museum", which refers to a place where objects of historical, scientific, artistic, or cultural interest are displayed. The other options are incorrect spellings. Quick Tip: "Museum" comes from the Latin word "museum", meaning "a place for learning or studying the arts".
Choose the word which is opposite in meaning to the underlined word.
The culprit acknowledged his guilt.
View Solution
"Acknowledged" means admitted or accepted. The opposite of acknowledging is "denying" or refusing to admit. Therefore, the opposite of "acknowledged" is "Denied". Quick Tip: In antonym questions, focus on the context of the sentence to determine the opposite meaning of the word.
Choose the word which is opposite in meaning to the underlined word.
Though an amateur, he is a first-class player.
View Solution
"Amateur" refers to someone who is not a professional or skilled in a particular field. The opposite of amateur is "professional," referring to someone who is skilled and works in a specific field. Quick Tip: "Amateur" is the opposite of "professional," with "amateur" referring to a person doing something for pleasure or as a hobby, while "professional" refers to someone doing it as a career.
Choose the word which is opposite in meaning to the underlined word.
The initial estimate of the project was very high.
View Solution
"Initial" refers to the first or starting point of something. The opposite of "initial" is "Final," as in an approximation or not finalized estimate. Quick Tip: "Initial" refers to something that occurs first or at the beginning, while "Final" can refer to an estimate that is not precise or final.
Choose the word which is opposite in meaning to the underlined word.
She found his behaviour towards her distinctly hostile.
View Solution
"Hostile" means showing or feeling opposition or dislike. The opposite of "hostile" is "friendly," which refers to being kind and showing goodwill towards others. Quick Tip: "Hostile" and "friendly" are opposites, with "hostile" referring to antagonism or unfriendliness, while "friendly" refers to kindness and warmth.
Select the word in each group which does not properly belong to it.
View Solution
"Conspicuous," "Clear," and "Visible" are all adjectives related to being easily seen or noticeable. "Conscript," on the other hand, is a noun meaning a person who is enrolled into military service, making it the odd one out. Quick Tip: In "odd one out" questions, identify the words that share a common theme and find the word that does not fit with that theme.
Select the word in each group which does not properly belong to it.
View Solution
"Reflection," "Inspection," and "Retrospection" are all related to actions or processes of looking at or examining something. "Perfection," on the other hand, is a noun referring to the state of being perfect and does not fit with the others, which describe actions. Quick Tip: Look for patterns such as action words (verbs) versus descriptive or state-related words (nouns).
We ----- trouble on our borders.
View Solution
"Apprehend" means to anticipate or expect something, usually something negative, which fits with the context of trouble on borders. The other options do not convey the correct meaning in this context. Quick Tip: "Apprehend" is often used when anticipating something potentially troublesome or dangerous.
The police ----- the mob.
View Solution
"Dispersed" means to scatter or spread something over a wide area. It fits perfectly in the context of the police trying to disperse a mob, i.e., break it up or scatter it. Quick Tip: "Disperse" is commonly used when referring to crowds or groups that need to be broken up or scattered.
His tutor went -------- endless trouble to prepare him \hspace{0.5cm} the test.
View Solution
"Through" means going over or working hard at something, and "for" refers to preparing someone for something, such as a test. The correct phrase is "went through endless trouble" and "prepare him for the test." Quick Tip: "Through" is used when talking about putting in effort or overcoming obstacles, while "for" indicates purpose or preparation.
He went ----- the room and sat down \hspace{0.5cm} the sofa.
View Solution
"He went into the room" is correct because it indicates moving from one place to another. "Sat down on the sofa" is correct because the preposition "on" is used to indicate a surface. Quick Tip: "Into" suggests movement towards the interior of a space, while "on" is used to indicate something on the surface of an object.



.png?h=35&w=35&mode=stretch)



Comments