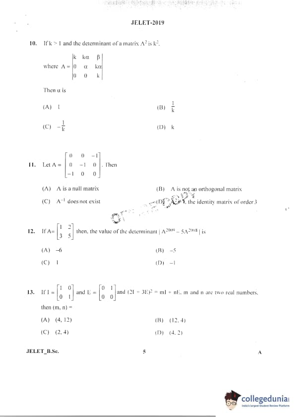
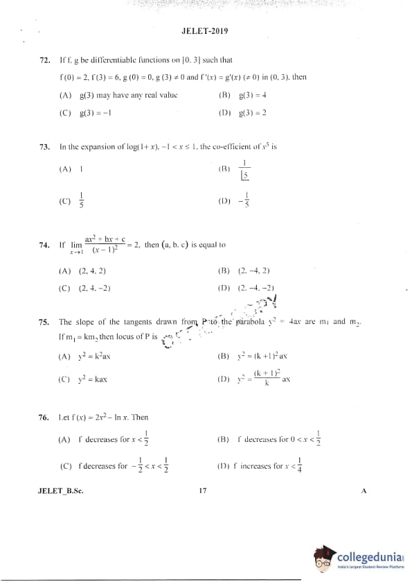
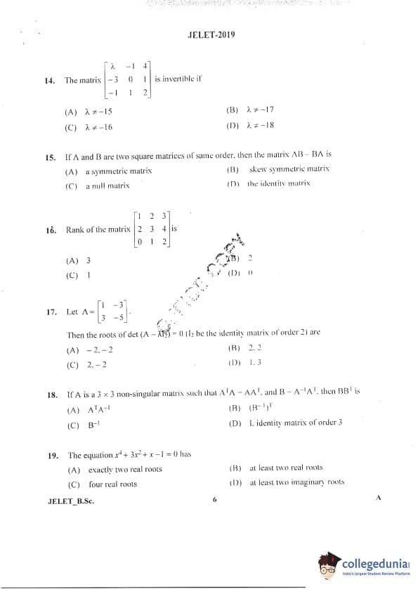
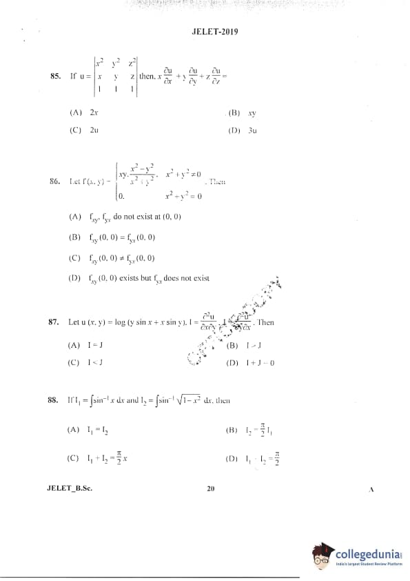
JELET 2019 BSc Question paper with answer key pdf conducted on July 14, 2019 is available for download. The exam was successfully organized by WBJEEB. The question paper comprised a total of 100 questions.
JELET 2019 BSc Question Paper with Answer Key PDFs
| JELET 2019 BSc Question Paper PDF | JELET 2019 BSc Answer Key PDF |
|---|---|
| Download PDF | Available Soon |







Comments