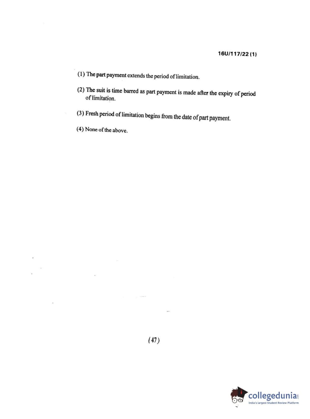
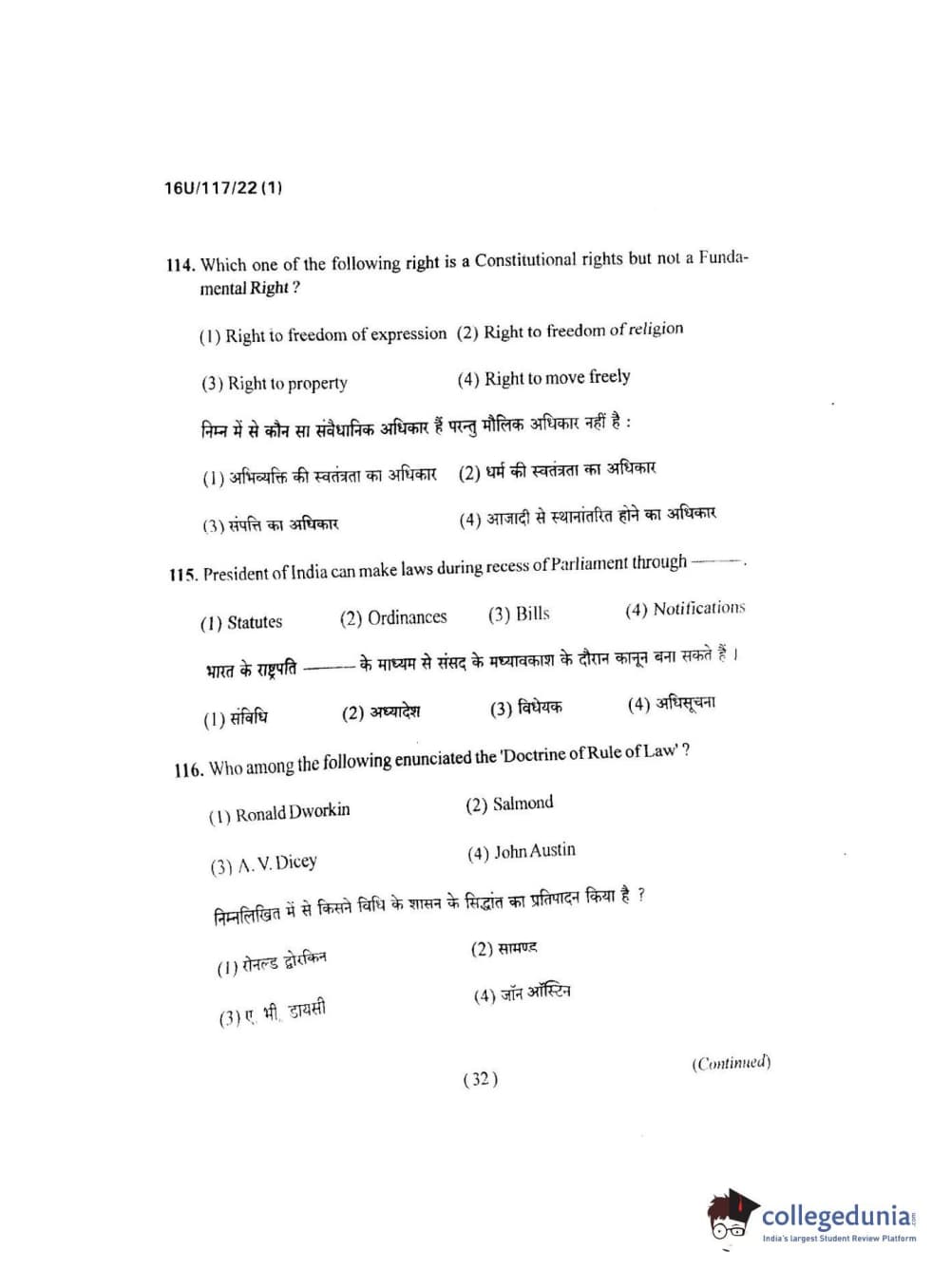
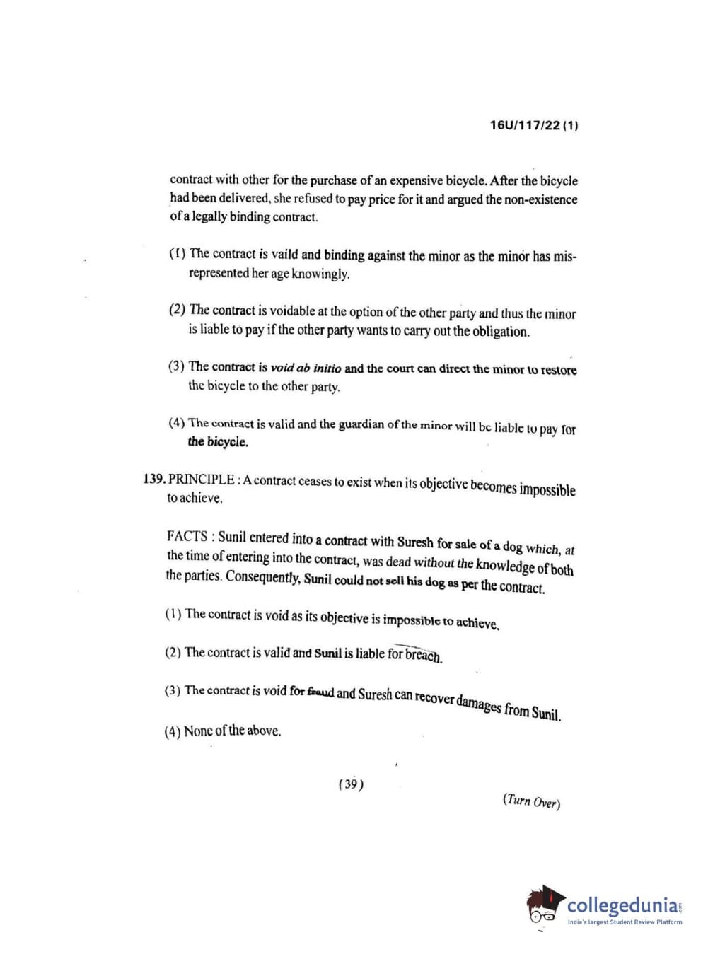
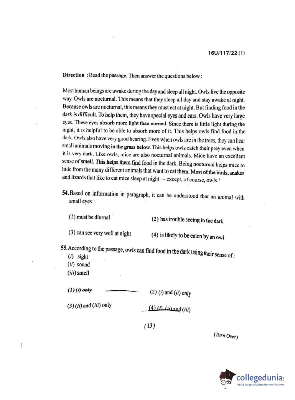
BHU UET 2016 B.A. LLB Question paper with answer key pdf is available for download. The exam was successfully organized by Banaras Hindu University (BHU). The question paper comprised a total of 150 questions.
BHU UET 2016 B.A. LLB Question Paper with Answer Key PDFs
| BHU UET 2016 B.A. LLB Question Paper PDF | BHU UET 2016 B.A. LLB Answer Key PDF |
|---|---|
| Download PDF | Available Soon |







Comments