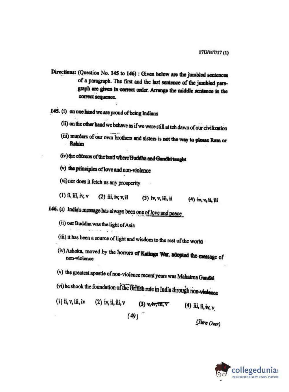
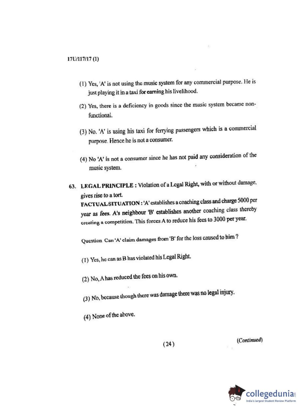
BHU UET 2017 BA LL.B Question paper with answer key pdf is available for download. The exam was successfully organized by Banaras Hindu University (BHU). The question paper comprised a total of 150 questions.
BHU UET 2017 BA LL.B Question Paper with Answer Key PDFs
| BHU UET 2017 BA LL.B Question Paper PDF | BHU UET 2017 BA LL.B Answer Key PDF |
|---|---|
| Download PDF | Available Soon |







Comments