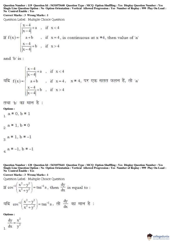
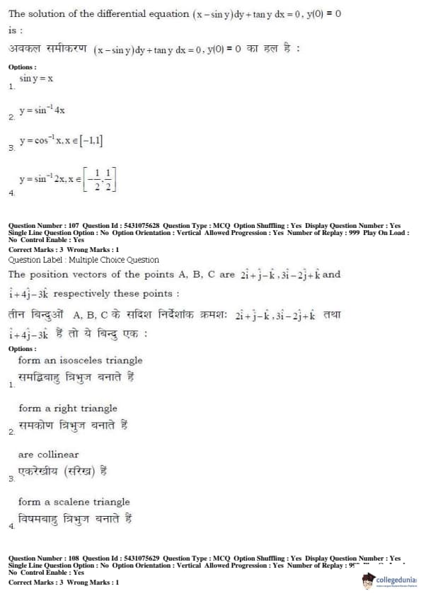
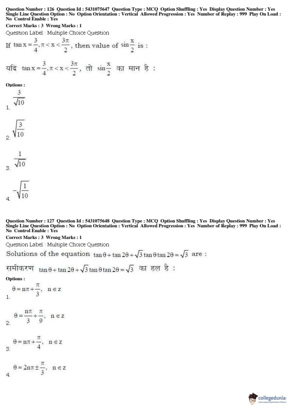
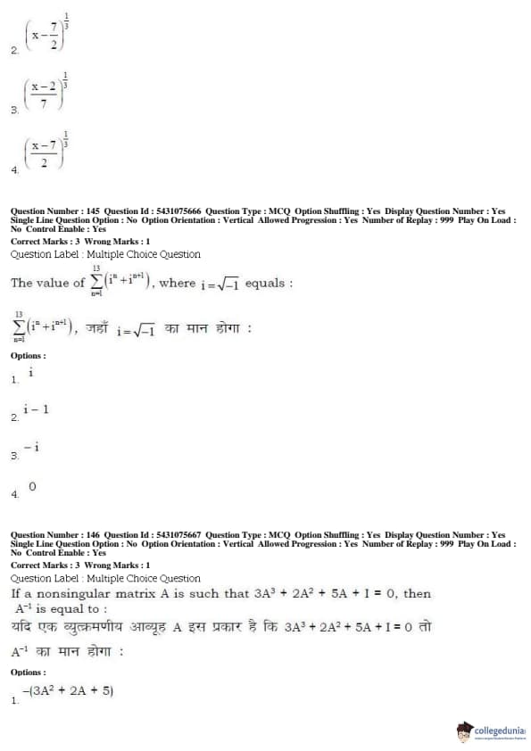
BHU UET 2019 B.Sc MATH Question paper with answer key pdf conducted on May 17, 2019 in Shift 1 is available for download. The exam was successfully organized by Banaras Hindu University (BHU). The question paper comprised a total of 150 questions.
BHU UET 2019 B.Sc MATH Question Paper with Answer Key PDFs Shift 1
| BHU UET 2019 B.Sc MATH Question Paper PDF | BHU UET 2019 B.Sc MATH Answer Key PDF |
|---|---|
| Download PDF | Available Soon |







Comments