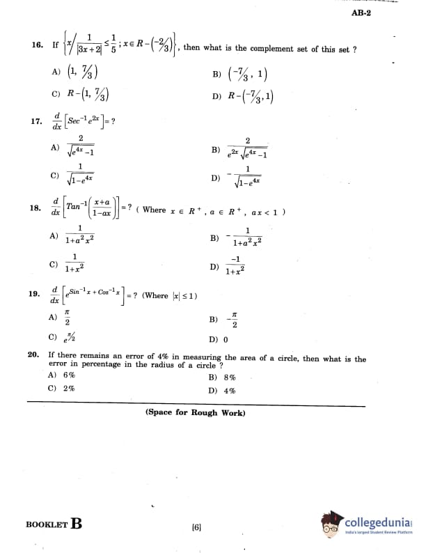
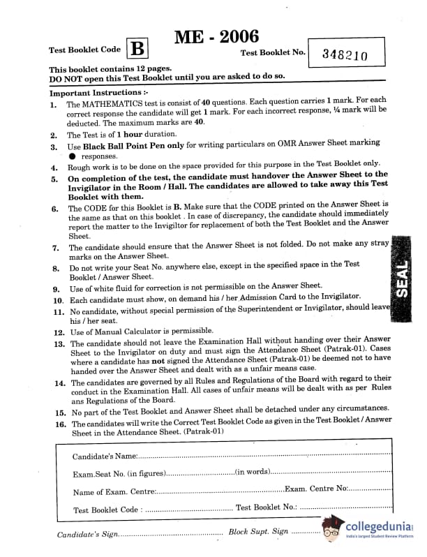
GUJCET 2006 Mathematics Question paper with answer key pdf is available for download. The exam was successfully organized by GSEB. The question paper comprised a total of 80 questions.
GUJCET 2006 Mathematics Question Paper with Answer Key PDFs
| GUJCET 2006 Mathematics Question Paper PDF | GUJCET 2006 Mathematics Answer Key PDF |
|---|---|
| Download PDF | Available Soon |







Comments