VITEEE 2023 Question Paper is available here. Candidates will be able to download the VITEEE 2023 Question Paper PDF using the link below.The exam was successfully organized by Vellore Institute of Technology (VIT). The question paper comprised a total of 125 questions divided among 5 sections.
Latest Update: Download VITEEE 2024 Question Paper with Solution PDF
VITEEE 2023 Question Paper PDF With Answer Key
| VITEEE 2023 Question Paper PDF With Answer Key | Check Solution |
VITEEE 2023 Question Paper With Solution
PHYSICS
Question 1:
Light of wavelength \( \lambda_A \) and \( \lambda_B \) falls on two identical metal plates A and B respectively. The maximum kinetic energy of photoelectrons is \( K_A \) and \( K_B \) respectively. Given that \( \lambda_A = 2\lambda_B \), which one of the following relations is true?
Which one of the following curves represents the variation of impedance \( (Z) \) with frequency \( f \) in a series LCR circuit?
View Solution
A Carnot engine takes \( 3 \times 10^6 \) cal of heat from a reservoir at \( 627^\circ C \), and gives it to a sink at \( 27^\circ C \). The work done by the engine is:
View Solution
An element of \( 0.05 \) m is placed at the origin, carrying a large current of \( 10 A \). The magnetic field at a perpendicular distance of \( 1 \) m is:

View Solution
A sinusoidal voltage of amplitude \( 25 \) V and frequency \( 50 \) Hz is applied to a half-wave rectifier using a P-N junction diode. No filter is used, and the load resistor is \( 1000\Omega \). The forward resistance \( R_f \) of the ideal diode is \( 10\Omega \). The percentage rectifier efficiency is:
View Solution
A flask contains a monoatomic and a diatomic gas in the ratio of \( 4:1 \) by mass at a temperature of \( 300K \). The ratio of average kinetic energy per molecule of the two gases is:
View Solution
The potential energy of a particle \( U(x) \) executing simple harmonic motion is given by:
View Solution
Consider an electric field \( \mathbf{E} = E_0 \hat{x} \), where \( E_0 \) is a constant. The flux through the shaded area (as shown in the figure) due to this field is:

View Solution
The equation of a wave on a string of linear mass density \( 0.04 \) kg/m is given by:
\[ y = 0.02 \sin 2\pi \left( \frac{t}{0.04} - \frac{x}{0.50} \right) \] The tension in the string is:
View Solution
Equipotential surfaces are shown in the figure. The electric field strength will be:

View Solution
Water falls from a \( 40 \) m high dam at the rate of \( 9 \times 10^4 \) kg per hour. Fifty percent of gravitational potential energy can be converted into electrical energy. The number of \( 100W \) lamps that can be lit is:
View Solution
An electron (mass = \( 9 \times 10^{-31} \) kg, charge = \( 1.6 \times 10^{-19} \) C) moving with a velocity of \( 10^6 \) m/s enters a magnetic field. If it describes a circle of radius \( 0.1 \) m, then the strength of the magnetic field must be:
View Solution
If \( V_1 \) is the velocity of a body projected from point A and \( V_2 \) is the velocity of a body projected from point B, which is vertically below the highest point C, and if both the bodies collide, then:

View Solution
A square frame of side \( 10 \) cm and a long straight wire carrying current \( 1A \) are in the plane of the paper. Starting from close to the wire, the frame moves towards the right with a constant speed of \( 10 \) m/s (see figure). The induced EMF at the time the left arm of the frame is at \( x = 10 \) cm from the wire is:

View Solution
For the circuit shown in the figure, the current through the inductor is \( 0.9A \) while the current through the condenser is \( 0.4A \). Then:

View Solution
The ozone layer in the atmosphere absorbs:
View Solution
The P-V diagram of a diatomic ideal gas system undergoing a cyclic process is shown in the figure. The work done during the adiabatic process \( CD \) is (Use \( \gamma = 1.4 \)):

View Solution
In YDSE, how many maximas can be obtained on a screen, including central maxima, on both sides of the central fringe if \( \lambda = 3000\) Å, \( d = 5000\) Å?
View Solution
A and B are two metals with threshold frequencies \( 1.8 \times 10^{14} \) Hz and \( 2.2 \times 10^{14} \) Hz. Two identical photons of energy \( 0.825 \) eV each are incident on them. Then photoelectrons are emitted in (Take \( h = 6.6 \times 10^{-34} \) Js):
View Solution
A sinusoidal voltage of amplitude 25 V and frequency 50 Hz is applied to a half-wave rectifier using a P-N junction diode. No filter is used, and the load resistor is \( 1000\Omega \). The forward resistance \( R_f \) of the ideal diode is \( 10\Omega \). The percentage rectifier efficiency is:
View Solution
The force between two short bar magnets with magnetic moments \( M_1 \) and \( M_2 \) whose centers are \( r \) meters apart is 8 N when their axes are in the same line. If the separation is increased to \( 2r \), the force between them is reduced to:
View Solution
In a Rutherford scattering experiment, when a projectile of charge \( Z_1 \) and mass \( M_1 \) approaches a target nucleus of charge \( Z_2 \) and mass \( M_2 \), the distance of closest approach is \( r_0 \). The energy of the projectile is:
View Solution
What will be the maximum speed of a car on a road turn of radius 30m if the coefficient of friction between the tyres and the road is 0.4? (Take \( g = 9.8 \text{ m/s}^2 \))
View Solution
A person aiming to reach the exactly opposite point on the bank of a stream is swimming with speed of \( 0.5 \) m/s at an angle of \( 120^\circ \) with the direction of flow of water. The speed of water in the stream is:
View Solution
A car moves at a speed of \( 20 \text{ m/s} \) on a banked track and describes an arc of a circle of radius \( 40\sqrt{3} \) m. The angle of banking is: (Take \( g = 10 \text{ m/s}^2 \))
View Solution
A force \( \mathbf{F} = \alpha \hat{i} + 3 \hat{j} + 6 \hat{k} \) is acting at a point \( \mathbf{r} = 2 \hat{i} - 6 \hat{j} - 12 \hat{k} \). The value of \( \alpha \) for which angular momentum about the origin is conserved is:
View Solution
A convex lens has power \( P \). It is cut into two halves along its principal axis. Further, one piece (out of the two halves) is cut into two halves perpendicular to the principal axis (as shown in figure). Choose the incorrect option for the reported pieces.

View Solution
A ball of radius \( r \) and density \( \rho \) falls freely under gravity through a distance \( h \) before entering water. The velocity of the ball does not change even on entering water. If the viscosity of water is \( \eta \), the value of \( h \) is given by:

View Solution
The pressure inside a tyre is 4 times that of the atmosphere. If the tyre bursts suddenly at temperature \( 300K \), what will be the new temperature?
View Solution
A parallel plate air capacitor of capacitance \( C \) is connected to a cell of emf \( V \) and then disconnected from it. A dielectric slab of dielectric constant \( K \), which can just fill the air gap of the capacitor, is now inserted in it. Which of the following is incorrect?
View Solution
A given ray of light suffers minimum deviation in an equilateral prism \( P \). Additional prisms \( Q \) and \( R \) of identical shape and of the same material as \( P \) are now added as shown in the figure. The ray will now suffer:

View Solution
If \( m \) is magnetic moment and \( B \) is the magnetic field, then the torque is given by:
View Solution
An \( \alpha \)-particle of 10 MeV collides head-on with a copper nucleus (\( Z = 29 \)) and is deflected back. The minimum distance of approach between the centers of the two is:
View Solution
A planet in a distant solar system is 10 times more massive than Earth and its radius is 10 times smaller. Given that the escape velocity from Earth's surface is 11 km/s, the escape velocity from the planet’s surface would be:
View Solution
In the given figure, two equal positive point charges \( q_1 = q_2 = 2.0 \mu C \) interact with a third point charge \( Q = 4.0 \mu C \). The magnitude and direction of the net force on \( Q \) is:

View Solution
Which of the following sets of quantum numbers is correct for an electron in a 4f orbital?
View Solution
Arrange the following in increasing order of ionic radii: \( C^{4-}, N^{3-}, F^{-}, O^{2-} \).
View Solution
The bond dissociation energies of \( X_2, Y_2, \) and \( XY \) are in the ratio of 1:0.5:1. If \( \Delta H \) for the formation of \( XY \) is -200 kJ mol\(^{-1}\), what is the bond dissociation energy of \( X_2 \)?
View Solution
Values of dissociation constant \( K_a \) are given as follows:

Correct order of increasing base strength of the conjugate bases \( \text{CN}^-, \text{F}^- \) and \( \text{NO}_2^- \) is:
View Solution
The product(s) formed when diborane (\( B_2H_6 \)) is hydrolyzed is/are:
View Solution
The compounds \( CH_3CH=CHCH_3 \) and \( CH_3CH_2CH=CH_2 \):
View Solution
Choose the correct option for the following reactions.

View Solution
Which of the following exhibits Frenkel defects?
View Solution
An element X has a body-centred cubic (bcc) structure with a cell edge of 200 pm. The density of the element is 5 g cm\(^{-3}\). The number of atoms present in 300g of the element X is:
Given: Avogadro Constant, \( N_A = 6.0 \times 10^{23} \) mol\(^{-1} \).
View Solution
On passing current through two cells, connected in series, containing solutions of \( \text{AgNO}_3 \) and \( \text{CuSO}_4 \), 0.18 g of Ag is deposited. The amount of Cu deposited is:
View Solution
The limiting molar conductivities of \( HCl \), \( CH_3COONa \), and \( NaCl \) are respectively 425, 90, and 125 mho cm\(^2\) mol\(^{-1}\) at 25°C. The molar conductivity of 0.1M \( CH_3COOH \) solution is 7.8 mho cm\(^2\) mol\(^{-1}\) at the same temperature. The degree of dissociation of 0.1M acetic acid solution at the same temperature is:
View Solution
The rate law for a reaction between the substances A and B is given by: {Rate} = k[A]^m[B]^n On doubling the concentration of A and halving the concentration of B, the ratio of the new rate to the earlier rate of the reaction will be:
View Solution
In a reaction, the threshold energy is equal to:
View Solution
Which property of white phosphorus is common to red phosphorus?
View Solution
\( XeO_4 \) molecule is tetrahedral having:
View Solution
Cuprous ion is colourless while cupric ion is coloured because:
View Solution
The reason for the greater range of oxidation states in actinoids is attributed to:
View Solution
The geometry and magnetic behaviour of the complex \([Ni(CO)_4]\) are:
View Solution
Indicate the complex ion which shows geometrical isomerism.
View Solution
Reaction of \( C_6H_5CH_2Br \) with aqueous sodium hydroxide follows:
View Solution
What is the correct order of reactivity of alcohols in the following reaction? \[ R - OH + HCl \rightarrow R - Cl + H_2O \]
View Solution
Which of the following cannot be made by using Williamson's synthesis?
View Solution
Which of the following reactions will yield benzaldehyde as a product?

Choose the correct answer from the following options:
View Solution
In Clemmensen reduction, carbonyl compounds are treated with:
View Solution
The correct increasing order of basic strength for the following compounds is:

View Solution
The major product of the following reaction is:

View Solution
Blister copper is:
View Solution
\( P_A \) and \( P_B \) are the vapor pressures of pure liquid components A and B, respectively, in an ideal binary solution. If \( X_A \) represents the mole fraction of component A, the total pressure of the solution will be:
View Solution
Which of the following complexes shows \( sp^3d^2 \) hybridization?
View Solution
2-Pentene contains:
View Solution
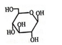
For the below-given cyclic hemiacetal (X), the correct pyranose structure is:

View Solution
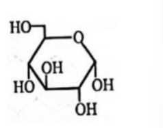
Sucrose, which is dextrorotatory in nature, after hydrolysis gives glucose and fructose, among which: (i) Glucose is laevorotatory and fructose is dextrorotatory.
(ii) Glucose is dextrorotatory and fructose is laevorotatory.
(iii) The mixture is laevorotatory.
(iv) Both are dextrorotatory.
View Solution
The Allyl cyanide molecule contains:
View Solution
Which of the following pairs of compounds is isoelectronic and isostructural?
View Solution
In which case does the change in entropy (\( \Delta S \)) become negative?
View Solution
The argument of the complex number \[ \left( \frac{i}{2} - \frac{2}{i} \right) \] is equal to:
View Solution
The lines \[ p(p^2 + 1)x - y + q = 0 \quad \text{and} \quad (p^2 + 1)^2 x + (p^2 + 1)y + 2q = 0 \] are perpendicular to a common line for:
View Solution
The probability that a card drawn from a pack of 52 cards will be a diamond or a king is:
View Solution
If \( n(A) = 4 \) and \( n(B) = 7 \), then the difference between the maximum and minimum value of \( n(A \cup B) \) is:
View Solution
The domain of the function \[ f(x) = \frac{1}{\sqrt{9 - x^2}} \] is:
View Solution
If \[ \sin x + \cos x = \frac{1}{5} \] then \( \tan 2x \) is: \flushleft
View Solution
For the binary operation defined on \( \mathbb{R} - \{1\} \) such that: \[ a b = \frac{a}{b + 1} \] which of the following is true?
View Solution
Evaluate: \[ \cos^{-1} \frac{1}{2} + \sin^{-1} (1) + \tan^{-1} \frac{1}{\sqrt{3}} \]
View Solution
If \[ A = \begin{bmatrix} 1 & -1
2 & -1 \end{bmatrix}, \quad B = \begin{bmatrix} x & 1
y & -1 \end{bmatrix} \] and \[ (A + B)^2 = A^2 + B^2 \] then \( x + y \) is:
View Solution
The determinant of the matrix: \[ \begin{bmatrix} -a^2 & ab & ac
ab & -b^2 & bc
ac & bc & -c^2 \end{bmatrix} \] is:
View Solution
If \[ A = \begin{bmatrix} \alpha & \beta
\gamma & \alpha \end{bmatrix} \] then \( \text{Adj} (A) \) is equal to:
View Solution
If \[ \left| \frac{\sec(x - y)}{\sec(x + y)} \right| = a \] then \( \frac{dy}{dx} \) is:
View Solution
The number of nonzero terms in the expansion of \[ (1 + 3\sqrt{2}x)^9 + (1 - 3\sqrt{2}x)^9 \] is:
View Solution
If \[ \frac{a^n + b^n}{a^{n-1} + b^{n-1}} \] is the arithmetic mean (A.M.) between \( a \) and \( b \), then the value of \( n \) is:
View Solution
The sum of the series \[ \frac{1}{1 + \sqrt{2}} + \frac{1}{\sqrt{2} + \sqrt{3}} + \frac{1}{\sqrt{3} + \sqrt{4}} + \dots \] up to 15 terms is:
View Solution
The equation of the circle with centre (0,2) and radius 2 is \[ x^2 + y^2 - my = 0. \] The value of \( m \) is:
View Solution
The integral \[ \int x^n (1 + \log x) \, dx \] is equal to: \flushleft
View Solution
Evaluate the definite integral: \[ I = \int_{0}^{\frac{\pi}{2}} (\sqrt{\tan x} + \sqrt{\cot x})dx \]
View Solution
The area of the region bounded by the ellipse \[ \frac{x^2}{16} + \frac{y^2}{9} = 1 \] is:
View Solution
If the vertex of a parabola is \( (2, -1) \) and the equation of its directrix is \[ 4x - 3y = 21, \] then the length of its latus rectum is:
View Solution
Eccentricity of ellipse \[ \frac{x^2}{a^2} + \frac{y^2}{b^2} = 1 \] if it passes through point (9, 5) and (12, 4) is: \flushleft
View Solution
In \triangle ABC \text{ the mid-point of the sides AB, BC and CA are respectively (1, 0, 0), (0, m, 0) \text{ and (0, 0, n). \text{ Then, \[ \frac{AB^2 + BC^2 + CA^2}{1^2 + m^2 + n^2} \text{ is equal to:} \] \flushleft
View Solution
If \[ f(x) = \frac{x + |x|}{x} \] then the value of \[ \lim_{x \to 0} f(x) \] is:
View Solution
Negation of the Boolean expression \[ p \Leftrightarrow (q \Rightarrow p) \] is:
View Solution
If \[ R = \{ (x, y) : x \text{ is exactly 7cm taller than } y \} \] then \( R \) is:
View Solution
The particular solution of \[ \log \frac{dy}{dx} = 3x + 4y, \quad y(0) = 0 \] is:
View Solution
The general solution of the differential equation given by: \[ \tan^{-1} x + \tan^{-1} y = c \]
View Solution
If \( |\mathbf{a}| = 3 \), \( |\mathbf{b}| = 4 \), then the value of \( \lambda \) for which \( \mathbf{a} + \lambda \mathbf{b} \) is perpendicular to \( \mathbf{a} - \lambda \mathbf{b} \) is:
View Solution
The area of the parallelogram whose diagonals are \[ \mathbf{d_1} = \frac{3}{2} \hat{i} + \frac{1}{2} \hat{j} - \hat{k}, \quad \mathbf{d_2} = 2 \hat{i} - 6 \hat{j} + 8 \hat{k} \] is:
View Solution
Bag P contains 6 red and 4 blue balls, and Bag Q contains 5 red and 6 blue balls. A ball is transferred from Bag P to Bag Q, and then a ball is drawn from Bag Q. What is the probability that the ball drawn is blue?
View Solution
The mean and variance of a random variable \( X \) having binomial distribution are 4 and 2, respectively. Find \( P(X = 1) \).
View Solution
Evaluate: \[ \tan (\cos^{-1} \frac{4}{5}) + \tan^{-1} \frac{2}{3} \]
View Solution
If the function \[ f(x) = \begin{cases} 1, & x \leq 2
ax + b, & 2 < x < 4
7, & x \geq 4 \end{cases} \] is continuous at \( x = 2 \) and \( x = 4 \), then the values of \( a \) and \( b \) are:
View Solution
The derivative of \[ \sin^{-1} \left(\frac{2x}{1 + x^2} \right) \] with respect to \[ \cos^{-1} \left(\frac{1 - x^2}{1 + x^2} \right) \] is equal to:
View Solution
The number of distinct real roots of the equation: \[ x^7 - 7x - 2 = 0 \] is:
View Solution
The minimum value of the function \[ y = x^4 - 2x^2 + 1 \] in the interval \( \left[\frac{1}{2}, 2 \right] \) is:
View Solution
Evaluate the integral: \[ I = \int \frac{\sin^2 x - \cos^2 x}{\sin^2 x \cos^2 x} dx \]
View Solution
Consider a curve \( y = y(x) \) in the first quadrant as shown in the figure. Let the area \( A_1 \) be twice the area \( A_2 \). The normal to the curve perpendicular to the line \[ 2x - 12y = 15 \] does NOT pass through which point?

View Solution
The shortest distance between the lines \( x = y + 2 = 6z - 6 \) and \( x + 1 = 2y = -12z \) is:
View Solution
The angle between the two lines: \[ \frac{x + 1}{2} = \frac{y + 3}{2} = \frac{z - 4}{-1} \] \[ \frac{x - 4}{1} = \frac{y + 4}{2} = \frac{z + 1}{2} \] is:
View Solution
What is the approximate percentage increase in the production of Monopoly from 1993 to 1995?
View Solution
For which toy category has there been a continuous increase in production over the years?
View Solution
What is the percentage drop in the production of Ludo from 1992 to 1994?
View Solution
Find the missing number in the sequence: \[ 285, 253, 221, 189, ? \]
View Solution
In a certain code language, PRESENTATION is written as ENESTAITPRON. How would INTELLIGENCE be written in that code?
View Solution
Step 1: Analyzing the pattern in the given transformation.
Observing PRESENTATION → ENESTAITPRON: - The first three letters move to the last. - The middle section remains the same. - The last three letters shift to the front. Step 2: Applying the same pattern to INTELLIGENCE.
- Moving the first three letters "INT" to the end. - Keeping the middle letters in order. - Moving the last three letters to the beginning. Rewriting the letters, we get LLTEIGENINCE. Thus, the correct answer is (D) LLTEIGENINCE. Quick Tip: For coding patterns, check for shifting groups of letters systematically.
Ram moves from a point \( X \) to 20 metres towards North. Then he moves 40 metres towards West. Then he moves 20 metres North. Then he moves 40 metres towards East and then 10 metres towards right and he reaches a point \( Y \). Find the distance and direction of \( Y \) from \( X \)?
View Solution
Step 1: Breaking down the movements.
- Ram starts at \( X \).
- Moves 20m North → Position: \( (0, 20) \).
- Moves 40m West → Position: \( (-40, 20) \).
- Moves 20m North → Position: \( (-40, 40) \).
- Moves 40m East → Position: \( (0, 40) \).
- Moves 10m to the right (South) → Position: \( (0, 30) \).
Step 2: Finding the distance from \( X \) to \( Y \).
Since \( Y \) is at \( (0,30) \) and \( X \) is at \( (0,0) \), \[ \text{Distance} = |30 - 0| = 30 \text{ metres} \] Step 3: Finding the direction.
Since \( Y \) is directly above \( X \) on the Y-axis, the direction is North.
Thus, the correct answer is (A) 30 metres, North.
Quick Tip: For direction problems, break movements into coordinate changes and use absolute distances.
If the 5th date of a month is Tuesday, what date will be 3 days after the 3rd Friday in the month?
View Solution
Step 1: Identifying the weekday of the 1st of the month.
Since 5th is a Tuesday, counting backward:
4th - Monday, 3rd - Sunday, 2nd - Saturday, 1st - Friday
Step 2: Finding the 3rd Friday.
- 1st Friday = 1st
- 2nd Friday = 8th
- 3rd Friday = 15th
Step 3: Adding 3 days to the 3rd Friday.
\[ 15 + 3 = 18 \] Thus, the correct answer is (D) 18.
Quick Tip: To determine a specific weekday, count forward using the known weekday of a fixed date.
Statements:
I. Some cats are dogs.
II. No dog is a toy.
Conclusions:
I. Some dogs are cats.
II. Some toys are cats.
III. Some cats are not toys.
IV. All toys are cats.
View Solution
Step 1: Understanding the given statements.
- Some cats are dogs → Partial overlap between Cats and Dogs.
- No dog is a toy → No intersection between Dogs and Toys.
Step 2: Checking conclusions.
- Conclusion I: Some dogs are cats → True, directly given.
- Conclusion II: Some toys are cats → Not necessarily true, not given in statements.
- Conclusion III: Some cats are not toys → True by possibility, as some cats might not be toys.
- Conclusion IV: All toys are cats → False, as no relation is established.
Thus, the correct answer is (A) Only Conclusions I and either II or III.
Quick Tip: Use Venn diagrams to verify syllogistic reasoning conclusions.
How is \( H \) related to \( B \)?
Statements:
I. \( H \) is married to \( P \). \( P \) is the mother of \( T \). \( T \) is married to \( D \). \( D \) is the father of \( B \).
II. \( B \) is the daughter of \( T \). \( T \) is the sister of \( N \). \( H \) is the father of \( N \).
View Solution
Step 1: Analyzing Statement I.
- \( H \) is married to \( P \).
- \( P \) is the mother of \( T \), making \( H \) the father of \( T \).
- \( T \) is married to \( D \), and \( D \) is the father of \( B \), making \( T \) the mother of \( B \).
- Since \( H \) is \( T \)'s father, \( H \) is B’s grandfather.
Step 2: Analyzing Statement II.
- \( B \) is the daughter of \( T \).
- \( T \) is the sister of \( N \).
- \( H \) is the father of \( N \), which means \( H \) is also the father of \( T \).
- Since \( T \) is \( B \)'s mother, \( H \) is \( B \)'s grandfather.
Thus, either statement alone is sufficient.
Quick Tip: For family tree problems, construct a hierarchical diagram to verify relationships.
Among five persons \( D, E, F, G, H \), each having different heights, who is the second tallest? Statements:
I. \( D \) is taller than only \( G \) and \( E \). \( F \) is not the tallest.
II. \( H \) is taller than \( F \). \( G \) is taller than \( E \) but shorter than \( D \).
View Solution
Step 1: Analyzing Statement I.
- \( D \) is taller than only \( G \) and \( E \), meaning \( G \) and \( E \) are the shortest.
- So, the height order of these three is: \[ E < G < D \] - Since there are five persons, the remaining two must be \( F \) and \( H \).
- \( F \) is not the tallest, which means \( H \) must be the tallest.
- Therefore, the order from shortest to tallest is: \[ E < G < D < F < H \] - The second tallest person is \( F \).
- Thus, Statement I alone is sufficient to determine the second tallest person.
Step 2: Analyzing Statement II.
- \( H \) is taller than \( F \), so \( H \) is not the second tallest.
- \( G \) is taller than \( E \) but shorter than \( D \), so \( G \) is not the second tallest either.
- Since no information is given about whether \( F \) is taller than \( D \), we cannot determine the second tallest person.
- Statement II alone is insufficient to answer the question.
Step 3: Conclusion.
- Statement I alone is sufficient, but Statement II alone is not sufficient.
- Thus, the correct answer is (A).
Quick Tip: To determine ranking problems, arrange elements in ascending or descending order based on given conditions.
If someone else's opinion makes us angry, it means that
View Solution
"Your own contrary conviction" refers to
View Solution
Conviction means
View Solution
The writer says if someone maintains that two and two are five, you feel pity because you
View Solution
The second sentence in the passage
View Solution
VITEEE Previous Year Question Paper with Answer Key PDFs
For more such memory-based question papers check VITEEE Previous Year Question Paper PDFs here.
Similar B.Tech Exam Question Papers
| JEE Main Question Papers | MHT-CET Question Papers | WBJEE Question Papers |
| KEAM Question Papers | AP EAPCET Question Papers | TS EAMCET Question Papers |



.png?h=35&w=35&mode=stretch)















Comments