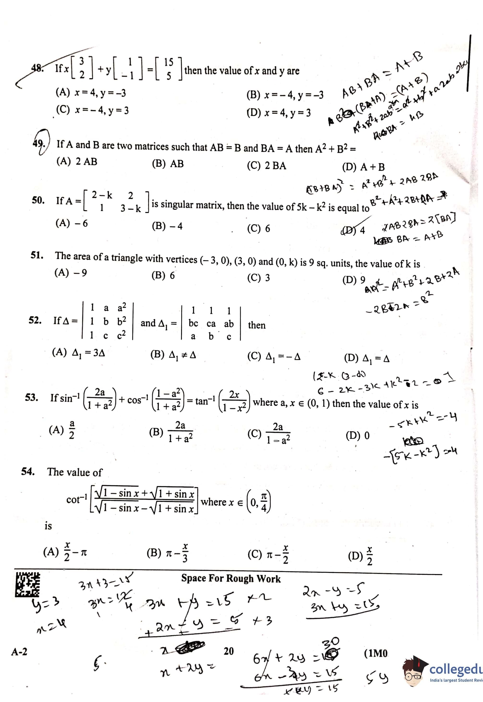
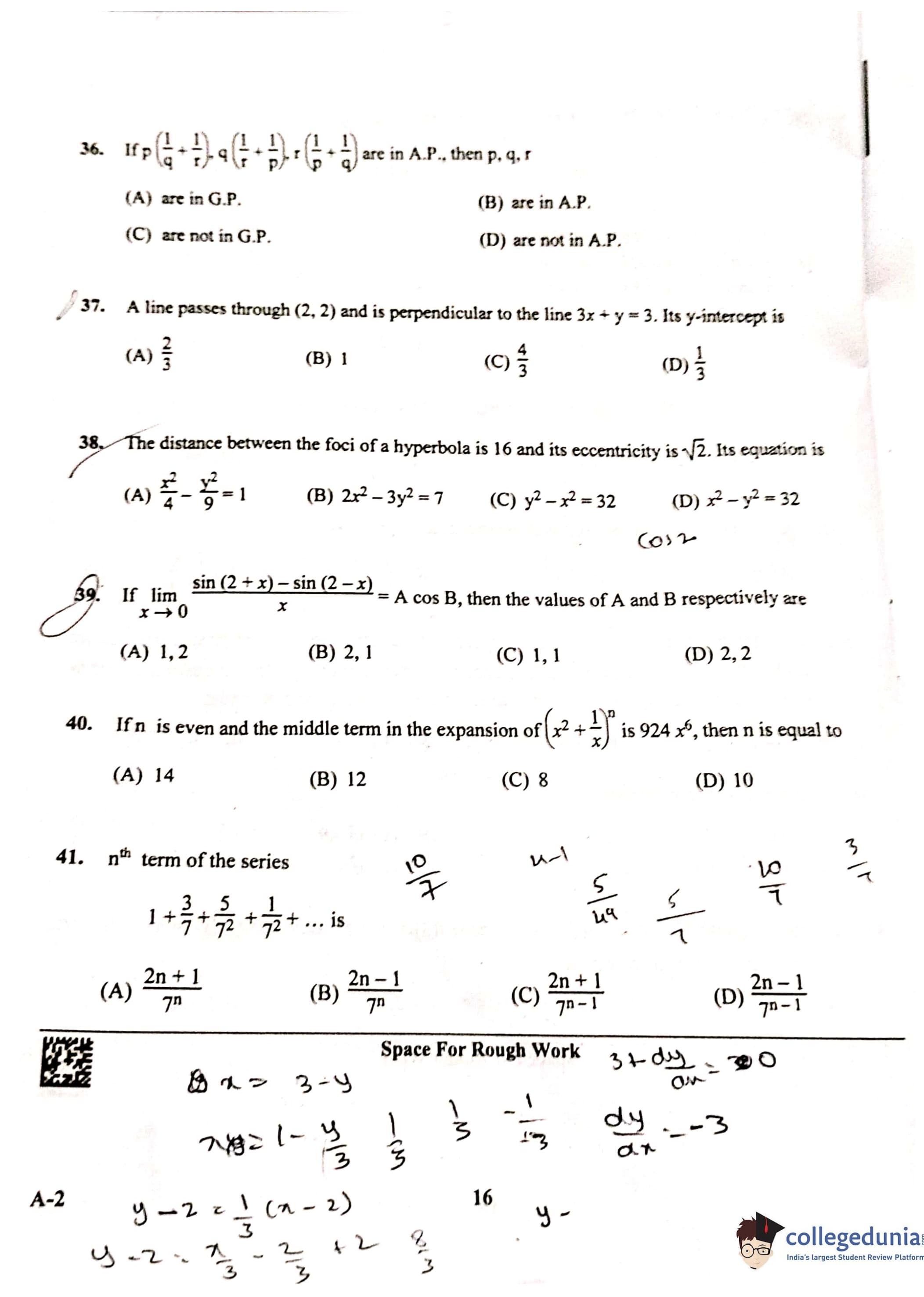
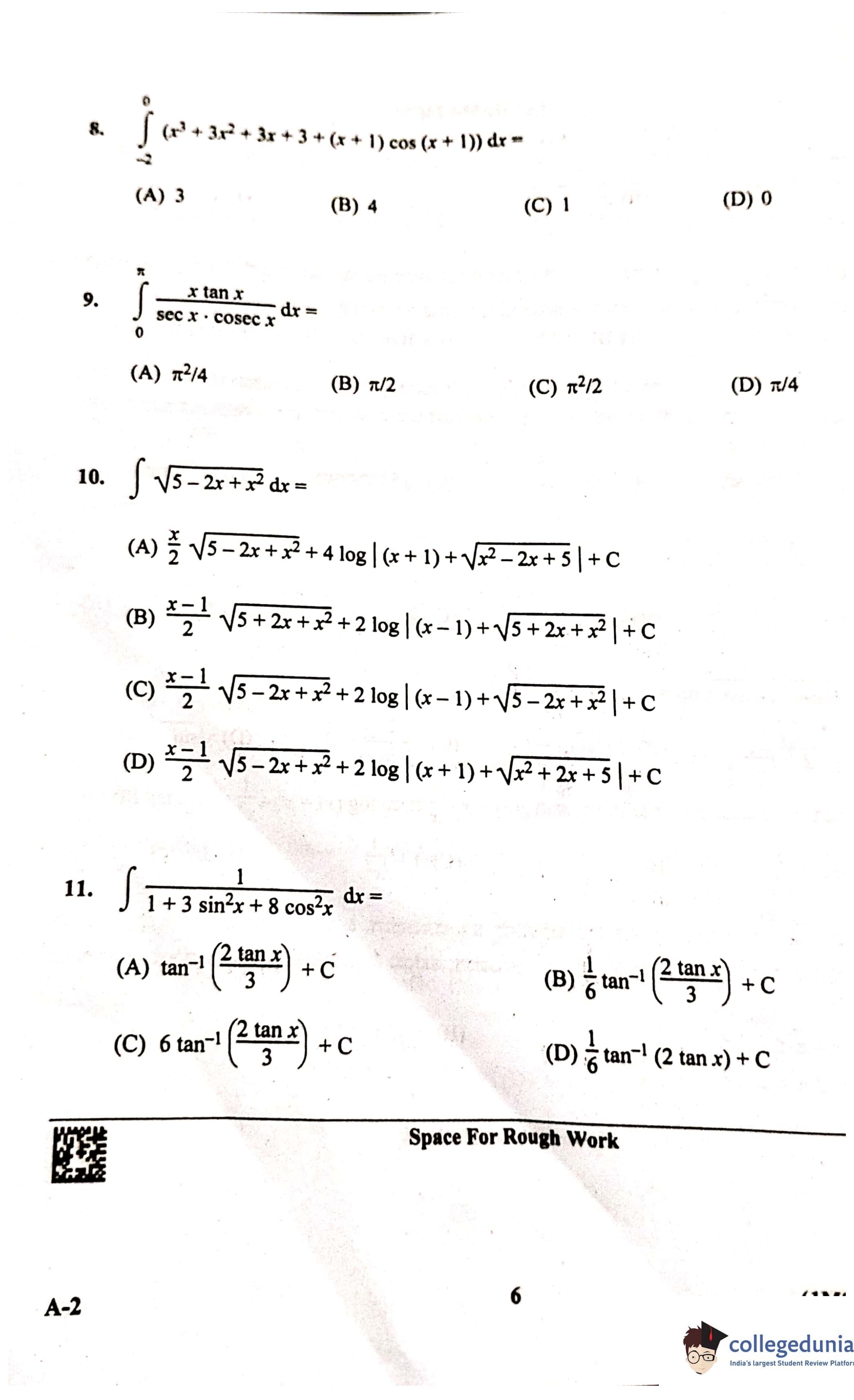
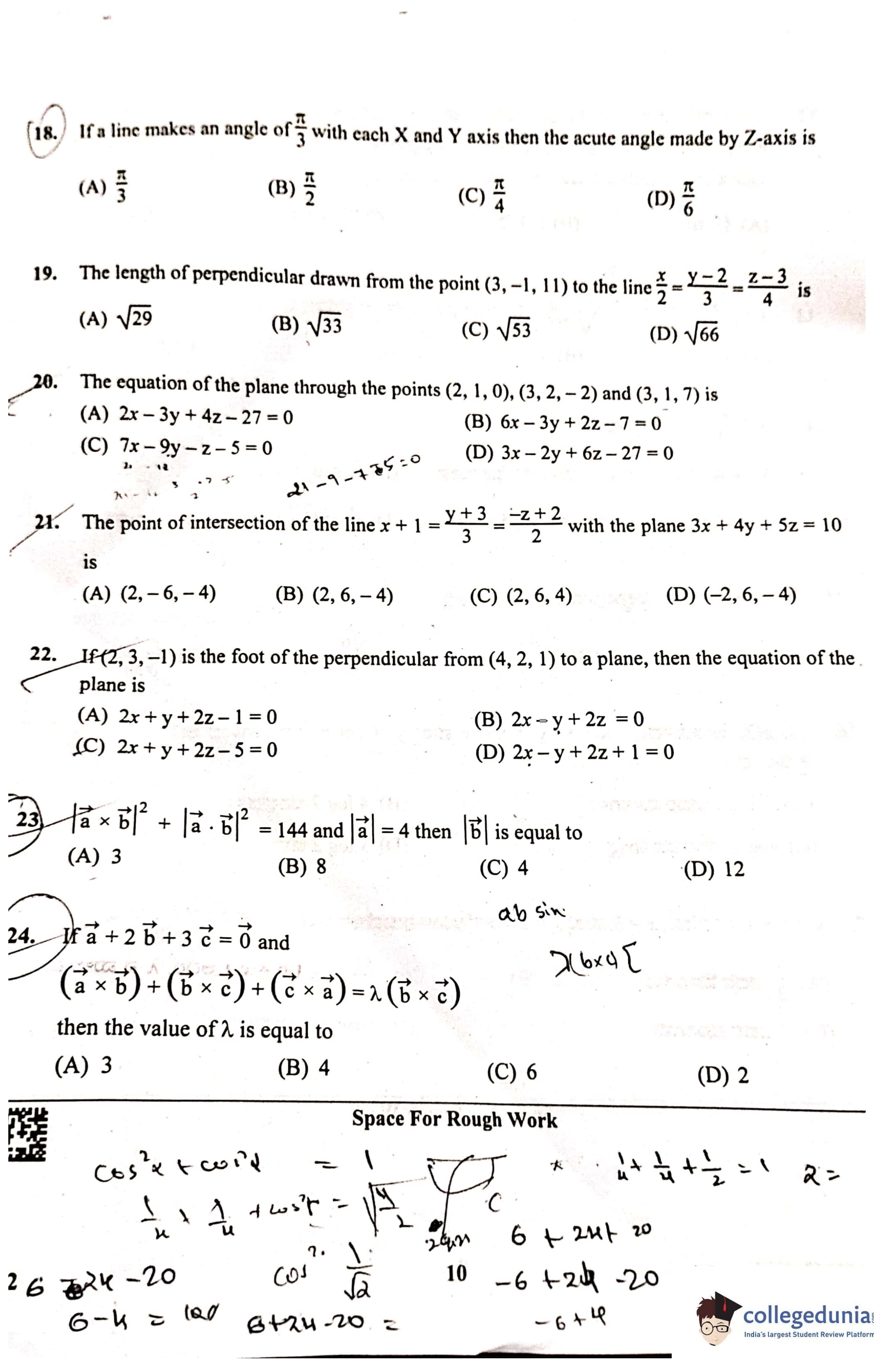
KCET 2023 Mathematics Question Paper Set A2 is available here for download. KCET 2023 Question Paper May 20 Shift 2 2:30 PM to 3:50 PM was conducted for Mathematics Paper. KCET 2023 Question Paper included 60 MCQ-based questions in total. Each candidate will be awarded +1 for correct answers, however, there will be no negative marking for incorrect responses. Students got 80 minutes to attempt KCET 2023 Mathematics Question Paper.
KCET 2023 Mathematics Question Paper with Answer Key PDF Set A2
| KCET 2023 Question Paper PDF | KCET 2023 Answer Key PDF |
|---|---|
| Download PDF | Download PDF |
KCET 2023 Paper Analysis May 20
KCET 2023 paper analysis May 20 is available here. Candidates can check KCET 2023 paper analysis by clicking on the link provided below.
Also Check:
KCET Previous Year Question Paper
| KCET 2022 Question Paper | KCET 2021 Question Paper | KCET 2020 Question Paper |
| KCET 2019 Question Paper | KCET 2018 Question Paper | KCET 2017 Question Paper |







Comments