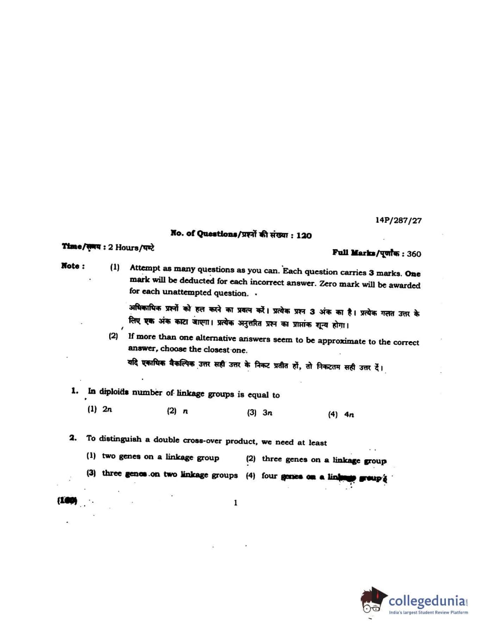
BHU PET 2014 M.Sc Plant Biotechnology Question paper with answer key pdf is available for download. The exam was successfully organized by Banaras Hindu University (BHU). The question paper comprised a total of 120 questions.
BHU PET 2014 M.Sc Plant Biotechnology Question Paper with Answer Key PDFs
| BHU PET 2014 M.Sc Plant Biotechnology Question Paper PDF | BHU PET 2014 M.Sc Plant Biotechnology Answer Key PDF |
|---|---|
| Download PDF | Available Soon |







Comments