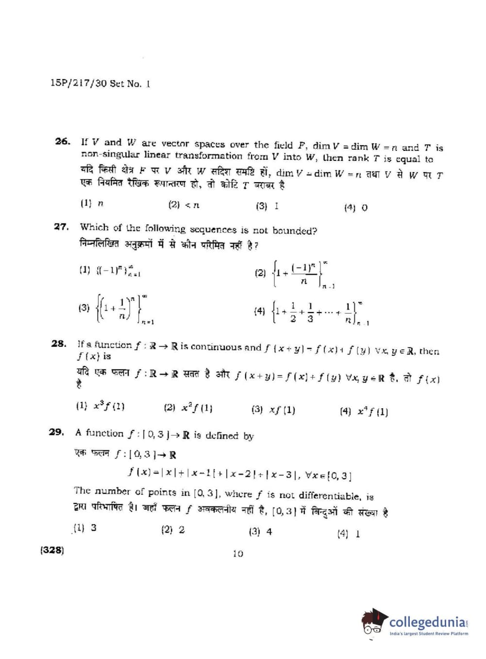
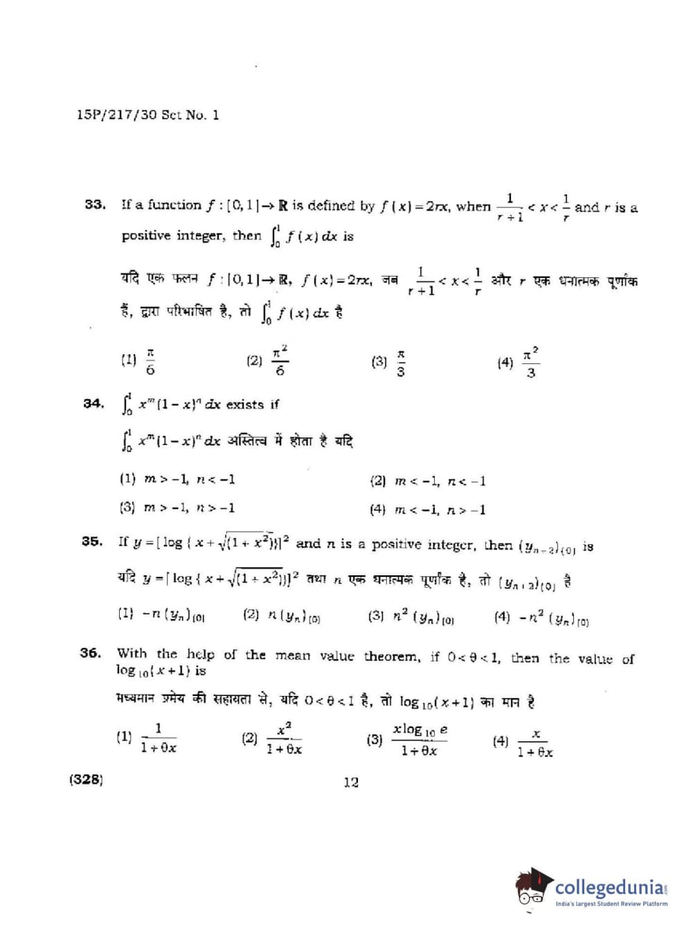
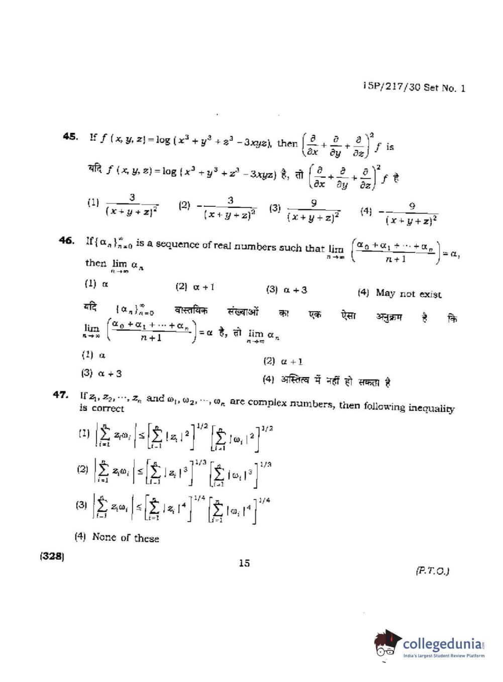
BHU PET 2015 Mathematics Question paper with answer key pdf is available for download. The exam was successfully organized by Banaras Hindu University (BHU). The question paper comprised a total of 150 questions.
BHU PET 2015 Mathematics Question Paper with Answer Key PDFs
| BHU PET 2015 Mathematics Question Paper PDF | BHU PET 2015 Mathematics Answer Key PDF |
|---|---|
| Download PDF | Available Soon |







Comments