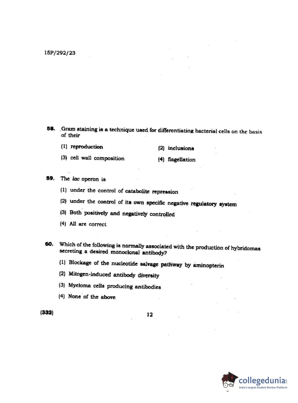
BHU PET 2015 M.Sc. in Applied Microbiology Question paper with answer key pdf is available for download. The exam was successfully organized by Banaras Hindu University (BHU). The question paper comprised a total of 150 questions.
BHU PET 2015 M.Sc. in Applied Microbiology Question Paper with Answer Key PDFs
| BHU PET 2015 M.Sc. in Applied Microbiology Question Paper PDF | BHU PET 2015 M.Sc. in Applied Microbiology Answer Key PDF |
|---|---|
| Download PDF | Available Soon |







Comments