BHU PET 2017 M.Sc. in Statistics and Compution Question paper with answer key pdf is available for download. The exam was successfully organized by Banaras Hindu University (BHU). The question paper comprised a total of 120 questions.
BHU PET 2017 M.Sc. in Statistics and Compution Question Paper with Answer Key PDFs
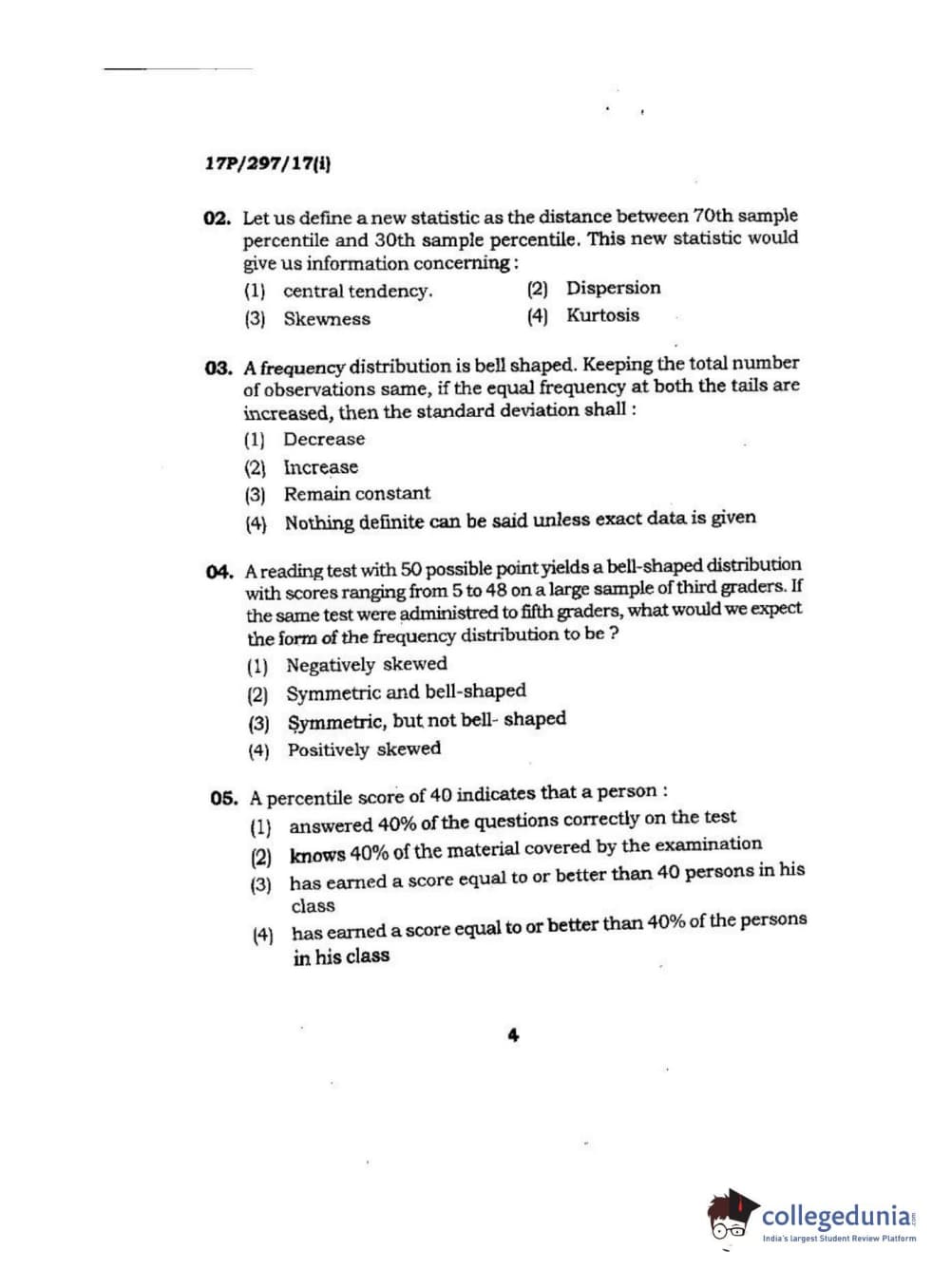
| BHU PET 2017 M.Sc. in Statistics and Compution Question Paper PDF | BHU PET 2017 M.Sc. in Statistics and Compution Answer Key PDF |
|---|---|
| Download PDF | Available Soon |







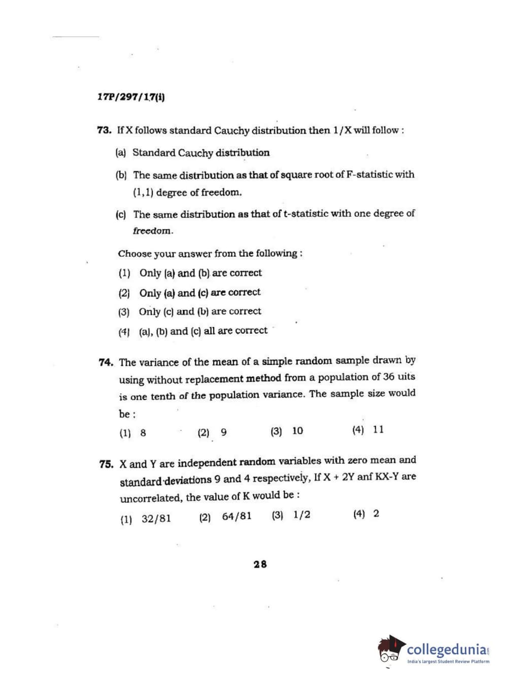
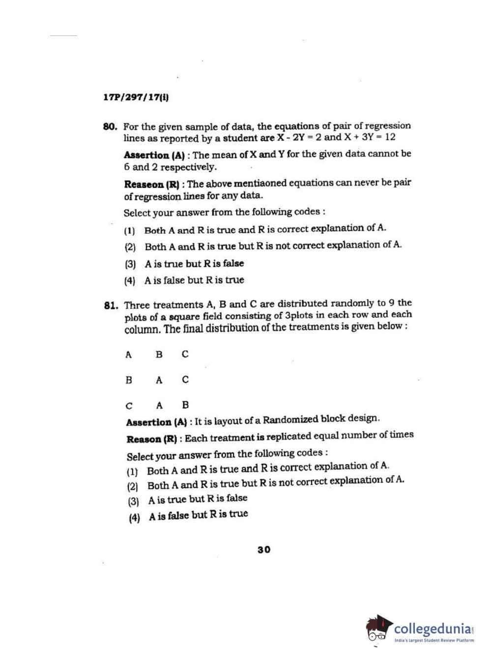
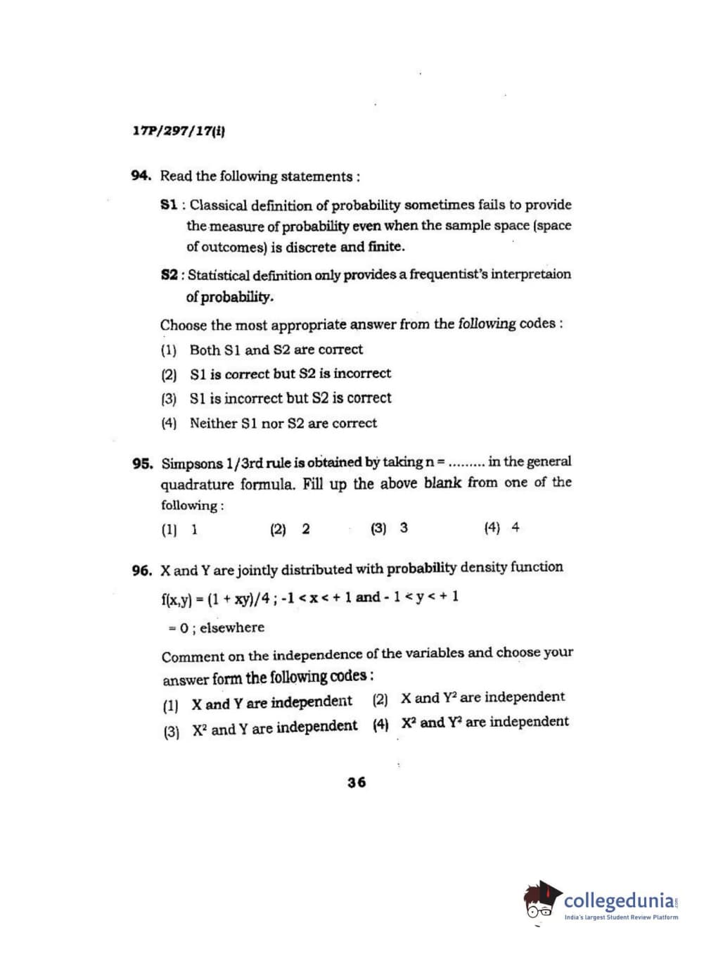
Comments