JNUEE 2018 M.A Economics with Specialization in World Economy Question paper with answer key pdf is available for download. The exam was successfully organized by Jawaharlal Nehru University (JNU). The question paper comprised a total of 50 questions.
JNUEE 2018 M.A Economics with Specialization in World Economy Question Paper with Answer Key PDFs
| JNUEE 2018 M.A Economics with Specialization in World Economy Question Paper PDF | JNUEE 2018 M.A Economics with Specialization in World Economy Answer Key PDF |
|---|---|
| Download PDF | Available Soon |







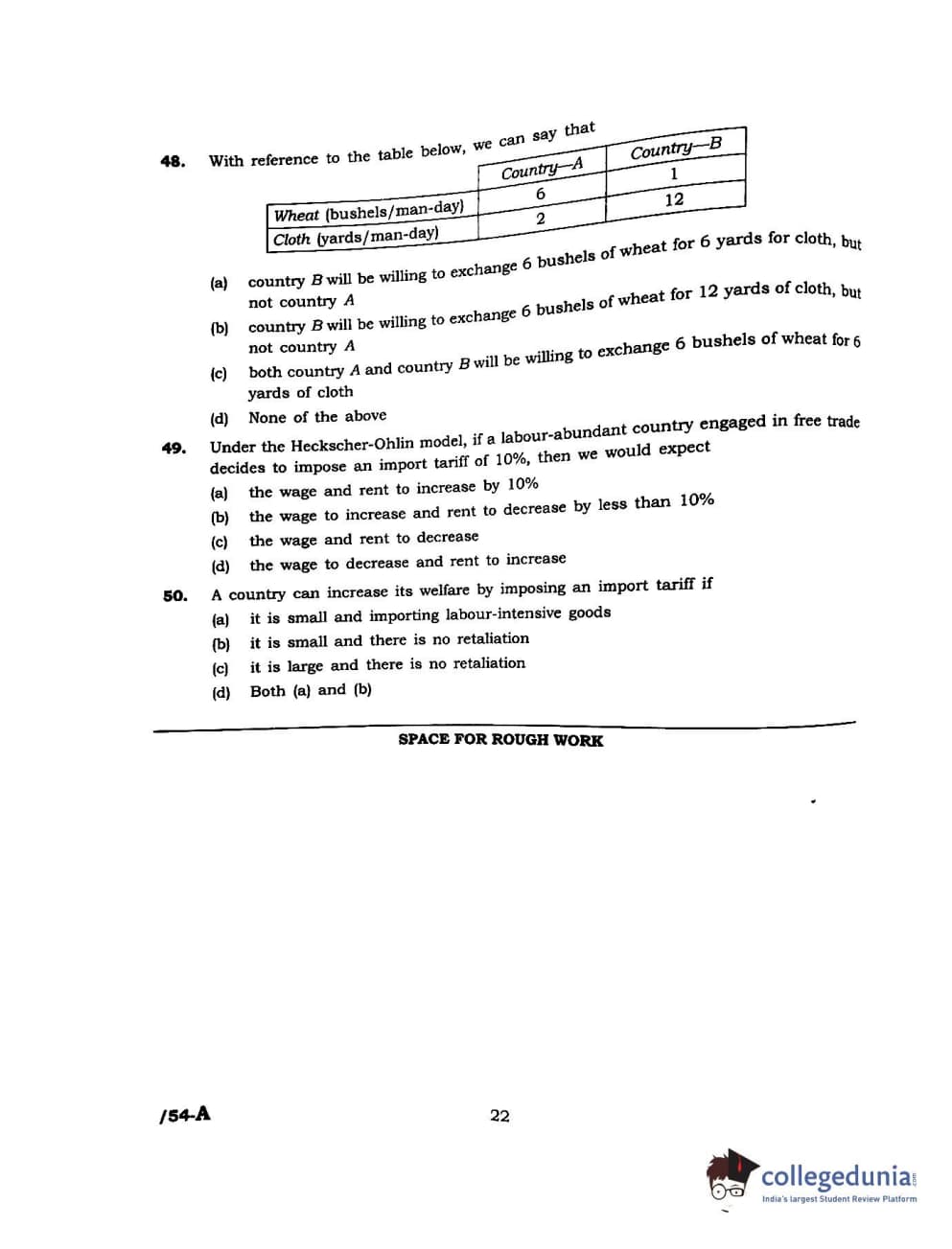
Comments