COMEDK UGET 2023 Question Paper Shift 1 is available here for download. COMEDK UGET 2023 Question Paper May 28 Shift 1 9 AM to 12 PM has conducted for Physics, Chemistry and Mathematics Paper.
COMEDK UGET 2023 Question Paper will include 60 MCQ-based questions in three subjects each. Each candidate will be awarded +1 for correct answers, however, there will be no negative marking for incorrect responses. Students will get 3 hours to attempt COMEDK UGET 2023 Question Paper. Check COMEDK UGET Exam Pattern 2023
COMEDK UGET 2023 Question Paper with Answer Key PDF Shift 1
| COMEDK UGET 2023 (Shift 1) Question Paper With Answer Key | Check Solution |

COMEDK UGET 2023 Question Paper With Solutions
The value of \(a^{\log_b c} - c^{\log_b a}\), where \(a, b, c > 0\) but \(a, b, c \neq 1\), is
View Solution
The slope of the tangent to the curve, \( y = x^2 - xy \) at \( (1, \frac{1}{2}) \) is
View Solution
The value of \[ \lim_{x \to 0} \frac{e^{ax} - e^{bx}}{2x} \] is equal to
View Solution
The points of intersection of circles (x + 1)2 + y2 = 4 and (x - 1)2 + y2 = 9 are (a, ± b), then (a, b) equals to
View Solution
The approximate value of \( f(5.001) \), where \( f(x) = x^3 - 7x^2 + 10 \)
View Solution
The circle \(x^2 + y^2 + 3x - y + 2 = 0\) cuts an intercept on X-axis of length
View Solution
Let \( f(x) = a + \frac{(x - 4)^4}{9} \), then the minima of \( f(x) \) is
View Solution
If \[ f(x) = \begin{cases} 2 \sin x & for \ -\pi \leq x \leq -\frac{\pi}{2},
a \sin x + b & for \ -\frac{\pi}{2} < x < \frac{\pi}{2},
\cos x & for \ \frac{\pi}{2} \leq x \leq \pi, \end{cases} \]
and it is continuous on \([- \pi, \pi]\), then the values of \( a \) and \( b \) are:
View Solution
The value of \[ \lim_{x \to \infty} \left( \frac{x^2 - 2x + 1}{x^2 - 4x + 2} \right)^{2x} is \]
View Solution
S \( \equiv x^2 + y^2 - 2x - 4y - 4 = 0 \) and \( S' \equiv x^2 + y^2 - 4x - 2y - 16 = 0 \) are two circles. The point \( (-2, -1) \) lies
View Solution
A number \( n \) is chosen at random from \( s = \{1, 2, 3, \dots, 50\} \). Let \( A = \{n \in s : n \text{ is a square} \} \), \( B = \{n \in s : n \text{ is a prime} \} \), and \( C = \{n \in s : n \text{ is a square} \} \).
Then, the correct order of their probabilities is
View Solution
The feasible region for the inequalities \[ x + 2y \geq 4, \quad 2x + y \leq 6, \quad x \geq 0, \quad y \geq 0 \]
View Solution
The maximum value of Z = 10x + 16y, subject to constraints \[ x \geq 0, \quad y \geq 0, \quad x + y \leq 12, \quad 2x + y \leq 20 \]
View Solution
If \[ A = \begin{bmatrix} 2 & 2 \\ 3 & 4 \end{bmatrix}, \quad \text{then} \quad A^{-1} \text{ equals to} \]
If \[ A \text{ is a matrix of order 4 such that } A(\text{adj } A) = 10 I, \quad \text{then } |\text{adj } A| \text{ is equal to} \]
View Solution
If \[ A = \begin{pmatrix} k + 1 & 2 \\ 4 & k - 1 \end{pmatrix} \text{ is a singular matrix, then the possible values of } k \text{ are} \]
View Solution
The angle between the vectors \[ a = \hat{i} + 2 \hat{j} + 2 \hat{k} \quad and \quad b = \hat{i} + 2 \hat{j} - 2 \hat{k} \quad is \]
View Solution
If the vectors \[ \mathbf{a} = 2\hat{i} - 3\hat{j} + 4\hat{k}, \quad \mathbf{b} = \hat{i} + 2\hat{j} - \hat{k}, \quad \mathbf{c} = m\hat{i} - \hat{j} + 2\hat{k} \]
are coplanar, then the value of \( m \) is
View Solution
The maximum value of \( Z = 12x + 13y \), subject to constraints \[ x \geq 0, \quad y \geq 0, \quad x + y \leq 5, \quad 3x + y \leq 9 \]
is
View Solution
Given a = 2i + j - k, b = i - j, c = 5i - j + k, then the unit vector parallel to a + b - c but in the opposite direction is
View Solution
The plane \( x - 2y + z = 0 \) is parallel to the line
View Solution
The integral \[ \int \frac{x \, dx}{2(1+x^2)^{3/2}} \]
is equal to
View Solution
The integral ∫ (4x² / √(1 - 16x²)) dx is equal to
View Solution
The integral ∫−π/2π/2 sin²(x) dx is equal to
View Solution
The lines (x - 1) / 2 = (y - 4) / 4 = (z - 2) / 3 and (1 - x) / 1 = (y - 2) / 5 = (3 - z) / a are perpendicular to each other, then a equals to
View Solution
If two lines \( L_1 : \frac{x-1}{2} = \frac{y+1}{3} = \frac{z-1}{4} \) and \( L_2 : \frac{x-3}{1} = \frac{y-k}{2} = z \) intersect at a point, then \( 2k \) is equal to
View Solution
A five-digit number is formed by using the digits 1, 2, 3, 4, 5 with no repetition. The probability that the numbers 1 and 5 are always together, is
View Solution
If a number n is chosen at random from the set {11, 12, 13, ..., 30}, then the probability that n is neither divisible by 3 nor divisible by 5 is
View Solution
Three vertices are chosen randomly from the nine vertices of a regular 9-sided polygon. The probability that they form the vertices of an isosceles triangle, is
View Solution
If \( A \), \( B \), and \( C \) are mutually exclusive and exhaustive events of a random experiment such that \( P(B) = \frac{3}{2} P(A) \) and \( P(C) = \frac{1}{2} P(B) \), then \( P(A \cup C) \) equals to
View Solution
Using mathematical induction, the numbers \( a_n \) are defined by \( a_0 = 1, a_{n+1} = 3n^2 + n + a_n, (n \geq 0) \). Then, \( a_n \) is equal to
View Solution
If \( 49^n + 16^n + k \) is divisible by 64 for \( n \in \mathbb{N} \), then the least negative integral value of \( k \) is
View Solution
\( 2^{3n} - 7n - 1 \) is divisible by
View Solution
The sum of \( n \) terms of the series, \( \frac{4}{3} + \frac{10}{9} + \frac{28}{27} + \dots \) is
View Solution
The value of \( \frac{1}{2!} + \frac{2}{3!} + \frac{3}{4!} + \dots + \frac{99}{100!} \) is equal to
View Solution
If the sum of 12th and 22nd terms of an AP is 100, then the sum of the first 33 terms of an AP is
View Solution
The differential equation of all non-vertical lines in a plane is
View Solution
The general solution of \( \left( \frac{dy}{dx} \right)^2 = 1 - x^2 - y^2 + x^2y^2 \) is
View Solution
The solution of the differential equation \( \frac{dy}{dx} \tan y = \sin(x + y) + \sin(x - y) \) is
View Solution
Find \( nC_{21} \), if \( nC_{10} = nC_{12} \)
View Solution
In a trial, the probability of success is twice the probability of failure. In six trials, the probability of at most two failures will be
View Solution
If cos A = m cos B and cot((A + B) / 2) = λ tan((B - A) / 2), then λ is equal to
View Solution
The expression \( \frac{2 \tan A}{1 - \cot A} + \frac{2 \cot A}{1 - \tan A} \) \text{ can be written as
View Solution
The general solution of 2 cos(4x) + sin²(2x) = 0 is
View Solution
If \(2f(x^2) + 3f\left( \frac{1}{x^2} \right) = x^2 - 1\), for \(x \in \mathbb{R} - \{0\}\), then \(f(x^8)\) is equal to
View Solution
If \( A = \{a, b, c\}, B = \{b, c, d\} \) and \( C = \{a, d, c\} \), then \( (A - B) \times (B \cap C) \) is equal to
View Solution
If \( n(A) = p \) and \( n(B) = q \), then the number of relations from the set \( A \) to the set \( B \) is
View Solution
If \( z = \sqrt{3} + i \), then the argument of \( z^2 e^{-i} \) is equal to
View Solution
If \(i = \sqrt{-1}\) and \(n\) is a positive integer, then \(i^n + i^{n+1} + i^{n+2} + i^{n+3}\) is equal to
View Solution
If \( \left( \frac{3}{2} + i \frac{\sqrt{3}}{2} \right)^{50} = 3^{25}(x + iy) \), where \(x\) and \(y\) are real, then the ordered pair \((2x, 2y)\) is
View Solution
There are 10 points in a plane out of which 4 points are collinear. How many straight lines can be drawn by joining any two of them?
View Solution
The total number of numbers greater than 1000 but less than 4000 that can be formed using 0, 2, 3, 4 (using repetition allowed) are
View Solution
A polygon of \( n \) sides has 105 diagonals, then \( n \) is equal to
View Solution
Let the equation of pair of lines \( y = m_1x \) and \( y = m_2x \) be written as \( (y - m_1x)(y - m_2x) = 0 \). Then, the equation of the pair of the angle bisector of the line \( 3y^2 - 5xy - 2x^2 = 0 \) is
View Solution
The distance of the point (3, 4) from the line \(3x + 2y + 7 = 0\) measured along the line parallel to \(y - 2x + 7 = 0\) is equal to
View Solution
The slope of lines which makes an angle \(60^\circ\) with the line \(y - 3x + 18 = 0\) is
View Solution
3 and 5 are intercepts of a line \(L = 0\), then the distance of \(L = 0\) from \((3, 7)\) is
View Solution
The total number of terms in the expansion of \( (x + y)^{60} + (x - y)^{60} \) is
View Solution
The coefficient of \(x^{29}\) in the expansion of \( (1 - 3x + 3x^2 - x^3)^{15} \) is
View Solution
In the expansion of \( (1 + 3x + 3x^2 + x^3)^{2n} \), the term which has the greatest binomial coefficient, is
View Solution
Which of the following hexoses will form the same osazone when treated with excess phenyl hydrazine?
View Solution
Product of the following reaction is
View Solution
Acetophenone when reacted with a base, \( C_6H_5ONa \), yields a stable compound which has the structure
View Solution
Gabriel's synthesis is used frequently for the preparation of which of the following?
Options:
A. 1st amines
B. 1st alcohols
C. 3rd amines
D. 3rd alcohols
View Solution
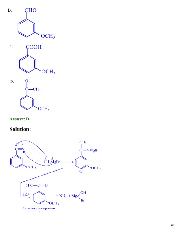
The product P in the reaction,
\[ CN \, C_6 \, H_5 \, OCH_3 \xrightarrow{CH_3MgBr} H_2O \]
View Solution
The reaction involves the addition of methylmagnesium bromide (CH\(_3\)MgBr) to the nitrile group (CN) present in the compound. The nitrile group gets converted into a ketone after the reaction with CH\(_3\)MgBr followed by hydrolysis with H\(_2\)O. The final product is a methylated phenyl ether with a -CH\(_3\) group on the carbon attached to the oxygen. Quick Tip: When nitriles are reacted with Grignard reagents, they undergo a nucleophilic attack, resulting in the formation of ketones after hydrolysis. This is a common method for the formation of ketones from nitriles.
Pick out the incorrect statement(s) from the following.
View Solution
Which of the following is incorrect?
View Solution
Rank the following compounds in order of increasing basicity.
View Solution
Ammoniacal silver nitrate forms a white precipitate easily with
View Solution
Consider the following equilibrium, \[ 2 NO(g) \rightleftharpoons N_2 (g) + O_2 (g); K_1 = 2.4 \times 10^{20} \] \[ NO(g) + \frac{1}{2} Br_2 (g) \rightleftharpoons NOBr(g); K_2 = 1.4 \]
Calculate \( K_C \) for the reaction, \[ \frac{1}{2} N_2 (g) + \frac{1}{2} O_2 (g) + \frac{1}{2} Br_2 (g) \rightleftharpoons NOBr(g) \]
View Solution
Which of the following is incorrect regarding Henry's law?
View Solution
t-butyl chloride preferably undergo hydrolysis by
View Solution
Which of these represents the correct order of decreasing bond order?
View Solution
In a 0.2 M aqueous solution, lactic acid is 6.9% dissociated. The value of dissociation constant is
View Solution
Pick up the correct statement.
View Solution
Total number of \(\sigma\) and \(\pi\) bonds in ethene molecule is
View Solution
A buffer solution has equal volumes of 0.1 M NH\(_3\)OH and 0.01 M NH\(_4\)Cl. The pK\(_b\) of the base is 5. The pH is
View Solution
Assuming no change in volume, the time required to obtain solution of pH = 4 by electrolysis of 100 mL of 0.1 M NaOH (using current 0.5 A) will be
View Solution
Which of the following compounds would not be expected to decarboxylate when heated?
View Solution
Which of these molecules have non-bonding electron pairs on the central atom?
View Solution
For a cell reaction, \( A(s) + B^{2+}(aq) \rightarrow A^{2+}(aq) + B(s) \); the standard emf of the cell is 0.295 V at 25°C. The equilibrium constant at 25°C will be
View Solution
Which of the following shows negative deviation from Raoult's law?
View Solution
5 g of non-volatile water soluble compound X is dissolved in 100 g of water. The elevation in boiling point is found to be 0.25. The molecular mass of compound X is
View Solution
The correct decreasing order of negative electron gain enthalpy for C, Ca, Al, F and O is
View Solution
I and II are
View Solution
Ti\(^2+\) is purple while Ti\(^4+\) is colourless because
View Solution
In Friedel-Crafts alkylation reaction of phenol with chloromethane, the product formed will be
View Solution
Which among the following is diamagnetic?
View Solution
Which one of the following is an important component of chlorophyll?
View Solution
A volatile compound is formed by carbon monoxide and
View Solution
The complex \( [PtCl_2(en)_2]^{2+} \) ion shows
View Solution
15 g of \( CaCO_3 \) completely reacts with
View Solution
Bohr's radius of 2nd orbit of \( Be^{3+} \) is equal to that of
View Solution
How much faster would a reaction proceed at \( 25^\circ C \) than at \( 0^\circ C \) if the activation energy is 65 kJ?
View Solution
The blue colouration obtained from the Lassaigne's test of nitrogen is due to the formation of
View Solution
The ion that is isoelectronic with CO is
View Solution
At 300 K, the half-life period of a gaseous reaction at an initial pressure of 40 kPa is 350 s. When pressure is 20 kPa, the half-life period is 175 s. What is the order of the reaction?
View Solution
If 2 moles of \( C_6H_6 \) (g) are completely burnt 4100 kJ of heat is liberated. If \( \Delta H^\circ \) for \( CO_2 (g) \) and \( H_2O (l) \) are -410 kJ and -285 kJ per mole respectively then the heat of formation of \( C_6H_6 (g) \) is
View Solution
Abnormal colligative properties are observed only when the dissolved non-volatile solute in a given dilute solution
View Solution
Aqueous CuSO\(_4\) changes its colour from sky blue to deep blue on addition of NH\(_3\) because
View Solution
Identify A, B, and C in the following reactions:
View Solution
For a reaction, \( 2A + B \to products \), if concentration of B is kept constant and concentration of A is doubled, then rate of reaction is
View Solution
For an adiabatic change in a system, the condition which is applicable is
View Solution
In dilute alkaline solution, \( MnO_4^- \) changes to
View Solution
Which of the following complex show optical isomerism?
\[ (i) cis - [COCl(en)_2 (NH_3)]^{2+} \] \[ (ii) cis - [CrCl_2(ox)_2]^{3-} \] \[ (iii) cis - [CO(en)_2Cl_2]Cl \] \[ (iv) cis - [CO(NH_3)_4 Cl_2]^+ \]
View Solution
The following reaction takes place:
View Solution
Mohr's salt has the formula
View Solution
The mean energy per molecule for a diatomic gas is
View Solution
The phase difference between displacement and velocity of a particle in simple harmonic motion is
View Solution
The mass density of a nucleus varies with mass number \( A \) as
View Solution
A capacitor of capacity 2 \( \mu F \) is charged up to a potential 14 V and then connected in parallel to an uncharged capacitor of capacity 5 \( \mu F \). The final potential difference across each capacitor will be
View Solution
The ratio of amplitude of magnetic field to the amplitude of electric field of an electromagnetic wave propagating in vacuum is
View Solution
A particle is projected at an angle \(30^\circ\) with horizontal having kinetic energy \(K\). The kinetic energy of the particle at the highest point is.
View Solution
An air bubble in water (\( \mu = \frac{4}{3} \)) is shown in the figure. The apparent depth of the image of the bubble in a plane mirror viewed by the observer is.
View Solution
A transistor is connected in CE configuration. The collector supply is 10 V and the voltage drop across a resistor of 1000 \( \Omega \) in the collector circuit is 0.5 V. If the current gain factor is 0.96, then the base current is
View Solution
One end of the string of length \( l \) is connected to a particle of mass \( m \) and the other end is connected to a small peg on a smooth horizontal table. If the particle moves in a circle with speed \( v \), the net force on the particle (directed towards the center) will be (T represents the tension in the string)
View Solution
A thin circular ring of mass \( M \) and radius \( R \) rotates about an axis through its centre and perpendicular to its plane, with a constant angular velocity \( \omega \). Four small spheres each of mass \( m \) (negligible radius) are kept gently to the opposite ends of two mutually perpendicular diameters of the ring. The new angular velocity of the ring will be
View Solution
Two wires of the same material having radius in ratio 2 : 1 and lengths in ratio 1 : 2. If the same force is applied on them, then the ratio of their change in length will be
View Solution
In the figure, pendulum bob on the left side is pulled aside to a height \( h \) from its initial position. After it is released, it collides with the right pendulum bob at rest, which is of the same mass. After the collision, the two bobs stick together and rise to a height
View Solution
A gas is taken through the cycle \( A \to B \to C \to A \), as shown in the figure. What is the net work done by the gas?
View Solution
The gases carbon monoxide (CO) and nitrogen at the same temperature have kinetic energies \( E_1 \) and \( E_2 \), respectively. Then,
View Solution
Two wires are made of the same material and have the same volume. The first wire has cross-sectional area \( A \) and the second wire has cross-sectional area \( 3A \). If the length of the first wire is increased by \( \Delta l \) on applying a force \( F \), how much force is needed to stretch the second wire by the same amount?
View Solution
Starting from the center of the Earth having radius \( R \), the variation of \( g \) (acceleration due to gravity) is shown by
View Solution
A long spring, when stretched by a distance \( z \), has potential energy \( U \). On increasing the stretching to \( n \) times, the potential energy of the spring will be
View Solution
With what velocity should an observer approach a stationary sound source, so that the apparent frequency of sound should appear double the actual frequency?
View Solution
A dielectric of dielectric constant \( K \) is introduced such that half of its area of a capacitor of capacitance \( C \) is occupied by it. The new capacity is
View Solution
Two very long straight parallel wires carry currents \( i \) and \( 2i \) in opposite directions. The distance between the wires is \( r \). At a certain instant of time a point charge \( q \) is at a point equidistant from the two wires in the plane of the wires. Its instantaneous velocity \( v \) is perpendicular to this plane. The magnitude of the force due to the magnetic field acting on the charge at this instant is
View Solution
The magnetic flux linked with a coil satisfies the relation \( \phi = (4t^2 + 6t + 9) \, Wb \), where \( t \) is time in seconds. The emf induced in the coil at \( t = 2 \) seconds is
View Solution
The instantaneous values of alternating current and voltages in a circuit given as
\[ i = \frac{1}{\sqrt{2}} \sin(100\pi t) amp \] \[ e = \frac{1}{\sqrt{2}} \sin(100\pi t + \pi/3) volt \]
The average power (in watts) consumed in the circuit is
View Solution
A car is moving towards a high cliff. The car driver sounds a horn of frequency \( f \). The reflected sound heard by the driver has a frequency \( 2f \). If \( v \) be the velocity of sound, then the velocity of the car in the same velocity units will be
View Solution
If escape velocity on Earth surface is 11.1 km/h\(^{-1}\), then find the escape velocity on the Moon surface. If the mass of the Moon is \( \frac{1}{81} \) times the mass of the Earth and the radius of the Moon is \( \frac{1}{4} \) times the radius of Earth.
View Solution
An ideal gas goes from state A to state B via three different processes as indicated in the p-V diagram. \( Q_1 \), \( Q_2 \), and \( Q_3 \) indicate the heat absorbed by the three processes and \( \Delta U_1 \), \( \Delta U_2 \), and \( \Delta U_3 \) indicate the change in internal energy along the three processes respectively, then
View Solution
In the series L-C-R circuit shown, the impedance is
View Solution
In Young's double slit interference experiment, using two coherent waves of different amplitudes, the intensity ratio between bright and dark fringes is 3. Then, the value of the ratio of the amplitudes of the waves that arrive there is
View Solution
The wavelength of the first line of Lyman series for H-atom is equal to that of the second line of Balmer series for a H-like ion. The atomic number \( Z \) of H-like ion is
View Solution
If 150 J of heat is added to a system and the work done by the system is 110 J, then the change in internal energy will be
View Solution
In the figure below, the capacitance of each capacitor is \( 3 \mu F \). The effective capacitance between A and B is
View Solution
The first emission of hydrogen atomic spectrum in Lyman series appears at a wavelength of
View Solution
In Young's double slit experiment, the ratio of maximum and minimum intensities in the fringe system is 9:1. The ratio of amplitudes of coherent sources is
View Solution
In the case of an inductor,
View Solution
The height vertically above the Earth's surface at which the acceleration due to gravity becomes 1 percent of its value at the surface is
View Solution
If \( C \) be the capacitance and \( V \) be the electric potential, then the dimensional formula of \( CV^2 \) is
View Solution
Which logic gate is represented by the following combination of logic gates?
View Solution
An LED is constructed from a p-n junction diode using GaAsP. The energy gap is 1.9 eV. The wavelength of the light emitted will be equal to
View Solution
A body is projected vertically upwards. The times corresponding to height \( h \) while ascending and while descending are \( t_1 \) and \( t_2 \), respectively. Then, the velocity of projection will be (take \( g \) as acceleration due to gravity)
View Solution
When a certain metal surface is illuminated with light of frequency \( \nu \), the stopping potential for photoelectric current is \( V_0 \). When the same surface is illuminated by light of frequency \( \frac{\nu}{2} \), the stopping potential is \( \frac{V_0}{4} \). The threshold frequency for photoelectric emission is
View Solution
A fish in water (refractive index \( n \)) looks at a bird vertically above in the air. If \( y \) is the height of the bird and \( z \) is the depth of the fish from the surface, then the distance of the bird as estimated by the fish is
View Solution
A car starts from rest and accelerates uniformly to a speed of 180 km/h in 10 s. The distance covered by the car in this time interval is
View Solution
A plane electromagnetic wave of frequency 20 MHz travels through a space along \( z \)-direction. If the electric field vector at a certain point in space is 6 V/m, then what is the magnetic field vector at that point?
View Solution
The sides of a parallelogram are represented by vectors \[ \vec{p} = 5\hat{i} - 4\hat{j} + 3\hat{k} \quad and \quad \vec{q} = 3\hat{i} + 2\hat{j} - \hat{k}. \]
Then, the area of the parallelogram is
View Solution
If \( \theta_1 \) and \( \theta_2 \) be the apparent angles of dip observed in two vertical planes at right angles to each other, then the true angle of dip \( \theta \) is given by
View Solution
Let \( K_1 \) be the maximum kinetic energy of photoelectrons emitted by light of wavelength \( \lambda_1 \) and \( K_2 \) corresponding to wavelength \( \lambda_2 \). If \( \lambda_1 = 2\lambda_2 \), then
View Solution
A ball is projected horizontally with a velocity of \( 5 \, m/s \) from the top of a building 19.6 m high. How long will the ball take to hit the ground?
View Solution
A galvanometer having a resistance of \( 8 \, \Omega \) is shunted by a wire of resistance \( 2 \, \Omega \). If the total current is 1 A, the part of it passing through the shunt will be
View Solution
In the diagram shown below, \( m_1 \) and \( m_2 \) are the masses of two particles and \( x_1 \) and \( x_2 \) are their respective distances from the origin \( O \). The centre of mass of the system is
View Solution
A block of wood floats in water with \( \frac{4}{5} \) th of its volume submerged. If the same block just floats in a liquid, the density of the liquid is (in \( kg/m^3 \))
View Solution
A balloon with mass \( m \) is descending down with an acceleration \( a \) (where, \( a < g \)). How much mass should be removed from it so that it starts moving up with an acceleration \( a' \)?
View Solution
A straight wire of length 2 m carries a current of 10 A. If this wire is placed in a uniform magnetic field of 0.15 T making an angle of \( 45^\circ \) with the magnetic field, the applied force on the wire will be
View Solution
Two slabs are of the thicknesses \( d_1 \) and \( d_2 \). Their thermal conductivities are \( K_1 \) and \( K_2 \), respectively. They are in series. The free ends of the combination of these two slabs are kept at temperatures \( \theta_1 \) and \( \theta_2 \). Assume \( \theta_1 > \theta_2 \). The temperature \( \theta \) of their common junction is
View Solution
A square wire of each side \( l \) carries a current \( I \). The magnetic field at the mid-point of the square
View Solution
A cylinder of radius \( r \) and of thermal conductivity \( K_1 \) is surrounded by a cylindrical shell of inner radius \( r \) and outer radius \( 2r \) made of a material of thermal conductivity \( K_2 \). The effective thermal conductivity of the system is
View Solution
The speeds of air-flow on the upper and lower surfaces of a wing of an aeroplane are \( v_1 \) and \( v_2 \), respectively. If \( A \) is the cross-sectional area of the wing and \( \rho \) is the density of air, then the upward lift is
View Solution
Two cells with the same emf \( E \) and different internal resistances \( r_1 \) and \( r_2 \) are connected in series to an external resistance \( R \). If the potential difference across the first cell is zero then the value of \( R \) is
View Solution
A string vibrates with a frequency of 200 Hz. When its length is doubled and tension is altered, it begins to vibrate with a frequency of 300 Hz. The ratio of the new tension to the original tension is
View Solution
When \( 10^{19} \) electrons are removed from a neutral metal plate, the electric charge on it is
View Solution
In an electrical circuit \( R, L, C \) and AC voltage source are all connected in series. When \( L \) is removed from the circuit, the phase difference between the voltage and the current in the circuit is \( \frac{\pi}{3} \). If instead \( C \) is removed from the circuit, the phase difference is again \( \frac{\pi}{3} \). The power factor of the circuit is
View Solution







Comments