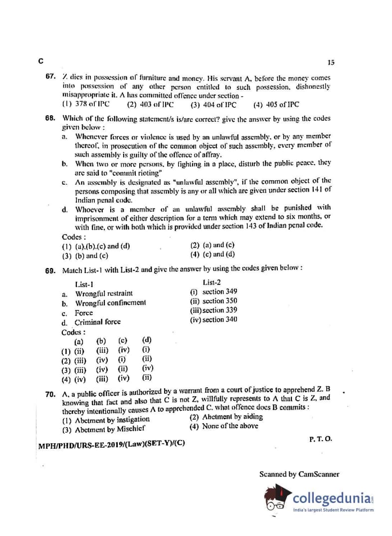
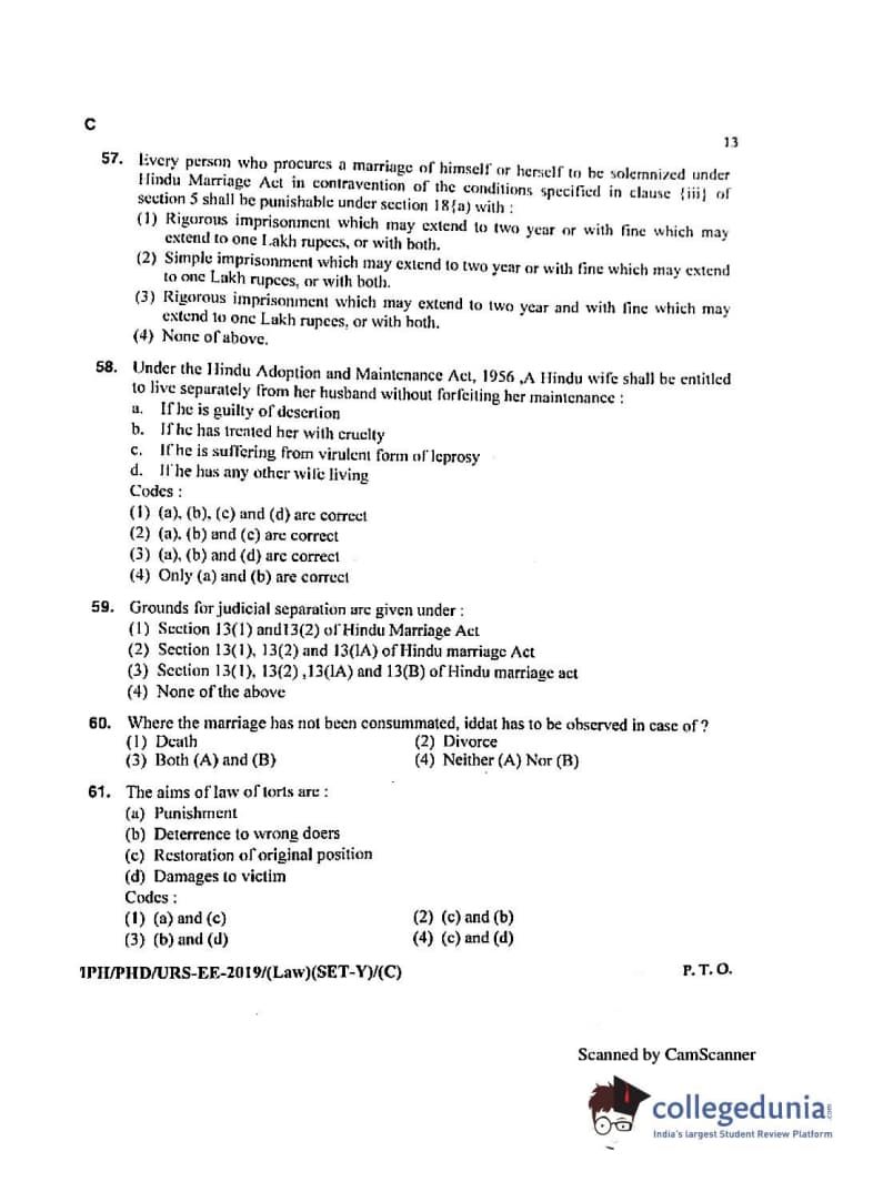
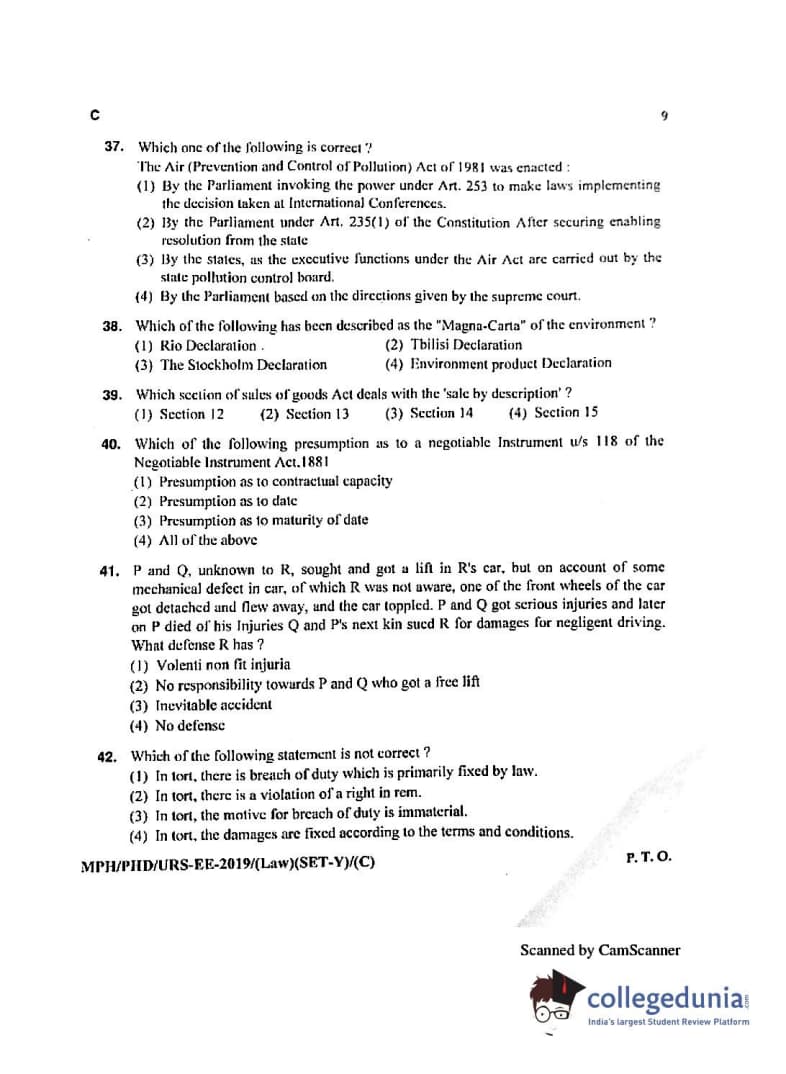
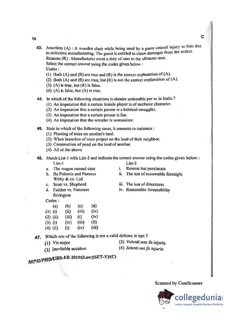
MDUCEE 2019 Ph.D./M.Phil./URS Law Set C Question paper with answer key pdf is available for download. The exam was successfully organized by Maharishi Dayanand University. The question paper comprised a total of 100 questions.
MDUCEE 2019 Ph.D./M.Phil./URS Law Set C Question Paper with Answer Key PDFs
| MDUCEE 2019 Ph.D./M.Phil./URS Law Set C Question Paper PDF | MDUCEE 2019 Ph.D./M.Phil./URS Law Set C Answer Key PDF |
|---|---|
| Download PDF | Download PDF |







Comments