DUET 2020 M.Sc. Chemistry Question paper with answer key pdf conducted on October 9, 2020 in Shift 3 is available for download. The exam was successfully organized by National Testing Agency (NTA). The question paper comprised a total of 100 questions.
DUET 2020 M.Sc. Chemistry Question Paper with Answer Key PDF Shift 3
| DUET Subject | Question Paper with Answer Key PDF |
|---|---|
| DUET 2020 M.Sc. Chemistry | Download PDF |















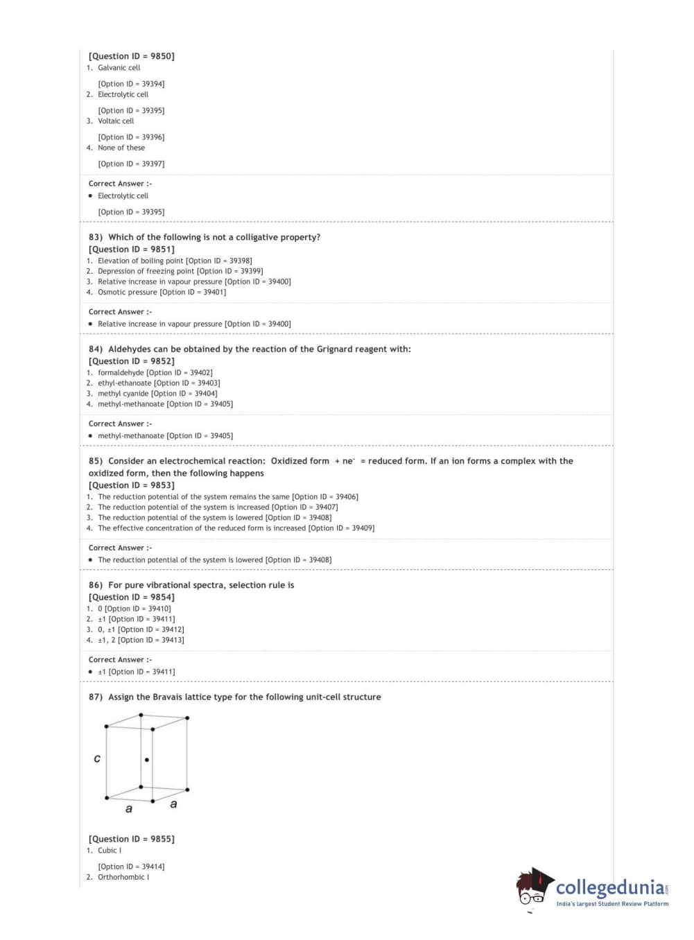
Comments