Bihar Board Class 12 Mathematics Elective Question Paper 2023 with Answer Key pdf is available for download here. The exam was conducted by Bihar School Examination Board (BSEB). The question paper comprised a total of 138 questions divided among 2 sections.
Bihar Board Class 12 Mathematics Elective Question Paper 2023 with Answer Key
| Bihar Board Class 12 Mathematics Elective Question Paper | Bihar Board Class 12 Mathematics Elective Answer Key |
|---|---|
| Download PDF | Download PDF |
If the direction ratios of two parallel lines are \(x,\,5,\,3\) and \(20,\,10,\,6\) then the value of \(x\) is:
View Solution
Step 1 (Reason: Parallel lines have proportional direction ratios).
For lines with d.r.s \((x,5,3)\) and \((20,10,6)\), \[ \frac{x}{20}=\frac{5}{10}=\frac{3}{6}. \]
Step 2 (Reason: simplify known ratios to identify the common factor). \(\dfrac{5}{10}=\dfrac{3}{6}=\dfrac12\), hence the common ratio is \(\dfrac12\).
Step 3 (Reason: equate first pair to the same ratio and solve for \(x\)). \[ \frac{x}{20}=\frac12 \ \Rightarrow\ x=20\cdot\frac12=10. \]
Therefore \(x=10\). Quick Tip: Parallel (or collinear) direction ratios are always in the same ratio: \((l_1,m_1,n_1)\parallel(l_2,m_2,n_2)\iff \dfrac{l_1}{l_2}=\dfrac{m_1}{m_2}=\dfrac{n_1}{n_2}\).
If the direction ratios of two parallel lines are \(a_1, b_1, c_1\) and \(a_2, b_2, c_2\) then \(\dfrac{a_1 c_2}{a_2}=\) ?
View Solution
Step 1 (Reason: Parallelism implies a common proportionality constant).
Let \[ \frac{a_1}{a_2}=\frac{b_1}{b_2}=\frac{c_1}{c_2}=k\neq 0. \]
Step 2 (Reason: rewrite \(a_1\) and \(c_1\) using \(k\)).
From above, \(a_1=k\,a_2\) and \(c_1=k\,c_2\).
Step 3 (Reason: substitute and cancel). \[ \frac{a_1 c_2}{a_2}=\frac{k\,a_2\cdot c_2}{a_2}=k\,c_2=c_1. \]
Hence \(\dfrac{a_1 c_2}{a_2}=c_1\). Quick Tip: Use the single constant \(k\): \(a_1=k a_2,\ b_1=k b_2,\ c_1=k c_2\). Such substitutions make parallel-lines algebra immediate.
If the direction ratios of two mutually perpendicular lines are \(2,\,3,\,5\) and \(x,\,y,\,4\), then \(2x+3y=\) ?
View Solution
Idea. Two lines are perpendicular in 3-D exactly when the dot product of any direction-ratio triples is \(0\). Dot product adds the products of the matching components.
Step 1. Compute the dot product and set it to zero. \[ (2,3,5)\cdot(x,y,4)=2x+3y+5\cdot 4=0. \]
Step 2. Simplify. \[ 2x+3y+20=0\quad\Rightarrow\quad 2x+3y=-20. \]
That is the required value.
Quick Tip: Perpendicular \(\Rightarrow\) dot product \(=0\): multiply component-wise and add.
\(\left\lVert 3\vec i-4\vec j-5\vec k\right\rVert =\) ?
View Solution
Idea. The length of a vector \(\langle a,b,c\rangle\) is the 3-D version of Pythagoras: \(\sqrt{a^2+b^2+c^2}\). Signs do not matter because we square.
Step. \[ \sqrt{3^2+(-4)^2+(-5)^2}=\sqrt{9+16+25}=\sqrt{50}=5\sqrt{2}. \] Quick Tip: Magnitude \(=\sqrt{(x-part)^2+(y-part)^2+(z-part)^2}\).
\([\,2a-7\ \ \ 1\,]=[\,a\ \ \ b-1\,]\Rightarrow (a,b)=\ ?\)
View Solution
Idea. Two equal row vectors must match entry by entry. Turn each position into a small equation.
Step 1. First position. \(2a-7=a\Rightarrow a=7\).
Step 2. Second position. \(1=b-1\Rightarrow b=2\).
So \((a,b)=(7,2)\). Quick Tip: Equal matrices/vectors \(\Rightarrow\) equal corresponding entries.
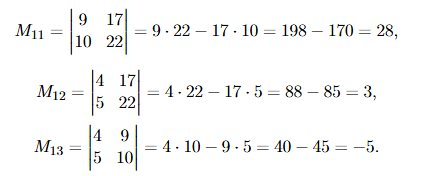
Evaluate
.
View Solution
Idea. Use expansion along the first row (signs \(+\,-\,+\)). Compute three \(2\times2\) minors.
Step 1. Minors.

Step 2. Combine with signs. \[ \det=1\cdot 28-1\cdot 3+5\cdot(-5)=28-3-25=0. \]
Zero determinant also hints that the third row is the sum of the first two, so rows are dependent.
Quick Tip: Row-1 expansion uses \(+\,-\,+\). Linear dependence of rows \(\Rightarrow\) determinant \(0\).
Evaluate
.
View Solution
Idea. Again expand along the first row, or notice a quick pattern: \(R_3=R_1+R_2\) \(\Rightarrow\) rows dependent \(\Rightarrow\) determinant \(0\). We also verify by expansion.
Step (verification).

Quick Tip: If one row = sum of two others, det \(=0\). Spotting such relations saves time.
Evaluate
.
View Solution
Idea. For a \(2\times2\) matrix
\( = ad-bc\). Use reciprocal trig identities \(\sec\theta=\tfrac1{\cos\theta}\), \(\csc\theta=\tfrac1{\sin\theta}\).
Step. \[ (-\sin\theta)\left(\frac{1}{\sin\theta}\right)-\cos\theta\left(\frac{1}{\cos\theta}\right)=-1-1=-2. \] Quick Tip: Replace \(\sec,\csc\) by reciprocals and cancel—often the quickest path.
Compute
= ?
View Solution
Idea. Multiplying by the identity \(I\) leaves a matrix unchanged, just like multiplying a number by \(1\).
So \(I\cdot A=A\) and the product equals the second matrix itself. Quick Tip: \(I\) is the multiplicative identity of matrices: \(IA=AI=A\).
Compute
?
View Solution
Idea. Row–column multiplication: multiply matching entries and add. A \(1\times2\) times \(2\times1\) gives a \(1\times1\) number.
\[ 6\cdot 1+5\cdot(-1)=6-5=1. \] Quick Tip: Always check sizes: \((1\times2)\cdot(2\times1)\to(1\times1)\).
\(\dfrac{d}{dx}\big(2\cos \tfrac{3x}{4}\big)=\) ?
View Solution
Idea. Use the chain rule: derivative of \(\cos u\) is \(-\sin u\cdot u'\). The outer constant \(2\) stays outside.
Step 1. Let \(u=\frac{3x}{4}\Rightarrow u'=\frac{3}{4}\).
Step 2. \[ \frac{d}{dx}\big(2\cos u\big)=2(-\sin u)\,u'=-2\sin\!\left(\tfrac{3x}{4}\right)\cdot\frac{3}{4} =-\frac{3}{2}\sin\!\left(\tfrac{3x}{4}\right). \] Quick Tip: Inside-function derivative multiplies the result: \(f(g(x))'\!=f'(g)\,g'\).
\(\dfrac{d}{dx}\left(e^{-3x}\right)=\) ?
View Solution
Idea. Derivative of \(e^{u}\) is \(e^{u}\cdot u'\). Here \(u=-3x\) so \(u'=-3\).
\[ \frac{d}{dx}e^{-3x}=e^{-3x}\cdot(-3)=-3e^{-3x}. \] Quick Tip: Shortcut: \((e^{kx})'=k\,e^{kx}\).
\(\dfrac{d}{dx}\left(11^x\right)=\) ?
View Solution
Idea. For base \(a\) (constant), \(\dfrac{d}{dx}(a^x)=a^x\ln a\). \(\ln\) and \(\log\) (base \(e\)) are the same in calculus notation here.
So \(\dfrac{d}{dx}(11^x)=11^x\ln 11=11^x\cdot \log 11\). Quick Tip: Don’t mix with power rule \(x^n\). Here the variable is in the exponent.
\(\dfrac{d}{dx}\left(\dfrac{1}{3x-2}\right)=\) ?
View Solution
Idea. Write as a negative power and apply the chain rule.
\[ (3x-2)^{-1}\ \Rightarrow\ \frac{d}{dx}(3x-2)^{-1}=-1(3x-2)^{-2}\cdot(3) =-\frac{3}{(3x-2)^2}. \] Quick Tip: General form: \(\dfrac{d}{dx}(ax+b)^{-1}=-a(ax+b)^{-2}\).
If \(x=a\cos^2\theta,\ y=b\sin^2\theta\), then the value of \(\dfrac{dy}{dx}\) is
View Solution
Idea. Use parametric differentiation: \(\dfrac{dy}{dx}=\dfrac{(dy/d\theta)}{(dx/d\theta)}\). Trig double-angle simplifies nicely.
Step 1. \(dy/d\theta=b\cdot 2\sin\theta\cos\theta=b\sin2\theta.\)
Step 2. \(dx/d\theta=a\cdot 2\cos\theta(-\sin\theta)=-a\sin2\theta.\)
Step 3. \(\dfrac{dy}{dx}=\dfrac{b\sin2\theta}{-a\sin2\theta}=-\dfrac{b}{a}\). Quick Tip: With parameters, divide derivatives: many trig factors cancel automatically.
The solution of the differential equation \(x^2\,dx+y^2\,dy=0\) is
View Solution
Idea. This is already separated: an \(x\)-part with \(dx\) plus a \(y\)-part with \(dy\). Integrate each side straight away.
\[ \int x^2\,dx+\int y^2\,dy=C \Rightarrow \frac{x^3}{3}+\frac{y^3}{3}=C \Rightarrow x^3+y^3=k. \] Quick Tip: Form \(M(x)dx+N(y)dy=0\) \(\Rightarrow\) integrate terms independently.
Evaluate \((\vec j-2\vec i)\cdot(\vec k+3\vec i-\vec j)\).
View Solution
Idea. Convert to components and use \( \vec i\cdot\vec i=\vec j\cdot\vec j=\vec k\cdot\vec k=1\) and cross terms \(0\).
\((-2,1,0)\cdot(3,-1,1)=(-2)\cdot3+1\cdot(-1)+0\cdot1=-6-1+0=-7.\) Quick Tip: Arrange vectors as triples \((x,y,z)\) and multiply component-wise.
Solve \(e^{3x}\,dx+e^{4y}\,dy=0\).
View Solution
Idea. Again the equation is separable: one pure \(x\) term and one pure \(y\) term. Move one to the other side and integrate.
\[ e^{3x}dx=-e^{4y}dy \Rightarrow \int e^{3x}dx+\int e^{4y}dy=C \Rightarrow \frac{1}{3}e^{3x}+\frac{1}{4}e^{4y}=k. \] Quick Tip: \(\int e^{ax}\,dx=\dfrac{1}{a}e^{ax}\). Add constants into a single \(k\).
The solution of \(\dfrac{dx}{x}+\dfrac{dy}{y}=0\) is
View Solution
Idea. Integrate each fraction; logarithms add. Exponentiate to remove \(\ln\).
\[ \ln|x|+\ln|y|=C\Rightarrow \ln|xy|=C\Rightarrow xy=e^{C}=k. \] Quick Tip: \(\ln A+\ln B=\ln(AB)\). Replace \(e^{C}\) by a new constant \(k\).
The integrating factor of the linear DE \(\dfrac{dy}{dx}-y\sin x=\cot x\) is
View Solution
Idea. Standard linear form is \(y'+P(x)y=Q(x)\). The integrating factor is \(e^{\int P(x)\,dx}\).
Step 1. Identify \(P(x)\). Here \(y'-y\sin x=\cot x\Rightarrow P(x)=-\sin x\).
Step 2. Compute IF. \[ IF=e^{\int -\sin x\,dx}=e^{\cos x}. \]
That’s the required integrating factor (no need to solve for \(y\) here).
Quick Tip: Linear DE \(y'+P y=Q\) \(\Rightarrow\) IF \(=\exp(\int P\,dx)\). Watch the sign when moving terms.
\([\,{-}1\,]\,[\,1\ \ {-}1\,]=\ \ ?\)
View Solution
Think of \([\,{-}1\,]\) as a plain number \(-1\). When a scalar multiplies a matrix (or row), it multiplies each entry.
So, \[ [\,{-}1\,]\,[\,1\ \ {-}1\,] =[\,{-}1\times 1\ \ {-}1\times(-1)\,] =[\,{-}1\ \ 1\,]. \]
That’s all—entrywise scaling. Quick Tip: Scalar \(\times\) matrix \(=\) scale every entry by the scalar.
View Solution
Multiply each entry by \(3\):

Quick Tip: A scalar in front of a matrix distributes to every position.
The maximum value of \(Z=6x+3y\) subject to \(x+y\le 25,\ x\ge0,\ y\ge0\) is
View Solution
The feasible region is the triangle with vertices where the lines meet: \((0,0)\), \((25,0)\), \((0,25)\). A linear objective hits its max at a vertex.
Evaluate \(Z\): \((25,0)\Rightarrow Z=6\cdot25+3\cdot0=150\). \((0,25)\Rightarrow Z=0+75=75\). \((0,0)\Rightarrow Z=0\).
So the maximum is \(150\) at \((25,0)\). Quick Tip: Two-variable LPP: just test \(Z\) at the corner points.
The maximum value of \(Z=x-3y\) subject to \(x+y\le13,\ x\ge0,\ y\ge0\) is
View Solution
Since \(y\) has a negative coefficient in \(Z\), we want the smallest \(y\) (take \(y=0\)) and the largest \(x\) allowed.
With \(y=0\), the constraint becomes \(x\le13\).
Corner checks: \((13,0)\Rightarrow Z=13\) (best), \((0,13)\Rightarrow Z=-39\), \((0,0)\Rightarrow Z=0\). Quick Tip: Negative coefficient \(\to\) push that variable to its minimum (if allowed).
The minimum value of \(Z=7x+8y\) subject to \(3x+4y\le24,\ x\ge0,\ y\ge0\) is
View Solution
All coefficients in \(Z\) are positive and the origin \((0,0)\) is feasible (\(0\le24\)).
Therefore the smallest value occurs at \((0,0)\): \(Z=0\). Quick Tip: For “\(\le\)” constraints with \(x,y\ge0\), the origin is feasible; check it first for minimization.
Compute \((2\vec i-3\vec j)\cdot(\vec i+\vec k)\).
View Solution
Write components: \((2,-3,0)\) and \((1,0,1)\).
Dot product \(=\) multiply componentwise and add: \[ 2\cdot1+(-3)\cdot0+0\cdot1=2. \] Quick Tip: Only same-direction pairs (\(i\cdot i\), \(j\cdot j\), \(k\cdot k\)) contribute.
For \(|x|\le1\), \(2\tan^{-1}x=\ \ ?\)
View Solution
Let \(\theta=\tan^{-1}x \Rightarrow x=\tan\theta\) with \(\theta\in[-\pi/4,\pi/4]\).
Use \(\sin(2\theta)=\dfrac{2\tan\theta}{1+\tan^2\theta}\): \[ \sin(2\theta)=\frac{2x}{1+x^2}. \]
Since \(2\theta\in[-\pi/2,\pi/2]\), \(\sin^{-1}\) returns \(2\theta\): \[ 2\tan^{-1}x=2\theta=\sin^{-1}\!\left(\frac{2x}{1+x^2}\right). \] Quick Tip: Set \(x=\tan\theta\) and convert using double-angle formulas.
For \(x\in\mathbb R\), \(\cot^{-1}x=\ \ ?\)
View Solution
\(\cot\theta=\tan\!\left(\tfrac{\pi}{2}-\theta\right)\).
Apply inverse on both sides (with principal ranges): \(\cot^{-1}x=\tfrac{\pi}{2}-\tan^{-1}x\). Quick Tip: \(\tan\) and \(\cot\) are complementary: swap with \(\frac{\pi}{2}-\,\)angle.
\(\tan^{-1}\!\left(\dfrac{x+y}{1-xy}\right)=\ \ ?\)
View Solution
Use the tangent addition formula \(\tan(\alpha+\beta)=\dfrac{\tan\alpha+\tan\beta}{1-\tan\alpha\,\tan\beta}\).
Take \(\alpha=\tan^{-1}x,\ \beta=\tan^{-1}y\). Then \(\tan(\alpha+\beta)=\dfrac{x+y}{1-xy}\).
Apply \(\tan^{-1}\): \(\alpha+\beta=\tan^{-1}x+\tan^{-1}y\). Quick Tip: Spot \(\dfrac{x+y}{1-xy}\) \(\Rightarrow\) it is \(\tan(\alpha+\beta)\) in disguise.
\(\sin^{-1}\!\big(\sin \tfrac{2\pi}{3}\big)=\ \ ?\)
View Solution
\(\sin\!\left(\tfrac{2\pi}{3}\right)=\tfrac{\sqrt3}{2}\). \(\sin^{-1}\) must return an angle in \([-\tfrac{\pi}{2},\tfrac{\pi}{2}]\).
In that range, the angle whose sine is \(\tfrac{\sqrt3}{2}\) is \(\tfrac{\pi}{3}\), not \(2\pi/3\). Quick Tip: Always convert back to the principal} angle for inverse trig.
View Solution
Right matrix is \(2I\) (twice the identity). Multiplying any matrix by \(2I\) doubles each column:
First column \( \to 2\times(13,-1)=(26,-2)\); second column \(\to 2\times(15,4)=(30,8)\).
So product
. Quick Tip: Multiplication by a diagonal matrix scales columns by the diagonal entries.
45\end{bmatrix}\)
View Solution
Row–column rule:
Top entry \(=2\cdot2+3\cdot5=4+15=19\).
Bottom entry \(=5\cdot2+7\cdot5=10+35=45\). Quick Tip: \((2\times2)(2\times1)\Rightarrow(2\times1)\) — size check prevents mistakes.
\(\displaystyle \int_{\pi/6}^{\pi/4}\tan\theta\,d\theta=\ \ ?\)
View Solution
Use \(\displaystyle\int \tan\theta\,d\theta=\ln|\sec\theta|+C\).
Evaluate: \[ \ln(\sec\tfrac{\pi}{4})-\ln(\sec\tfrac{\pi}{6}) =\ln(\sqrt2)-\ln\!\Big(\tfrac{2}{\sqrt3}\Big) =\ln\!\Big(\tfrac{\sqrt6}{2}\Big). \]
This value is not \(0,1,2,\) or \(3\). Hence none of the given choices matches. Quick Tip: \(\int\tan\theta\,d\theta=\ln|\sec\theta|\); definite values often stay as logs.
\(\displaystyle \int \sin^{3}\theta\ \csc^{2}\theta\,d\theta=\ \ ?\)
View Solution
\(\csc^{2}\theta=\dfrac{1}{\sin^{2}\theta}\). So \[ \sin^{3}\theta\cdot\csc^{2}\theta=\sin^{3}\theta\cdot\frac{1}{\sin^{2}\theta}=\sin\theta. \]
Then \(\int \sin\theta\,d\theta=-\cos\theta+c\). Quick Tip: Rewrite reciprocals (\(\csc^2=1/\sin^2\)) and cancel powers first.
\(\displaystyle \int \big(\cos\theta\,\csc^{2}\theta-\cos\theta\,\cot^{2}\theta\big)\,d\theta=\ \ ?\)
View Solution
Factor \(\cos\theta\): \(\cos\theta(\csc^{2}\theta-\cot^{2}\theta)\).
Identity: \(\csc^{2}\theta-\cot^{2}\theta=1\).
So integral \(\int \cos\theta\,d\theta=\sin\theta+k\). Quick Tip: Use \(\csc^2-\cot^2=1\) (parallel to \(\sec^2-\tan^2=1\)).
\(\displaystyle \int (4\cos x-5\sin x)\,dx=\ \ ?\)
View Solution
Integrate term by term: \(\int 4\cos x\,dx=4\sin x\). \(\int -5\sin x\,dx=5\cos x\).
Add the constant \(k\). Quick Tip: Linearity: integrate each term, then add a single constant \(k\).
\(\displaystyle \int \frac{3\cos x-2\sin x}{2\cos x+3\sin x}\,dx=\ \ ?\)
View Solution
Let \(f(x)=2\cos x+3\sin x\). Then \[ f'(x)=-2\sin x+3\cos x=3\cos x-2\sin x, \]
which is exactly the numerator.
Hence the integrand is \(\dfrac{f'(x)}{f(x)}\), so \(\int \dfrac{f'}{f}\,dx=\ln|f|+k=\ln|2\cos x+3\sin x|+k\). Quick Tip: Spot “derivative over itself” \(\Rightarrow\) immediate \(\ln|\,\cdot\,|\).
\(\displaystyle \int \frac{3x^{2}+2}{x^{3}+2x}\,dx=\ \ ?\)
View Solution
Let \(g(x)=x^{3}+2x\Rightarrow g'(x)=3x^{2}+2\) (the numerator).
Therefore \(\int\dfrac{g'(x)}{g(x)}dx=\ln|g(x)|+k=\ln|x^{3}+2x|+k\). Quick Tip: Try to see the denominator’s derivative sitting upstairs.
\(\displaystyle \int \frac{dx}{x^{2}+5}=\ \ ?\)
View Solution
Standard form: \[ \int\frac{dx}{x^{2}+a^{2}}=\frac{1}{a}\tan^{-1}\!\left(\frac{x}{a}\right)+C. \]
Here \(a^{2}=5\Rightarrow a=\sqrt5\). Substitute to get the answer. Quick Tip: Memorize: \(\int \frac{dx}{x^2+a^2}=\frac{1}{a}\arctan\!\frac{x}{a}\).
\(\displaystyle \int_{-1}^{1}\log\!\left(\frac{3+x}{\,3-x\,}\right)dx=\ \ ?\)
View Solution
Let \(f(x)=\ln\!\left(\dfrac{3+x}{3-x}\right)\). Check symmetry: \[ f(-x)=\ln\!\left(\frac{3-x}{3+x}\right)=-\ln\!\left(\frac{3+x}{3-x}\right)=-f(x). \]
So \(f\) is an odd function. The integral of an odd function over a symmetric interval \([-a,a]\) is \(0\). Hence the value is \(0\). Quick Tip: If \(f(-x)=-f(x)\), then \(\int_{-a}^{a} f(x)\,dx=0\).
If \(A\) and \(B\) are independent events, \(P(A)=0.3\) and \(P(B)=0.4\), then \(P(A\cap B)=\) ?
View Solution
Why we can multiply: For independent events, knowing that one happens does not change the chance of the other. By definition, this gives the multiplication rule \[ P(A\cap B)=P(A)\cdot P(B). \]
Substitute the given probabilities: \[ P(A\cap B)=0.3\times 0.4=0.12. \]
So the probability that both \(A\) and \(B\) occur together is \(0.12\). Quick Tip: Independent \(\Rightarrow\) multiply: \(P(A\cap B)=P(A)P(B)\). (If they were not} independent, this formula would not hold.)
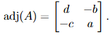
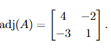
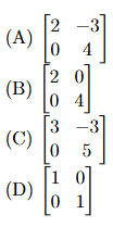
The adjoint (adjugate) of the matrix
is
View Solution
Step 1: Recall the 2\(\times\)2 formula.
For
,

This comes from taking cofactors and then transposing the cofactor matrix (for a \(2\times2\), that reduces to swapping \(a\leftrightarrow d\) and negating the off–diagonals).
[4pt]
Step 2: Apply it to \(A=\) ![]()
Here \(a=1,\ b=2,\ c=3,\ d=4\). Therefore 
This matches option (A). Quick Tip: Memorize the \(2\times2\) adjoint: swap the diagonal entries, change signs of the off–diagonals:
.
If the direction cosines of a line are \(\dfrac{4}{\sqrt{77}},\ \dfrac{5}{\sqrt{77}},\ \dfrac{x}{\sqrt{77}}\), then the value of \(x\) is
View Solution
For any line in 3-D, its direction cosines \(l,m,n\) satisfy \[ l^{2}+m^{2}+n^{2}=1 \quad (unit vector condition). \]
Here \(l=\dfrac{4}{\sqrt{77}},\ m=\dfrac{5}{\sqrt{77}},\ n=\dfrac{x}{\sqrt{77}}\).
So \[ \left(\frac{4}{\sqrt{77}}\right)^{2}+\left(\frac{5}{\sqrt{77}}\right)^{2}+\left(\frac{x}{\sqrt{77}}\right)^{2}=1 \] \[ \frac{16+25+x^{2}}{77}=1 \ \Rightarrow\ 16+25+x^{2}=77\ \Rightarrow\ x^{2}=36. \]
Hence \(x=\pm 6\). Among the choices the matching value is \(6\). Quick Tip: Direction cosines are the components of a unit} direction vector, so they always satisfy \(l^2+m^2+n^2=1\).
If \(A=\)
, then the value of \(A^{25}\) is
View Solution
The given matrix is the identity \(I_2\). Identity is the multiplicative neutral element: \[ I_2^n=I_2 \quad for any positive integer n. \]
Therefore, \[ A^{25}=I_2^{25}=I_2=A. \] Quick Tip: Raising the identity to any power gives the identity back: \(I^n=I\).
If a binary operation is defined by \(a\ \mathrm{o}\ b=3a+b\), then \((2\ \mathrm{o}\ 3)\ \mathrm{o}\ 5=\) ?
View Solution
Operate step by step (left to right):
1) First compute \(2\ \mathrm{o}\ 3\): \[ 2\ \mathrm{o}\ 3=3(2)+3=6+3=9. \]
2) Now use this result with \(5\): \[ (2\ \mathrm{o}\ 3)\ \mathrm{o}\ 5=9\ \mathrm{o}\ 5=3(9)+5=27+5=32. \]
Hence the value is \(32\). Quick Tip: When a custom operation is given by a formula, evaluate exactly in the stated order: compute the inner operation first, then apply the rule again.
If \(A=\{1,2\}\), \(B=\{a,b,c\}\) then the total number of functions from \(A\) to \(B\) is
View Solution
For a function \(f:A\to B\), each element of \(A\) may be sent to any element of \(B\).
Here \(|A|=2\), \(|B|=3\). For the first element of \(A\) there are \(3\) choices; for the second, again \(3\) choices (independent).
Thus total functions \(=3\times3=3^{2}=9\). Quick Tip: Number of functions from an \(m\)-element set to an \(n\)-element set is \(n^{m}\).
If \(A=\{a,b\}\), \(B=\{1,2,3\}\) then the total number of one–one (injective) functions from \(A\) to \(B\) is
View Solution
For injective \(f:A\to B\), distinct elements of \(A\) must go to distinct elements of \(B\).
Choose an image for \(a\): \(3\) choices. Then for \(b\) only \(2\) choices remain (must be different).
Total \(=3\times2=6=P(3,2)\). Quick Tip: One–one maps from size \(m\) to size \(n\) (with \(n\ge m\)) are \(nP m=\frac{n!}{(n-m)!}\).
The solution of the differential equation \(dx+dy=0\) is
View Solution
Rewrite \(dx+dy=0\) as \(dy=-dx\). Integrate both sides: \[ \int dy=\int(-dx)\quad\Rightarrow\quad y=-x+C. \]
Move \(x\) to the left: \(x+y=C=k\). This represents straight lines of slope \(-1\). Quick Tip: When differentials separate directly, integrate both sides and combine constants.
\(\vec i\cdot\vec i=\) ?
View Solution
Unit vectors have length \(1\) and are mutually perpendicular. Dot product of a vector with itself equals the square of its length: \[ \vec i\cdot\vec i=\|\vec i\|^{2}=1^{2}=1. \] Quick Tip: \(\vec i\cdot\vec i=\vec j\cdot\vec j=\vec k\cdot\vec k=1\); mixed pairs are \(0\).
\(\vec j\times\vec i=\) ?
View Solution
Right–hand rule: \(\vec i\times\vec j=\vec k\). Swapping the order changes the sign: \[ \vec j\times\vec i=-(\vec i\times\vec j)=-\vec k. \] Quick Tip: Cross product is anti-commutative: \(\mathbf{a}\times\mathbf{b}=-(\mathbf{b}\times\mathbf{a})\).
\(\sin\!\big(\sin^{-1}\tfrac12\big)=\) ?
View Solution
\(\sin^{-1}\) returns an angle whose sine is the input. Thus \(\theta=\sin^{-1}\tfrac12\) satisfies \(\sin\theta=\tfrac12\). Applying \(\sin\) undoes \(\sin^{-1}\): \[ \sin(\sin^{-1}\tfrac12)=\tfrac12. \] Quick Tip: For any \(x\in[-1,1]\), \(\sin(\sin^{-1}x)=x\).
\(\sin^{-1}x+\sin^{-1}y=\) (principal values)
View Solution
Let \(\alpha=\sin^{-1}x,\ \beta=\sin^{-1}y\Rightarrow \sin\alpha=x,\ \sin\beta=y\) with \(\alpha,\beta\in[-\pi/2,\pi/2]\).
Then \[ \sin(\alpha+\beta)=\sin\alpha\cos\beta+\cos\alpha\sin\beta =x\sqrt{1-y^{2}}+y\sqrt{1-x^{2}}. \]
Since \(\alpha+\beta\) lies in \([-\pi,\pi]\) and under usual exam assumptions \(\alpha+\beta\in[-\pi/2,\pi/2]\), we write \(\alpha+\beta=\sin^{-1}\!\big(x\sqrt{1-y^{2}}+y\sqrt{1-x^{2}}\big)\). Quick Tip: Convert inverse sines to angles, use \(\sin(\alpha+\beta)\), then return via \(\sin^{-1}\).
For \(x\in[-1,1]\), evaluate \(\ \sin\!\big(2(\sin^{-1}x+\cos^{-1}x)\big)\).
View Solution
\(\sin^{-1}x+\cos^{-1}x=\dfrac{\pi}{2}\). Hence \[ 2(\sin^{-1}x+\cos^{-1}x)=2\cdot \frac{\pi}{2}=\pi,\quad \sin(\pi)=0. \] Quick Tip: Key identity: \(\sin^{-1}x+\cos^{-1}x=\dfrac{\pi}{2}\) for all \(x\in[-1,1]\).
For \(x\in\mathbb{R}\), compute \(\csc\!\big(\tan^{-1}x+\cot^{-1}x\big)\).
View Solution
With the standard principal ranges used in school exams, \(\tan^{-1}x+\cot^{-1}x=\dfrac{\pi}{2}\).
Therefore \[ \csc\!\left(\tan^{-1}x+\cot^{-1}x\right)=\csc\!\left(\frac{\pi}{2}\right)=1. \] Quick Tip: Remember \(\arctan x+\operatorname{arccot}x=\dfrac{\pi}{2}\) (principal values).
If \(|x|\ge1\), then \(\tan\!\left[\dfrac{2}{3}\big(\tan^{-1}x+\cot^{-1}x\big)\right]=\) ?
View Solution
Using \(\tan^{-1}x+\cot^{-1}x=\dfrac{\pi}{2}\), \[ \tan\!\left[\frac{2}{3}\cdot\frac{\pi}{2}\right]=\tan\!\left(\frac{\pi}{3}\right)=\sqrt3. \] Quick Tip: Once the inside is a fixed angle, evaluate the outer trig directly.
\(\dfrac{d}{dx}\big(e^{x}+\cos5x\big)=\) ?
View Solution
Differentiate termwise: \(\dfrac{d}{dx}(e^{x})=e^{x}\); \(\dfrac{d}{dx}(\cos5x)=-\sin5x\cdot 5\) by chain rule.
Add: \[ e^{x}-5\sin5x. \] Quick Tip: For \(\cos(kx)\), derivative is \(-k\sin(kx)\).
\(\dfrac{d}{dx}\big(\sin2x+e^{x}-\cos x\big)=\) ?
View Solution
\(\dfrac{d}{dx}(\sin2x)=2\cos2x\); \(\dfrac{d}{dx}(e^{x})=e^{x}\); \(\dfrac{d}{dx}(-\cos x)=+\sin x\).
Sum them to get \(2\cos2x+e^{x}+\sin x\). Quick Tip: Derivative of \(-\cos x\) is \(+\sin x\); watch the sign.
\(\dfrac{d}{dx}\!\left(\dfrac{1}{4}\sec4x\right)=\) ?
View Solution
\[ \frac{d}{dx}\!\left(\frac14\sec4x\right)=\frac14\cdot (\sec4x\tan4x)\cdot 4=\sec4x\tan4x. \] Quick Tip: For \(\sec(kx)\), derivative is \(k\,\sec(kx)\tan(kx)\).
\(\dfrac{d}{dx}\big(\log_{e}(10x)\big)=\) ?
View Solution
\(\ln(10x)=\ln10+\ln x\). Constant’s derivative is \(0\). \(\dfrac{d}{dx}(\ln x)=\dfrac{1}{x}\). Hence the result is \(1/x\). Quick Tip: \(\dfrac{d}{dx}\ln(ax)=\dfrac{1}{x}\) for any constant \(a>0\).
Distance of the plane \(3x-4y+6z=11\) from the origin is
View Solution
Write plane in \(Ax+By+Cz+D=0\) form: \(3x-4y+6z-11=0\).
Distance from origin: \[ \frac{|D|}{\sqrt{A^{2}+B^{2}+C^{2}}} =\frac{|{-}11|}{\sqrt{3^{2}+(-4)^{2}+6^{2}}} =\frac{11}{\sqrt{9+16+36}} =\frac{11}{\sqrt{61}}. \] Quick Tip: Point–plane distance: \(\displaystyle \frac{|Ax_0+By_0+Cz_0+D|}{\sqrt{A^2+B^2+C^2}}\); put plane as \(Ax+By+Cz+D=0\) first.
\(\displaystyle \int \sin\!\left(\frac{3x}{4}\right)\,dx=\) ?
View Solution
Reason. Use the chain rule in reverse (substitution).
Let \(u=\dfrac{3x}{4}\Rightarrow du=\dfrac{3}{4}dx\Rightarrow dx=\dfrac{4}{3}du\). Then \[ \int \sin\!\left(\tfrac{3x}{4}\right)\,dx=\int \sin u\cdot \frac{4}{3}\,du =\frac{4}{3}\int \sin u\,du =\frac{4}{3}(-\cos u)+k =-\frac{4}{3}\cos\!\left(\tfrac{3x}{4}\right)+k. \]
Thus the antiderivative is \(k-\dfrac{4}{3}\cos\!\left(\dfrac{3x}{4}\right)\). Quick Tip: \(\displaystyle \int \sin(ax)\,dx=-\frac{1}{a}\cos(ax)+C\).
\(\displaystyle \int \cos\!\left(\frac{7x}{9}\right)\,dx=\) ?
View Solution
\(\displaystyle \int \cos(ax)\,dx=\frac{1}{a}\sin(ax)+C\).
Here \(a=\dfrac{7}{9}\), hence \[ \int \cos\!\left(\tfrac{7x}{9}\right)dx=\frac{1}{7/9}\sin\!\left(\tfrac{7x}{9}\right)+k =\frac{9}{7}\sin\!\left(\tfrac{7x}{9}\right)+k. \] Quick Tip: Differentiate to check: \(\dfrac{d}{dx}\big(\tfrac{1}{a}\sin(ax)\big)=\cos(ax)\).
\(\displaystyle \int \sec^{2}\!\left(\frac{17x}{23}\right)\,dx=\) ?
View Solution
\(\displaystyle \int \sec^{2}(ax)\,dx=\frac{1}{a}\tan(ax)+C\).
With \(a=\dfrac{17}{23}\), \[ \int \sec^{2}\!\left(\tfrac{17x}{23}\right)\!dx =\frac{1}{17/23}\tan\!\left(\tfrac{17x}{23}\right)+k =\frac{23}{17}\tan\!\left(\tfrac{17x}{23}\right)+k. \] Quick Tip: Because \((\tan u)'=\sec^2 u\), the antiderivative is \(\tan u\) divided by \(u'\).
\(\displaystyle \int 4^{x}\,dx=\) ?
View Solution
For base \(a>0,\ a\ne1\): \(\displaystyle \int a^{x}dx=\frac{a^{x}}{\ln a}+C\).
Putting \(a=4\) gives \(\dfrac{4^x}{\log 4}+k\) (here \(\log\) means natural log). Quick Tip: Do not confuse with \(x^{n}\): that uses the power rule, not the exponential rule.
\(\displaystyle \int x\,(4x^{2}-6)\,dx=\) ?
View Solution
First expand: \(x(4x^{2}-6)=4x^{3}-6x\).
Integrate termwise: \[ \int 4x^{3}dx=x^{4},\qquad \int -6x\,dx=-3x^{2}. \]
Hence \(x^{4}-3x^{2}+k\). Quick Tip: Always simplify the integrand (expand/factor) before integrating.
\(\displaystyle \int e^{x}(\cos x-\sin x)\,dx=\) ?
View Solution
Recognize a derivative: \(\dfrac{d}{dx}(e^{x}\cos x)=e^{x}\cos x-e^{x}\sin x=e^{x}(\cos x-\sin x)\).
Thus the integral is \(e^{x}\cos x+k\). Quick Tip: Look for a known product whose derivative matches the pattern.
\(\displaystyle \int e^{x}\,(x^{3}+3x^{2})\,dx=\) ?
View Solution
Check the derivative of \(x^{3}e^{x}\) by product rule: \[ \frac{d}{dx}(x^{3}e^{x})=e^{x}x^{3}+e^{x}\cdot 3x^{2}=e^{x}(x^{3}+3x^{2}). \]
It matches the integrand, so the antiderivative is \(x^{3}e^{x}+k\). Quick Tip: When you see \(e^x\) times a polynomial, try derivative of \((polynomial)\cdot e^x\).
\(\displaystyle \int e^{x}\!\left(\frac{1}{x}-\frac{1}{x^{2}}\right)\,dx=\) ?
View Solution
Differentiate \(\dfrac{e^{x}}{x}\) using quotient rule: \[ \left(\frac{e^{x}}{x}\right)'=\frac{x e^{x}-e^{x}}{x^{2}}=e^{x}\left(\frac{1}{x}-\frac{1}{x^{2}}\right). \]
Matches the integrand, so the antiderivative is \(\dfrac{e^{x}}{x}+k\). Quick Tip: A pattern like \(e^x\!\left(\frac{1}{x}-\frac{1}{x^{2}}\right)\) screams “derivative of \(\frac{e^x}{x}\)”.
\(3\vec{k}\cdot(13\vec{i}-7\vec{k})=\) ?
View Solution
Write components: \(3\vec{k}=(0,0,3)\) and \(13\vec{i}-7\vec{k}=(13,0,-7)\).
Dot product \(=(0)(13)+(0)(0)+(3)(-7)=-21\).
The correct value is \(-21\). Since that number does not appear, the printed choices are inconsistent. If the question intended the magnitude only, \(|-21|=21\) (option (C)). Quick Tip: Dot product adds products of matching components; sign matters.
\(\dfrac{d}{dx}\big(\sin \tfrac{4x}{5}\big)=\) ?
View Solution
Chain rule: \((\sin u)'=\cos u\cdot u'\) with \(u=\dfrac{4x}{5}\Rightarrow u'=\dfrac{4}{5}\). So derivative \(=\dfrac{4}{5}\cos\!\left(\dfrac{4x}{5}\right)\). Quick Tip: Always multiply by the inner derivative \(u'\) after differentiating the outside.
An equation of a plane parallel to \(x-8y-9z=12\) is
View Solution
Parallel planes have the same normal vector, so the coefficients of \(x,y,z\) must be proportional (here exactly the same). Only the constant may differ.
Thus the family: \(x-8y-9z=d\) with any \(d\neq12\). Option (B) fits. Quick Tip: To be parallel: keep the \(x,y,z\) coefficients the same; change only the constant term.
\(\big(3\vec{i}-4\vec{k}\big)^{2}=\) ?
View Solution
Here “square” means dotting the vector with itself (magnitude squared): \[ (3\vec{i}-4\vec{k})\cdot(3\vec{i}-4\vec{k})=3^{2}+(-4)^{2}=9+16=25. \] Quick Tip: \(\|\mathbf{v}\|^{2}=\mathbf{v}\cdot\mathbf{v}\).
The unit vector in the direction of \(3\vec{i}-9\vec{j}\) is
View Solution
Magnitude \(\|3\vec{i}-9\vec{j}\|=\sqrt{3^{2}+(-9)^{2}}=\sqrt{9+81}=\sqrt{90}\).
Unit vector \(=\dfrac{1}{\|\cdot\|}\times\) vector \(=\dfrac{3\vec{i}-9\vec{j}}{\sqrt{90}}\) (which simplifies to \(\dfrac{\vec{i}-3\vec{j}}{\sqrt{10}}\)). Quick Tip: Unit vector = vector divided by its magnitude.
\((\vec{i}-\vec{j}+\vec{k})\cdot(7\vec{i}-8\vec{j}+9\vec{k})=\) ?
View Solution
Dot product: multiply components and add: \[ 1\cdot7+(-1)\cdot(-8)+1\cdot9=7+8+9=24. \] Quick Tip: Write vectors as triples and use \(a_1a_2+b_1b_2+c_1c_2\).
The intercept cut off on the \(x\)-axis by the plane \(3x+4y+5z=13\) is
View Solution
On the \(x\)-axis \(y=z=0\). Substitute into the plane: \[ 3x=13\Rightarrow x=\frac{13}{3}. \]
That is the \(x\)-intercept. Quick Tip: To find the \(x\)-intercept of a plane, set \(y=z=0\) and solve for \(x\).
If the line \(\dfrac{x}{-1}=\dfrac{y}{2}=\dfrac{z}{3}\) is parallel to the plane \(ax+by+cz+d=0\) then
View Solution
Direction ratios of the line are \((-1,2,3)\). A line parallel to a plane has its direction vector perpendicular to the plane’s normal \((a,b,c)\).
So their dot product is \(0\): \[ (-1,2,3)\cdot(a,b,c)=-a+2b+3c=0. \] Quick Tip: Parallel to plane \(\Rightarrow\) direction vector \(\perp\) plane’s normal.
If two planes \(a_{1}x+b_{1}y+c_{1}z+d_{1}=0\) and \(a_{2}x+b_{2}y+c_{2}z+d_{2}=0\) are mutually perpendicular, then
View Solution
Normals of the planes are \(\vec{n}_{1}=(a_{1},b_{1},c_{1})\) and \(\vec{n}_{2}=(a_{2},b_{2},c_{2})\).
Planes are perpendicular \(\iff\) their normals are perpendicular: \(\vec{n}_{1}\cdot\vec{n}_{2}=0\Rightarrow a_{1}a_{2}+b_{1}b_{2}+c_{1}c_{2}=0\). Quick Tip: Angles between planes equal angles between their normal vectors.
\((11\vec{i}-7\vec{j}-\vec{k})\cdot(8\vec{i}-\vec{j}-5\vec{k})=\) ?
View Solution
Compute componentwise: \[ 11\cdot 8+(-7)\cdot(-1)+(-1)\cdot(-5)=88+7+5=100. \]
So the dot product equals \(100\). Quick Tip: Dot product is distributive and commutative for componentwise multiplication and addition.
If \(P(A)=\dfrac{7}{11},\ P(B)=\dfrac{9}{11},\ P(A\cap B)=\dfrac{4}{11}\), then \(P(A/B)=\) ?
View Solution
Why use conditional formula: By definition, \[ P(A\mid B)=\frac{P(A\cap B)}{P(B)}. \]
Substitute values: \[ P(A\mid B)=\frac{\tfrac{4}{11}}{\tfrac{9}{11}}=\frac{4}{11}\cdot\frac{11}{9}=\frac{4}{9}. \]
So, given that \(B\) has occurred, the chance that \(A\) also occurs is \(\dfrac{4}{9}\). Quick Tip: “Given \(B\)” means reduce the sample space to \(B\): probability becomes \(P(both)/P(B)\).
If \(P(E)=\dfrac{3}{7},\ P(F)=\dfrac{5}{7},\ P(E\cup F)=\dfrac{6}{7}\), then \(P(E\cap F)=\) ?
View Solution
Reason. Use the addition law: \[ P(E\cup F)=P(E)+P(F)-P(E\cap F). \]
Compute: \[ \frac{6}{7}=\frac{3}{7}+\frac{5}{7}-P(E\cap F) \ \Rightarrow\ P(E\cap F)=\frac{3+5-6}{7}=\frac{2}{7}. \] Quick Tip: Union \(=\) sum minus overlap: \(P(E\cup F)=P(E)+P(F)-P(E\cap F)\).
The integrating factor of the linear DE \(\dfrac{dy}{dx}+\dfrac{2}{x}y=5x^{2}\) is
View Solution
Standard form \(y'+P(x)y=Q(x)\) has IF \(=\exp\!\left(\int P(x)\,dx\right)\).
Here \(P(x)=\dfrac{2}{x}\). So \[ IF=\exp\!\left(\int \frac{2}{x}dx\right)=\exp(2\ln x)=e^{\ln x^{2}}=x^{2}. \] Quick Tip: For \(y'+\dfrac{m}{x}y=\ldots\), IF is \(x^{m}\).
\((3\vec{k}-7\vec{i})\times 2\vec{k}=\) ?
View Solution
Write components: \((3\vec{k}-7\vec{i})=(-7,0,3)\), \(2\vec{k}=(0,0,2)\).
Use determinant for cross product:

Quick Tip: Only the terms with nonzero minors survive; watch the sign in the middle cofactor.
\(\ \left|\ \vec{i}-2\vec{j}+2\vec{k}\ \right|=\) ?
View Solution
Magnitude of \((1,-2,2)\): \[ \sqrt{1^{2}+(-2)^{2}+2^{2}}=\sqrt{1+4+4}=\sqrt{9}=3. \] Quick Tip: Length of \((a,b,c)\) is \(\sqrt{a^{2}+b^{2}+c^{2}}\).
Direction ratios of the normal to the plane \(x+2y-3z+15=0\) are
View Solution
For \(Ax+By+Cz+D=0\), the normal direction ratios are \((A,B,C)\).
Hence \((1,2,-3)\). Quick Tip: Plane coefficients \(\Rightarrow\) normal d.r.s immediately.
The direction ratios of the line \(\dfrac{x+1}{3}=\dfrac{y-2}{3}=\dfrac{z-5}{6}\) are
View Solution
In the symmetric form \(\dfrac{x-x_{0}}{l}=\dfrac{y-y_{0}}{m}=\dfrac{z-z_{0}}{n}\), the denominators \(l,m,n\) are direction ratios.
So d.r.s are \((3,3,6)\). Quick Tip: Denominators in the symmetric equation give the line’s d.r.s.
Through which point does the line \(\dfrac{x-100}{101}=\dfrac{y-99}{102}=\dfrac{z-98}{103}\) pass?
View Solution
Set parameter \(t=0\) in \(x=100+101t,\ y=99+102t,\ z=98+103t\).
This gives the point \((100,99,98)\) on the line. Quick Tip: The “\(-x_0,-y_0,-z_0\)” numerators reveal the point \((x_0,y_0,z_0)\) on the line.
\((10\vec{i}+\vec{j}+\vec{k})\times(-4\vec{i}+7\vec{j}-11\vec{k})=\) ?
View Solution
Use determinant:

Compute: \(\vec{i}(-11-7)-\vec{j}(-110+4)+\vec{k}(70+4)=-18\vec{i}+106\vec{j}+74\vec{k}\). Quick Tip: Cofactor signs are \(+,-,+\) across the top row.
\(\dfrac{d}{dx}(x^{3}+e^{x})=\) ?
View Solution
Differentiate termwise: \((x^{3})'=3x^{2}\), \((e^{x})'=e^{x}\). Add them. Quick Tip: Sum rule: derivative of a sum is the sum of derivatives.
\(\dfrac{d}{dx}(\tan x+\sin^{2}x)=\) ?
View Solution
\((\tan x)'=\sec^{2}x\).
Using chain rule on \(\sin^{2}x\): derivative \(=2\sin x\cos x\).
Add to get \(\sec^{2}x+2\sin x\cos x\). Quick Tip: \((\sin^{2}x)'=2\sin x\cos x\) comes from \((u^{2})'=2u\,u'\) with \(u=\sin x\).
\(\dfrac{d^{2}}{dx^{2}}(e^{5x})=\) ?
View Solution
First derivative: \((e^{5x})'=5e^{5x}\).
Second derivative: differentiate again \(\Rightarrow 25e^{5x}\). Quick Tip: Each differentiation of \(e^{kx}\) brings down another factor \(k\).
\(3\displaystyle \int_{0}^{3} x^{3}\,dx=\) ?
View Solution
\(\int x^{3}dx=\dfrac{x^{4}}{4}\).
Evaluate from \(0\) to \(3\): \[ \left[\frac{x^{4}}{4}\right]_{0}^{3}=\frac{3^{4}}{4}-0=\frac{81}{4}. \]
Multiply by \(3\): \(3\cdot\dfrac{81}{4}=\dfrac{243}{4}\). Quick Tip: Do the definite integral first, then multiply by outside constants.
\(\displaystyle \int_{-1}^{1}\sin^{17}x\,\cos^{3}x\,dx=\) ?
View Solution
Parity: \(\sin^{17}x\) is odd, \(\cos^{3}x\) is even.
Odd\(\times\)even \(=\) odd.
Integral of an odd function over \([-a,a]\) is \(0\). Limits \([-1,1]\) are symmetric, so integral \(=0\). Quick Tip: Check \(f(-x)\); odd functions vanish on symmetric limits.
\(\displaystyle \int_{-1}^{1} x^{17}\,dx=\) ?
View Solution
\(x^{17}\) is an odd function. On symmetric limits \([-1,1]\), the positive and negative areas cancel: integral is \(0\). Quick Tip: Any odd power of \(x\) integrates to \(0\) over \([-a,a]\).
\(3\displaystyle \int \sqrt{x}\,dx=\) ?
View Solution
\(\int x^{1/2}dx=\dfrac{x^{3/2}}{3/2}=\dfrac{2}{3}x^{3/2}\).
Multiply by \(3\): \(3\cdot\dfrac{2}{3}x^{3/2}=2x^{3/2}+k\). Quick Tip: Power rule: \(\int x^{n}dx=\dfrac{x^{n+1}}{n+1}+C\) for \(n\neq -1\).
\(\displaystyle \int \frac{x+2}{x^{2}-4}\,dx=\) ?
View Solution
Factor the denominator: \(x^{2}-4=(x-2)(x+2)\).
Partial fractions: \[ \frac{x+2}{x^{2}-4}=\frac{A}{x-2}+\frac{B}{x+2} \Rightarrow A(x+2)+B(x-2)=x+2. \]
Compare coefficients: \(A+B=1\) and \(2A-2B=2\Rightarrow A-B=1\).
Solve: \(A=1,\ B=0\). Hence \[ \int \frac{x+2}{x^{2}-4}dx=\int \frac{1}{x-2}dx=\log|x-2|+k. \] Quick Tip: If the numerator equals a factor of the denominator, partial fractions may collapse to a single term.
\(\displaystyle \int \frac{3\,dx}{\sqrt{\,1-9x^{2}\,}}=\) ?
View Solution
Let \(u=3x\Rightarrow du=3\,dx\). Then \[ \int \frac{3\,dx}{\sqrt{1-9x^{2}}}=\int \frac{du}{\sqrt{1-u^{2}}}=\sin^{-1}u+k=\sin^{-1}(3x)+k. \] Quick Tip: Standard form: \(\displaystyle \int\frac{du}{\sqrt{1-u^{2}}}=\sin^{-1}u+C\).
\(25\displaystyle \int \sec5x\,\tan5x\,dx=\) ?
View Solution
\(\displaystyle \int \sec u\,\tan u\,du=\sec u+C\).
Let \(u=5x\Rightarrow du=5\,dx\): \[ \int \sec5x\,\tan5x\,dx=\frac{1}{5}\sec5x+k. \]
Multiply by \(25\Rightarrow 5\sec5x+k\). Quick Tip: When inside is \(5x\), pull out \(\frac{1}{5}\); outside constants multiply at the end.
\(\displaystyle \int \sec^{2}4x\,dx=\) ?
View Solution
\(\displaystyle \int \sec^{2}(ax)\,dx=\frac{1}{a}\tan(ax)+C\). With \(a=4\), answer is \(\frac14\tan4x+k\). Quick Tip: Differentiate to verify: \(\left(\frac{1}{a}\tan ax\right)'=\sec^{2}ax\).
\(\ \vec{k}\cdot(\vec{i}+\vec{j})=\) ?
View Solution
\(\vec{k}\) is perpendicular to both \(\vec{i}\) and \(\vec{j}\). Dot product of perpendicular vectors is \(0\). Hence \(\vec{k}\cdot\vec{i}=0=\vec{k}\cdot\vec{j}\Rightarrow \vec{k}\cdot(\vec{i}+\vec{j})=0\). Quick Tip: Orthogonal basis: \(\,\vec{i}\perp\vec{j}\perp\vec{k}\,\) with unit lengths.
\(\displaystyle \int \frac{dx}{1+36x^{2}}=\) ?
View Solution
Let \(u=6x\Rightarrow du=6\,dx\Rightarrow dx=\dfrac{du}{6}\). Then \[ \int \frac{dx}{1+(6x)^{2}}=\frac{1}{6}\int \frac{du}{1+u^{2}} =\frac{1}{6}\tan^{-1}u+k=\frac{1}{6}\tan^{-1}(6x)+k. \] Quick Tip: Standard form: \(\displaystyle \int\frac{dx}{a^{2}+x^{2}}=\frac{1}{a}\tan^{-1}\!\frac{x}{a}+C\).










Comments