Bihar Board Class 12 Mathematics Question Paper 2018 with Answer Key is available for download. The exam was conducted by the BSEB on February 15 in the Morning Session 9:30 AM to 12:45 PM. The medium of paper was English. The question paper comprised a total of 75 questions divided among 2 sections.
Bihar Board Class 12 Mathematics Question Paper 2018 with Answer Key (February 15 )
| Bihar Board Class 12 Mathematics Question Paper 2018 PDF | Bihar Board Class 12 Mathematics Answer Key 2018 PDF |
|---|---|
| Download PDF | Available Soon |







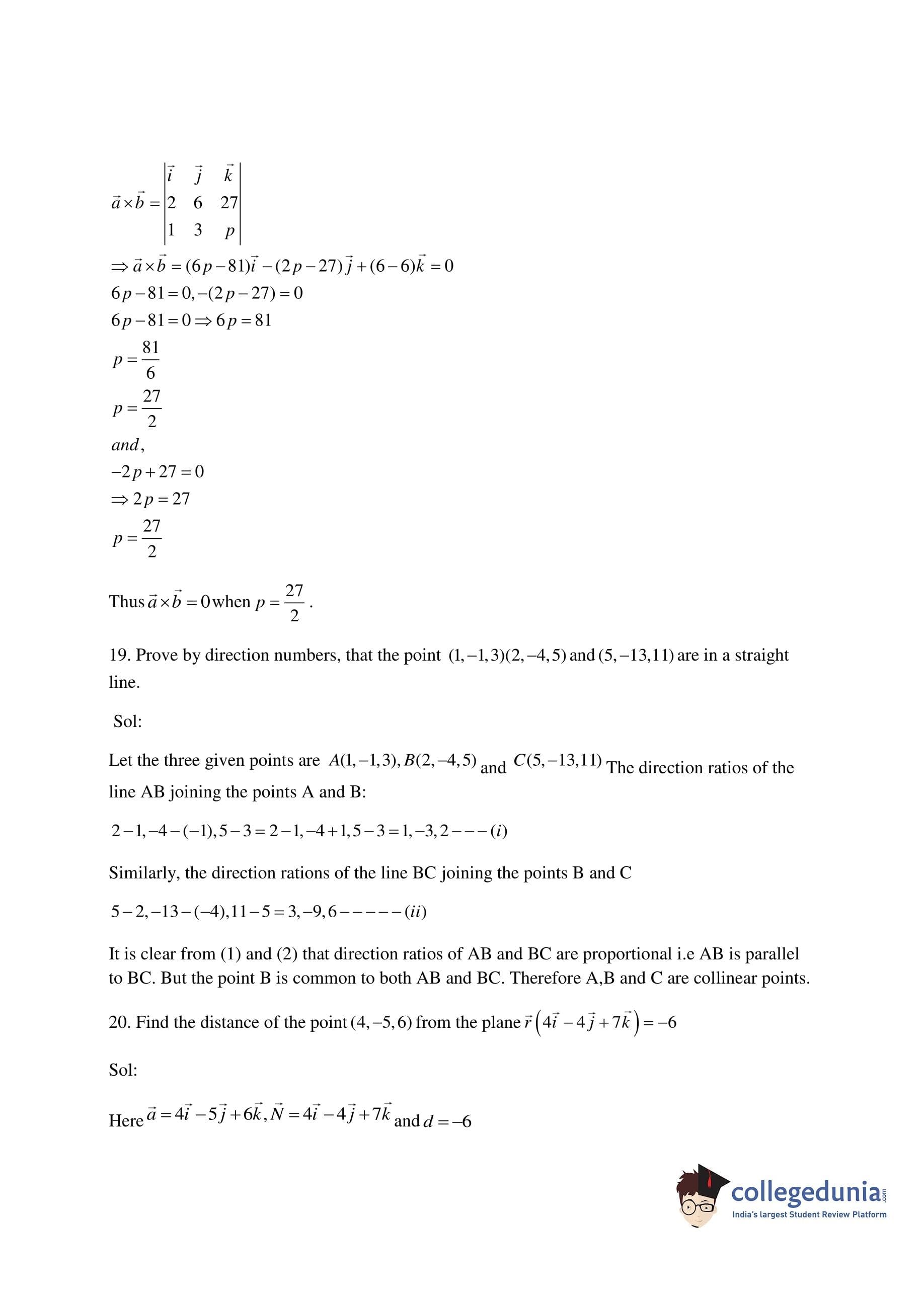
Comments