Bihar Board Class 12 Physics Question Paper 2018 with Answer Key is available for download. The exam was conducted by the BSEB on February 8 in the Morning Session 9:45 AM to 1 PM. The medium of paper was English. The question paper comprised a total of 50 questions divided among 2 sections.
Bihar Board Class 12 Physics Question Paper 2018 with Answer Key (February 8 )
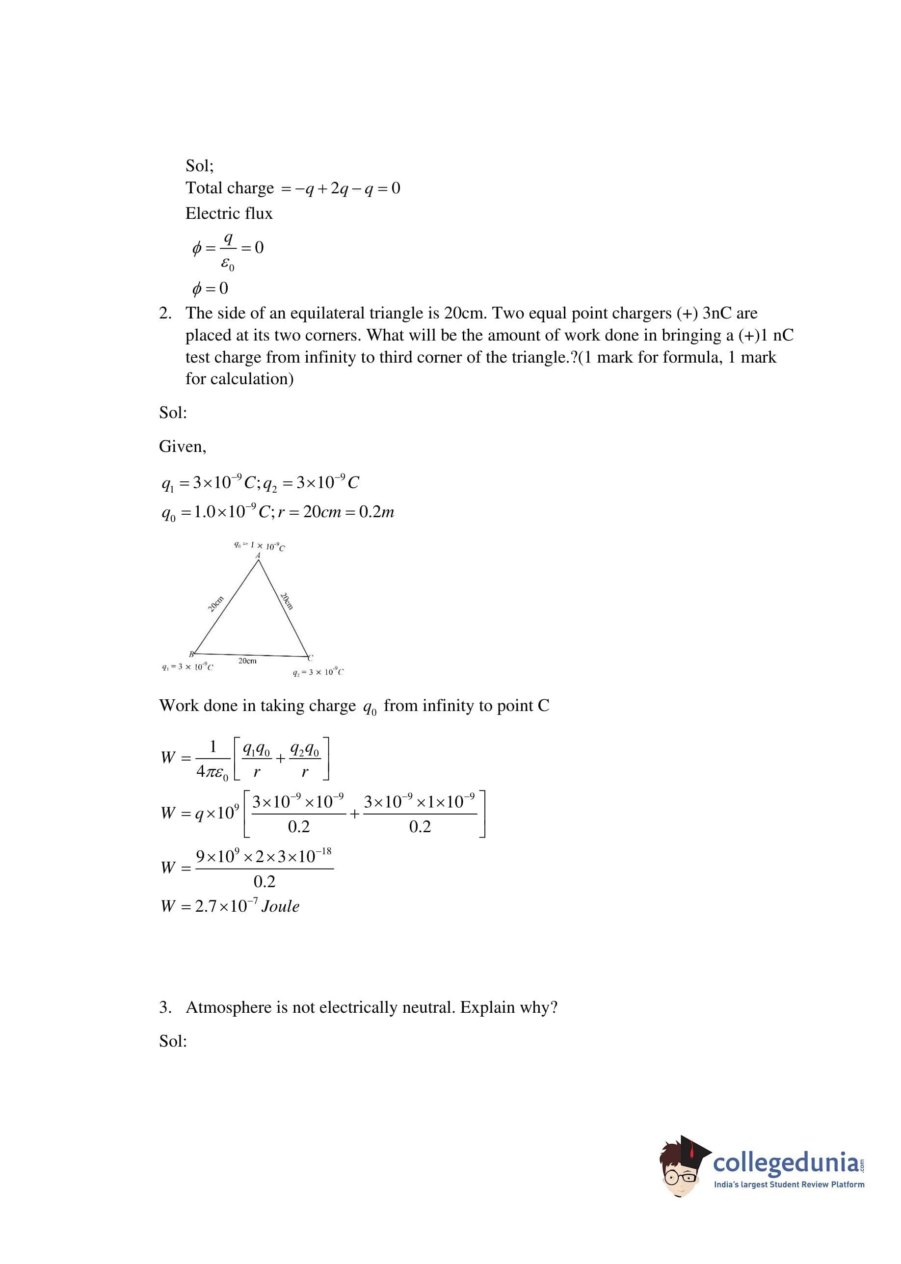
| Bihar Board Class 12 Physics Question Paper 2018 PDF | Bihar Board Class 12 Physics Answer Key 2018 PDF |
|---|---|
| Download PDF | Available Soon |







Comments