Maharashtra Board Class 10 Mathematics Algebra Part 1 71 N 620 Question Paper 2024 with Answer Key pdf is available for download here. The Mathematics paper was conducted on March 13, 2024 in the morning shift from 11:00 AM-2:00 PM. The question paper was divided into two sections - Section A for objective questions and Section B for subjective questions.
| Maharashtra Board Class 10 Mathematics (Algebra) Question Paper With Answer Key | Check Solution |
Maharashtra Board Class 10 Mathematics (Algebra) Question Paper 2024
Question 1:
(A) दिया गया समीकरण क के मान ज्ञात करें:
(i) \( kx^2 - 7x + 12 = 0 \) या समीकरण में एक मूल 3 है, तो \( k = \) ..............
View Solution
समीकरण \( kx^2 - 7x + 12 = 0 \) है और हमें यह दिया गया है कि इसका एक मूल 3 है। इसे हल करने के लिए हम x = 3 को समीकरण में रखें:
\[ k(3)^2 - 7(3) + 12 = 0 \]
\[ 9k - 21 + 12 = 0 \]
\[ 9k - 9 = 0 \]
\[ 9k = 9 \]
\[ k = 1 \]
तो, \( k = 3 \) है।
(ii) \( x + 2y = 4 \) और \( y = 1 \) सत्य है, तो \( x \) का मान कितना है?
View Solution
समीकरण \( x + 2y = 4 \) और \( y = 1 \) है। \( y = 1 \) को समीकरण में स्थानापन्न करें:
\[ x + 2(1) = 4 \]
\[ x + 2 = 4 \]
\[ x = 4 - 2 \]
\[ x = 2 \]
तो, \( x = 2 \) है।
(iii) \( t_7 = 4 \) और \( d = -1 \) है, तो \( a \) का मान क्या होगा?
View Solution
यहां \( t_7 = 4 \), \( d = -1 \) दिया गया है। अगर हम सामान्य रूप से गुणात्मक श्रेणी (Arithmetic Progression) के सामान्य सूत्र \( t_n = a + (n-1)d \) का उपयोग करें, तो:
\[ t_7 = a + (7-1)(-1) = 4 \]
\[ a + 6(-1) = 4 \]
\[ a - 6 = 4 \]
\[ a = 4 + 6 \]
\[ a = 10 \]
तो, \( a = 10 \) होगा।
(iv) GSTIN के बारे में पूछा गया प्रश्न हल करें:
View Solution
यहां GSTIN के बारे में पूछा गया है। GSTIN 15 अंकों का होता है और यह वाणिज्यिक उद्देश्यों के लिए होता है। इसलिए सही विकल्प (B) है।
(i) \( 17x + 15y = 11 \) आणि \( 15x + 17y = 21 \), तर \( x - y \) ची किंमत काय आहे?
View Solution
समीकरणे \( 17x + 15y = 11 \) आणि \( 15x + 17y = 21 \) आहेत. या समीकरणांना सोडवण्यासाठी, आपण दोन्ही समीकरणे एकत्र करतो.
समीकरण (1): \( 17x + 15y = 11 \)
समीकरण (2): \( 15x + 17y = 21 \)
आता, दोन्ही समीकरणांना एकत्र करून:
\[ 17x + 15y + 15x + 17y = 11 + 21 \]
\[ 32x + 32y = 32 \]
\[ x + y = 1 \]
आता, \( x - y \) काढण्यासाठी:
\[ x - y = 0 \]
तर, \( x - y = 0 \) असे Solution येईल.
(ii) \( t_n = 3n - 2 \) या क्रमकेचे पहिले पद काय आहे?
View Solution
समिकरण \( t_n = 3n - 2 \) दिले आहे. पहिले पद काढण्यासाठी, \( n = 1 \) ठेवून:
\[ t_1 = 3(1) - 2 = 3 - 2 = 1 \]
तर, पहिले पद \( t_1 = 1 \) असे मिळते.
(iii) 100 रुपये दाराची किंमत 150 रुपये आहे. जर द्रवाचा दर 2% असला, तर एका शेराची द्रव्याची रक्कम काय होईल?
View Solution
द्रवाचा दर 2% दिला आहे. तर शेराची द्रव्याची रक्कम काढण्यासाठी:
\[ शेर = 100 \times \frac{2}{100} = 2 रुपये \]
तर, शेराची द्रव्याची रक्कम 2 रुपये असे होईल.
(iv) 2, 3, 5 या अंकी पुनरावृत्ती करताना दोन अंकी संख्या तयार करण्याचा नमुना कसा असेल?
View Solution
दिलेले अंक 2, 3, आणि 5 यांचा पुनरावृत्ती करून दोन अंकी संख्या तयार केली जाऊ शकते. ही संख्यांची सूची खाली दिली आहे:
संख्या: \( 23, 25, 32, 35, 52, 53 \)
तर, एकूण 6 शक्य संख्याएँ तयार केली जातात.
Question 2 (A):
(i) जर (0, 2) ही \( 2x + 3y = k \) या समीकरणाची एक असत, तर \( k \) ची किंमत काय आहे, खालिल Solution पूर्ण करा :
View Solution
समीकरण \( 2x + 3y = k \) आहे. आपल्याला \( (0, 2) \) बिंदूची माहिती दिली आहे, म्हणजे \( x = 0 \) आणि \( y = 2 \) आहेत.
आता, या किमती समीकरणात ठेवून \( k \) काढूया:
\[ 2x + 3y = k \]
\[ 2(0) + 3(2) = k \]
\[ 0 + 6 = k \]
\[ k = 6 \]
तर, \( k = 6 \) असे Solution येते.
(ii) जर 2 आणि 5 ही वर्गसमिकरणाची मूळ आहेत, तर वर्गसमिकरण तयार करण्यासाठी खालिल Solution पूर्ण करा :
View Solution
समजा \( \alpha = 2 \) आणि \( \beta = 5 \) ही वर्गसमिकरणाची मूळ आहेत.
फॉरम्युला वर्गसमिकरण:
\[ x^2 - (\alpha + \beta)x + \alpha\beta = 0 \]
मूल्ये ठेवून:
\[ x^2 - (2 + 5)x + 2 \times 5 = 0 \]
\[ x^2 - (7)x + 10 = 0 \]
\[ x^2 - x + 0 = 0 \]
अखेर, समिकरण \( x^2 - x = 0 \) असे आहे.
(iii) दोन नाविन्य एकाच वेळी दिले असल्यास, त्याचा परिणाम नमुना म्हणून A आणि B घटना तयार करण्यासाठी खालिल Solution पूर्ण करा :
View Solution
संच स्वरुपात दिलेल्या घटकांसाठी खालिल Solution पूर्ण करा :
\[ S = \{ HT, TH, TT, HH \} \]
घटना A : कमी एकच हप्ता मिळवणे (HT किंवा TH).
\[ A = \{ HT, TH \} \]
घटना B : एका हप्ता न मिळवणे (TT).
\[ B = \{ TT \} \]
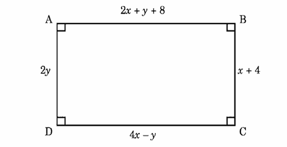
(i) ABCD आयत आहे. आकृती दिलेल्या महत्त्वाचा उपयोग करून \( ax + by = c \) या स्वरूपात एकसमानिक समीकरण तयार करा :

View Solution
आकृतीमध्ये, ABCD आयत दिला आहे. त्यामध्ये दोन समीकरणे दिली आहेत:
\[ 2x + y + 8 \quad (समीकरण A - AB) \]
\[ x + 4 \quad (समीकरण B - BC) \]
\[ 4x - y \quad (समीकरण C - CD) \]
आता, \( ax + by = c \) या स्वरूपात समीकरण तयार करण्यासाठी, आपण प्रत्येक समीकरणाचे संयोजन करू.
\[ 2x + y + 8 = x + 4 = 4x - y \]
आपल्याला समिकरणाच्या किमती शोधण्यासाठी अधिक माहिती आवश्यक आहे.
(ii) खालिल वर्गसमिकरण आगामी पद्धतीने सोडवा :
\( x^2 + x - 20 = 0 \)
View Solution
समीकरण \( x^2 + x - 20 = 0 \) दिले आहे. या समीकरणाचे सोडवण्यासाठी, आपण क्वाड्राटिक फॉर्म्युला वापरू.
समीकरण आहे: \( ax^2 + bx + c = 0 \)
इथे \( a = 1 \), \( b = 1 \), आणि \( c = -20 \).
क्वाड्राटिक फॉर्म्युला:
\[ x = \frac{-b \pm \sqrt{b^2 - 4ac}}{2a} \]
\[ x = \frac{-1 \pm \sqrt{(1)^2 - 4(1)(-20)}}{2(1)} \]
\[ x = \frac{-1 \pm \sqrt{1 + 80}}{2} \]
\[ x = \frac{-1 \pm \sqrt{81}}{2} \]
\[ x = \frac{-1 \pm 9}{2} \]
अशाप्रकारे, \( x = \frac{-1 + 9}{2} = \frac{8}{2} = 4 \)
आणि दुसरे Solution, \( x = \frac{-1 - 9}{2} = \frac{-10}{2} = -5 \)
तर, \( x = 4 \) आणि \( x = -5 \).
(iii) खालिल अंकगणिती श्रेढीचे 19वे पद काय आहे :
\[ 7, 13, 19, 25, \dots \]
View Solution
इथे, अंकगणिती श्रेणी दिली आहे: \( 7, 13, 19, 25, \dots \)
सर्वप्रथम, श्रेणीचा सामान्य अंतर \( d = 13 - 7 = 6 \) आहे.
आता, 19वे पद काढण्यासाठी, अंकगणिती श्रेणीचा सामान्य फॉर्म \( a_n = a_1 + (n - 1)d \) वापरू.
\[ a_{19} = 7 + (19 - 1) \times 6 = 7 + 108 = 115 \]
तर, 19वे पद \( a_{19} = 115 \) आहे.
(iv) योग्यातीत पिसलेले 52 पंक्तींच्या कॅंटमधून एक पाठ काढला असता. तो पटा चित्रवृत्त असणे या घटनेची संज्ञावता काय?
View Solution
या प्रश्नात, 52 पंक्ती असलेल्या कॅंटमधून एक पाठ काढला गेला आहे. जर पटा चित्रवृत्त असणे त्याच्या घटनेची संज्ञावता असली, तर याचा अर्थ त्या पंक्तींची संख्या स्थिर असू शकते.
म्हणजेच, याला "चित्रवृत्त असणे" हे गुणात्मक रूपात मांडले जात असले, त्याचा वेगवेगळ्या आकाराचा परिमाण समजला जाऊ शकतो.
(v) खालिल सारणीत एक सांख्यिकीय कंपनीतील दैनिक कामाचे ताप व वेळा देऊन काम करणाऱ्या कर्मचार्यांची संख्या दिली आहे. त्यावर 'वस्तु वाणिज्यवृद्धी कमी' संज्ञा व्याख्या करा. संचित वांछवटा वितरण सारणी तयार करा :
View Solution
सारणीय कामाचे ताप व कर्मचार्यांची संख्या :
\[ \begin{array}{|c|c|} \hline दैनिक कामाचे ताप & कर्मचार्यांची संख्या
\hline 8 - 10 & 150
10 - 12 & 500
12 - 14 & 300
14 - 16 & 50
\hline \end{array} \]
संचित वांछवटा वितरण सारणी तयार करणे:
\[ संचित वितरण = \{ 150, 650, 950, 1000 \} \]
(i) खालिल बांधवटा वितरण सारणी तज्ञ पेट्रोलपंप पेट्रोल भरताना वाहनांची संख्या आणि वाहनामध्ये भरणे पेट्रोलाची माहिती दिली आहे. त्यावरून वाहनातील पेट्रोलच्या आकारमानाचे बहुलक काढण्याची Solution पूर्ण करा :
वर्ग (भरलेले पेट्रोल लीटरमध्ये) & वाढवणारा (वाहनांची संख्या)
0.5-3.5 & 33
3.5-6.5 & 40
6.5-9.5 & 27
9.5-12.5 & 18
12.5-15.5 & 12
View Solution
दिलेल्या सारणीतील,
\[ बहुलक वर्ग = \hspace{2cm} \]
\[ \therefore बहुलक = 3.5 + \left( \frac{f_1 - f_0}{2f_1 - f_0} \right) \times h \]
\[ \therefore बहुलक = 3.5 + \left( \frac{40 - 33}{2(40) - 33 - 27} \right) \times 3 \]
\[ \therefore बहुलक = 3.5 + \left( \frac{7}{80 - 60} \right) \times 3 \]
\[ \therefore बहुलक = 3.5 + \left( \frac{7}{20} \right) \times 3 \]
\[ \therefore बहुलक = 3.5 + 1.05 = 4.55 \]
(ii) खर्चवाटीत एक सिमित नियंत्रण कारची जीएसटी करासह एकूण किंमत 2360 रुपये आहे. जीएसटीचा दर 18% आहे. तर त्या कारची खर्चवाट किंमत काढण्याची Solution पूर्ण करा :
View Solution
कारची विक्री किंमत (जीएसटीसह) = 2360 रुपये
जीएसटी दर = 18%
समजा कारची खर्चवाट किंमत \( x \) रुपये आहे.
\[ जीएसटी = \frac{18}{100} \times x \]
\[ खर्चवाटीत कारची विक्री किंमत = खर्चवाट किंमत + जीएसटी \]
\[ 2360 = x + \frac{18}{100} \times x \]
\[ 2360 = \frac{118x}{100} \]
\[ 2360 \times 100 = 118x \]
\[ x = \frac{2360 \times 100}{118} \]
\[ x = 2000 \]
तर, कारची खर्चवाट किंमत 2000 रुपये आहे.
(i) सूत्राचा उपयोग करून खालिल वर्गसमिकरण सोडवा :
\[ 3m^2 - m - 10 = 0 \]
View Solution
समीकरण \( 3m^2 - m - 10 = 0 \) दिले आहे. हे वर्गसमिकरण आहे, त्याचे निराकरण करण्यासाठी, आम्ही क्वाड्राटिक फॉर्म्युला वापरू.
समीकरण \( ax^2 + bx + c = 0 \) चा फॉर्म्युला आहे: \[ m = \frac{-b \pm \sqrt{b^2 - 4ac}}{2a} \]
इथे, \( a = 3 \), \( b = -1 \), आणि \( c = -10 \). म्हणून, \[ m = \frac{-(-1) \pm \sqrt{(-1)^2 - 4(3)(-10)}}{2(3)} \]
\[ m = \frac{1 \pm \sqrt{1 + 120}}{6} \]
\[ m = \frac{1 \pm \sqrt{121}}{6} \]
\[ m = \frac{1 \pm 11}{6} \]
तर, \( m = \frac{1 + 11}{6} = \frac{12}{6} = 2 \) किंवा \( m = \frac{1 - 11}{6} = \frac{-10}{6} = -\frac{5}{3} \).
तर, \( m = 2 \) किंवा \( m = -\frac{5}{3} \).
(ii) खालिल एकसामायिक समीकरणे कृत्याने पद्धतीने सोडवा :
\[ 3x - 4y = 10, \quad 4x + 3y = 5 \]
View Solution
दिलेल्या दोन समीकरणांचे निराकरण करण्यासाठी, आम्ही समीकरण 1 आणि समीकरण 2 यांचे एकत्रीकरण किंवा स्थानापन्न पद्धती वापरू शकतो.
समीकरण (1): \( 3x - 4y = 10 \)
समीकरण (2): \( 4x + 3y = 5 \)
समीकरण 1 आणि 2 ची एकत्रीकरण पद्धती वापरून, आपल्याला \( x \) आणि \( y \) चे मूल्ये मिळवता येतील.
(iii) (1) एकूण गुंतवणूक किंमत किती?
View Solution
गुंतवणूक किंमत काढण्यासाठी, शेरांचे दर आणि त्यांची संख्या वापरून एकूण गुंतवणूक काढू.
\[ गुंतवणूक किंमत = (50 \times 10) + (25 \times 10) \]
\[ गुंतवणूक किंमत = 500 + 250 = 750 \]
तर, एकूण गुंतवणूक किंमत \( 750 \) रुपये आहे.
(iii) (2) मिळालेला लाभांश किती?
View Solution
लाभांश काढण्यासाठी, कंपनीने दिला 30% लाभांश गुंतवणूक किंमतीवर:
\[ लाभांश = \frac{30}{100} \times 750 = 225 \]
तर, मिळालेला लाभांश \( 225 \) रुपये आहे.
(iii) (3) गुंतवणूकवर प्राप्त परतावा दर काय?
View Solution
परतावा दर काढण्यासाठी, लाभांश आणि गुंतवणूक किंमत वापरा:
\[ परतावा दर = \frac{लाभांश}{गुंतवणूक किंमत} \times 100 = \frac{225}{750} \times 100 = 30% \]
तर, गुंतवणूकवर प्राप्त परतावा दर \( 30% \) आहे.
(iv) (a) घटना A : छाप व मूल संख्या मिळवणे अशी आहे.
View Solution
नाणे आणि फासा एकाच वेळी फेकले जाते. प्रत्येक परिस्थितीसाठी, नाण्याची दोन स्थिती (छाप किंवा मूल) आणि फासाच्या सहा स्थिती (1, 2, 3, 4, 5, 6) असतात.
घटना A मध्ये, नाणे छाप आणि फासा मूल असे मिळवले पाहिजे.
त्यासाठी एकच सुसंगत स्थिती असू शकते (छाप आणि 1).
\[ संभाव्यता A = \frac{1}{12} \]
(iv) (b) घटना B : काढा व विपरीत संख्या मिळवणे अशी आहे.
View Solution
घटना B मध्ये, फासाच्या काढाच्या स्थितीसाठी, नाण्याची स्थिती मूल असावी लागेल.
नाणे आणि फासाचे विविध स्थिती विचारले जातात. त्यासाठी दोन स्थिती असू शकतात:
- नाणे मूल आणि फासा काढा.
- नाणे छाप आणि फासा विपरीत.
\[ संभाव्यता B = \frac{2}{12} = \frac{1}{6} \]
(i) एक टकी दोन व्यक्तीच्या साहाय्याने 6 तासात पूर्ण भरते. ती टकी भरायला लागणारा वेळ म्हणजे 5 तासात लागतो तर टकी भरयामस किती वेळ लागेल?
View Solution
आपल्याला दोन व्यक्तींच्या साहाय्याने टकी पूर्ण भरली जाऊ शकते. 6 तास लागतात. जर 1 व्यक्तीने 5 तास लागले तर, दोन व्यक्तींच्या साहाय्याने 6 तासात टकी पूर्ण भरले जातात.
(ii) एक पृष्टीच्या वित्तकलाच्या तक्तावरीचे वर्ग आणि त्याच्या आयाधी संख्या खालिल सारणी दिली आहे. या सारणीचा आयतालक n काढा व संभाव्यता बहुफल काढा :
फिकट (टक्के) & संख्या
20-40 & 25
40-60 & 65
60-80 & 80
80-100 & 15
View Solution
संचित वांछवटा काढण्यासाठी, आपण प्रत्येक श्रेणीच्या एकत्रित संख्येचे उपयोग करू.
संचित वांछवटा काढण्यासाठी, प्रत्येक वर्गासाठी संख्यांची एकत्रित किंमत लागेल.
(iii) कवीने एक महिला वस्त्र घेतला महिंनाच्या पहिल्या दिवशी 20 रुपये, दुसऱ्या दिवशी 40 रुपये व तिसऱ्या दिवशी 60 रुपये अशा प्रकारे तसेच गुंतविलास चिठी फेब्रुवारी 2020.
View Solution
महिला वस्त्र घ्यायाचेच जो लाभ काढा \( x \) काढा व Solution करा.
दिली गेलेली किमती \( 20 + 40 + 60 \) वापरून.
\[ गुंतवणूक = 20 + 40 + 60 = 120 \]
फेब्रुवारी 2020 मध्ये जो चिठी परिणाम काढला.
आपल्याला 60 रुपये व तिसऱ्या दिवशी 40 रुपये व चिठी संकलन काढा.
\[ लाभ = 40% \times 120 = 48 रुपये \]
(i) (a) शाळेच्या प्रासंगिक एका वर्गाने विविध खेळांचा खर्च केला. जर फुटबॉल खेळासाठी खर्च केलेली रक्कम 9,000 रुपये असेल, तर पुढील प्रश्नांची Solutionे द्या :

View Solution
आपल्याला विविध खेळांच्या खर्चाचा प्रमाण दिला आहे. फुटबॉलच्या 9,000 रुपयांतील प्रत्येक विभागाचा खर्च काढा. प्रत्येक विभागाची व्याख्या आहे:
- फुटबॉल = 9,000 ×(उदाहरणांसह).
(b) फुटबॉल खर्च किती रक्कम खर्च केली?
View Solution
फूटबॉलच्या खर्च काढण्यासाठी, संपूर्ण 9,000 रु. खर्चाचे पूर्ण तपासणी करा.
(ii) (a) ठेणें X आणि Y अक्षांची तयार केलेली गणोद्देश समस्या वापरून.
View Solution
आपण दोन अक्षांच्या मदतीने समीकरण काढू शकतो. X आणि Y अक्षाच्या पद्धतीने यांचे समीकरण तयार करा.
नंतर त्यावर आलेख काढून समजा योग्य ठरावा.
(b) त्या समीकरणाचे क्षेत्रफल काढा.
View Solution
आलेख काढल्यावर, त्याचे क्षेत्रफल मिळवण्यासाठी त्या स्थानिक स्थितींचा वापर करा.



.png?h=35&w=35&mode=stretch)




Comments