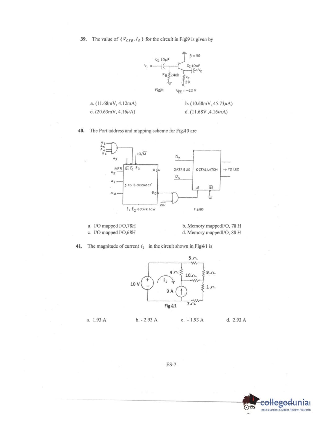
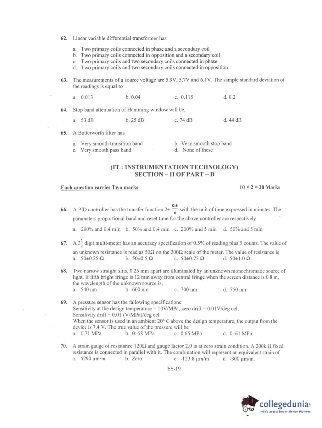
Karnataka PGCET 2010 Electrical Sciences Question paper with answer key pdf is available for download. The exam was successfully organized by Karnataka Examinations Authority (KEA). The question paper comprised a total of 75 questions.
Karnataka PGCET 2010 Electrical Sciences Question Paper with Answer Key PDFs
| Karnataka PGCET 2010 Electrical Sciences Question Paper PDF | Karnataka PGCET 2010 Electrical Sciences Answer Key PDF |
|---|---|
| Download PDF | Available Soon |

.png?h=56&w=56&mode=stretch)





Comments