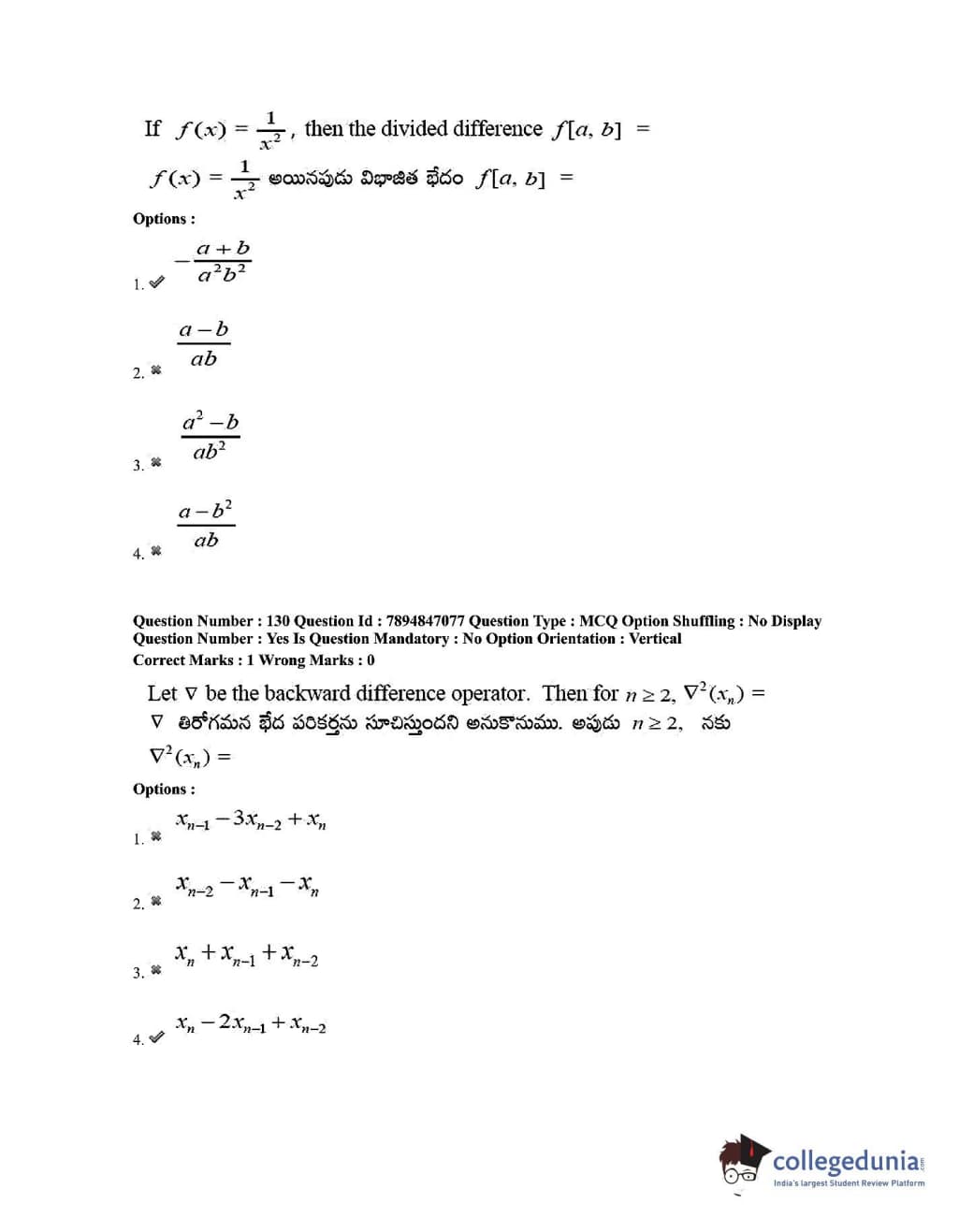
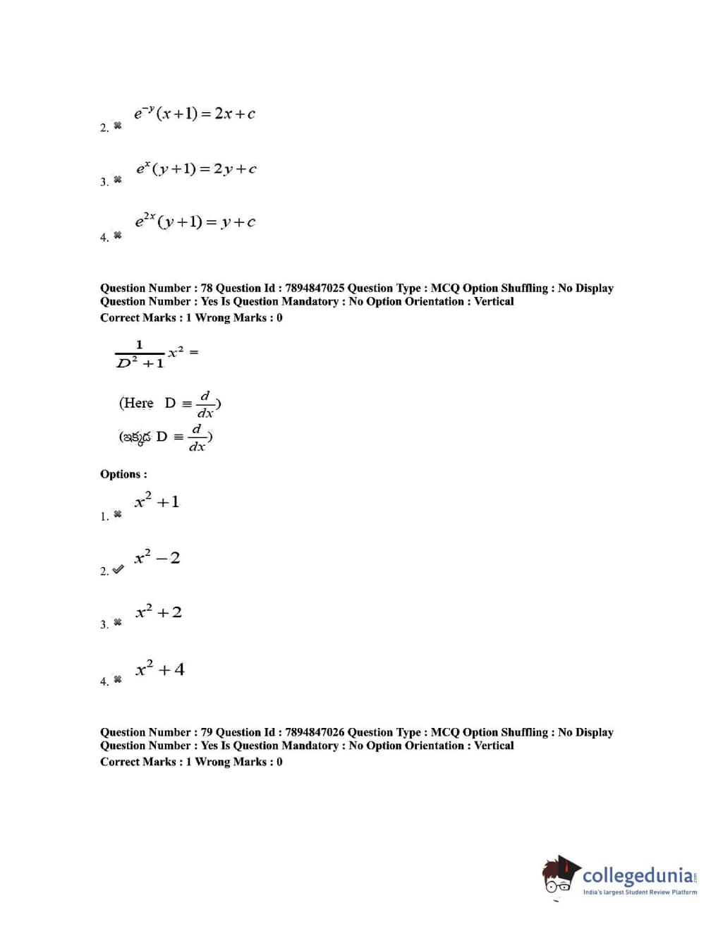
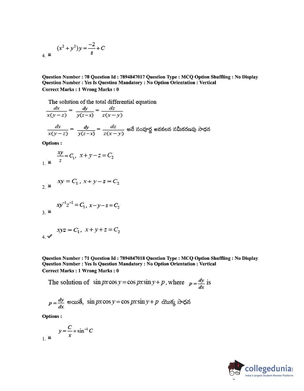
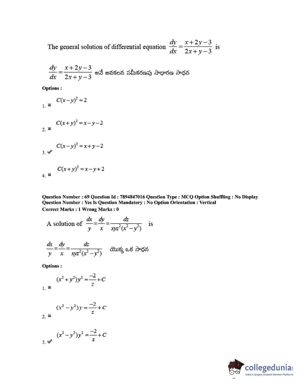
TS EDCET 2020 Mathematics Question paper with answer key pdf conducted on October 3, 2020 in Shift 1 is available for download. The exam was successfully organized by Osmania University, Hyderabad. The question paper comprised a total of 150 questions.
TS EDCET 2020 Mathematics Question Paper with Answer Key PDF Shift 1
| TS EDCET 2020 Mathematics Question Paper PDF | TS EDCET 2020 Mathematics Answer Key PDF |
|---|---|
| Download PDF | Available Soon |







Comments