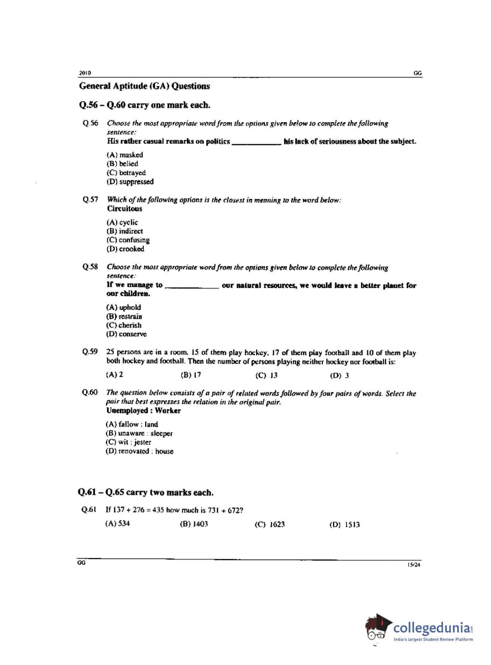
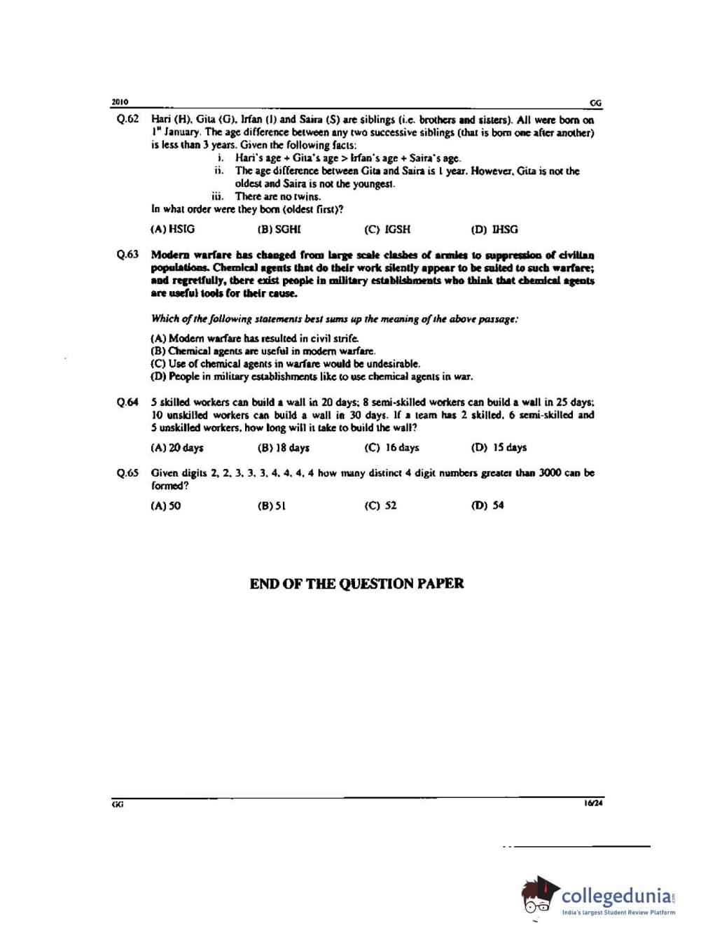
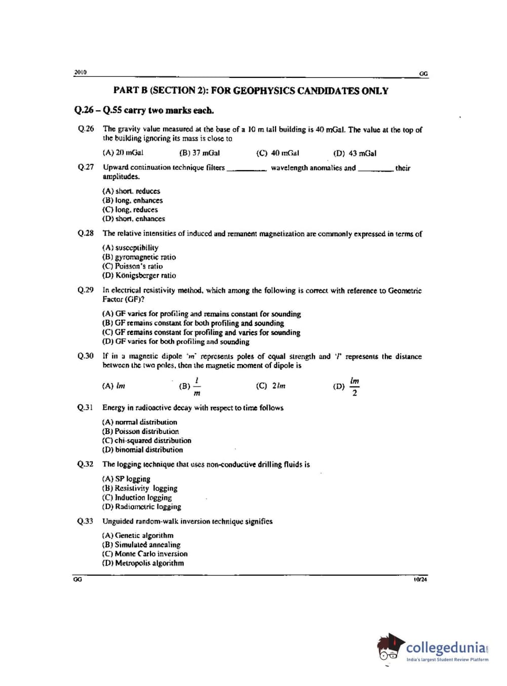
GATE 2010 Geology and Geophysics (GG) - Offline Question Paper with Answer Key pdf is available for download. The exam was conducted by IIT Guwahati on Feb-14 in the Forenoon Session. The question paper comprised a total of 65 questions from General Aptitude and Geology and Geophysics (GG) - Offline topics.
Check latest news of GATE exam
GATE 2010 Geology and Geophysics (GG) - Offline Question Paper with Answer Key PDF -Forenoon Session
| GATE 2010 Geology and Geophysics (GG) - Offline Question Paper PDF | GATE 2010 Geology and Geophysics (GG) - Offline Answer Key PDF |
|---|---|
| Download PDF | Avaialble Soon |
GATE Previous Year Question Papers
| GATE 2022 Question Papers | GATE 2021 Question Papers | GATE 2020 Question Papers |
| GATE 2019 Question Papers | GATE 2018 Question Papers | GATE 2017 Question Papers |









Comments