GATE 2010 Mathematics (MA) Question paper with answer key pdfs are available for download. GATE 2010 IN Paper was conducted by the Indian Institute of Technology (IIT) Guwahati in the Afternoon Session on February 14. GATE 2010 MA had an easy to moderate level. There were 65 questions in all, separated into two sections- questions from General Aptitude and questions from Mathematics. GATE 2010 IN has 42 MCQs and 23 NATs (Numerical Answer Type) questions,
GATE 2010 Mathematics (MA) Question Paper with Answer Key Pdfs Offline (February 14- Afternoon Session)
| GATE 2010 Mathematics (MA) Question Paper | GATE 2010 Mathematics (MA) Answer Key |
|---|---|
| Download PDF | Available Soon |
GATE 2010 Mathematics (MA) Paper Analysis
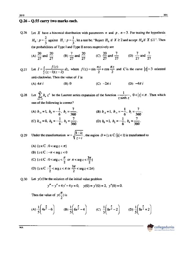
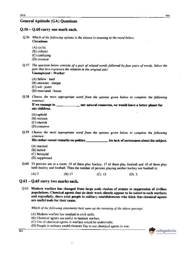
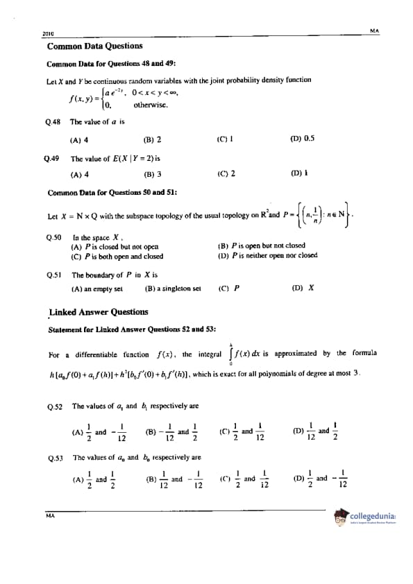
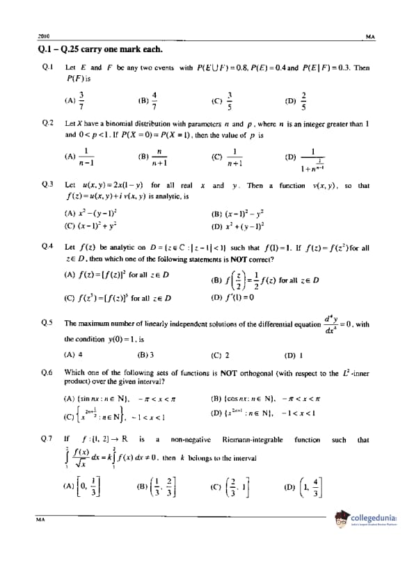
There were 65 multiple-Choice questions in GATE 2010 MA Question Paper. Questions 1 to 25 carry 1mark and 26 to 55 carry 2 marks and Question 56 to 65 belongs to General Aptitude with 56 to 60 being 1 mark and 61 to 65 comprising 2mark. The Core component was graded as 'DIFFICULT,' while the general aptitude section was evaluated as 'MODERATE.' GATE 2010 IN has 65 MCQ questions,
| Question Types | Question Frequency | Carried Marks |
|---|---|---|
| MCQs with 1 mark | 30 | 30 |
| MCQs with 2 marks | 35 | 70 |
| Total | 65 | 100 |
GATE Previous Year Question Papers:
Candidates may examine their performance levels by solving prior year’s examination papers. To enhance the accuracy level, candidates are advised to solve GATE Question Papers daily. One of the most significant parts of efficient exam preparation is the GATE MA 2010 question paper. Including previous year question papers in your preparation plan will help you achieve a higher score. GATE 2010-year question paper links with answer key PDFs are provided below:
| GATE 2022 Question Papers | GATE 2021 Question Papers | GATE 2020 Question Papers |
| GATE 2019 Question Papers | GATE 2018 Question Papers | GATE 2017 Question Papers |









Comments