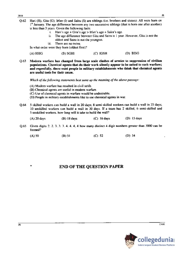
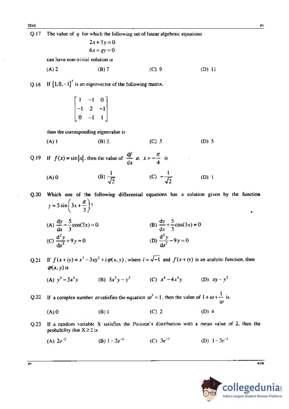
GATE 2010 PI Question Paper with Answer Key PDFs are now available for download. The exam was conducted on February 14, 2010 in the Forenoon Session. IIT Guwahati conducted the examination which was of moderate level. There were a total of 65 questions carrying 100 marks. 10 questions were from general aptitude and 55 questions were from the core discipline.
GATE 2010 Production and Industrial Engineering (PI) Question Paper with Answer Key PDFs (February 14 - Forenoon Session)
| GATE 2010 PI Question Paper | GATE 2010 PI Answer Key |
|---|---|
| Download PDF | Available Soon |
GATE 2010 PI Paper Analysis
Questions 1 to 25 carry 1 mark each and Questions 26 to 55 carry 2 marks each of GATE 2010 PI question paper. Questions 56 to 65 belong to the General Aptitude Section. Question 48-51 (2 pairs) are Common Data Questions and Question Pairs (Q. 52, 53) and (Q. 54, 55) are linked answer questions.
| Type of Questions | General Aptitude | Core Discipline | ||
|---|---|---|---|---|
| Number of Question | Marks | Number of Questions | Marks | |
| No. of 1 mark MCQs | 5 | 5 | 25 | 25 |
| No. of 2 marks MCQs | 5 | 10 | 30 | 60 |
| No. of 2 marks Common data Questions | - | - | 2 | 4 |
| No. of 2 marks Linked Answer Questions | - | - | 2 | 4 |
GATE Previous year Question Paper
Previous year Question Papers are the perfect source to understand the pattern and the types of questions asked in the Examination. Students can find the links to the GATE Production and Industrial Engineering Previous Year Question Paper below:
| GATE 2022 Question Papers | GATE 2021 Question Papers | GATE 2020 Question Papers |
| GATE 2019 Question Papers | GATE 2018 Question Papers | GATE 2017 Question Papers |










Comments